Acta Anthropologica Sinica ›› 2024, Vol. 43 ›› Issue (04): 597-612.doi: 10.16359/j.1000-3193/AAS.2024.0043
• Research Articles • Previous Articles Next Articles
LI Yonglan1,3,4(
), ZHENG Lianbin2(
)
Received:2023-09-21
Revised:2024-03-06
Online:2024-08-15
Published:2024-08-13
CLC Number:
LI Yonglan, ZHENG Lianbin. Latitudinal division of characteristic types of southern and northern Chinese groups[J]. Acta Anthropologica Sinica, 2024, 43(04): 597-612.
Add to citation manager EndNote|Ris|BibTeX
URL: https://www.anthropol.ac.cn/EN/10.16359/j.1000-3193/AAS.2024.0043
| 序号No. | 族群Ethnic groups | 男性Male | 女性Female |
|---|---|---|---|
| 1 | 维吾尔族Uighur | 273 | 287 |
| 2 | 锡伯族Xibe | 749 | 752 |
| 3 | 柯尔克孜族Kirghiz | 587 | 767 |
| 4 | 塔吉克族Tajik | 138 | 181 |
| 5 | 哈萨克族Kazakh | 570 | 768 |
| 6 | 乌孜别克族Uzbek | 119 | 91 |
| 7 | 塔塔尔族Tatar | 104 | 60 |
| 8 | 回族Hui | 378 | 446 |
| 9 | 东乡族Dongxiang | 338 | 502 |
| 10 | 土族Tu | 290 | 297 |
| 11 | 撒拉族Salar | 281 | 248 |
| 12 | 裕固族Yugur | 101 | 94 |
| 13 | 保安族Bonan | 198 | 252 |
| 14 | 蒙古族Mongol | 142 | 194 |
| 15 | 达斡尔族Daur | 315 | 314 |
| 16 | 满族Manchu | 445 | 871 |
| 17 | 鄂伦春族Oroqin | 82 | 166 |
| 18 | 赫哲族Hezhen | 47 | 36 |
| 19 | 俄罗斯族Russian | 186 | 215 |
| 20 | 彝族Yi | 1019 | 1105 |
| 21 | 卫藏藏族Tibetan | 266 | 248 |
| 22 | 康巴藏族Tibetan | 253 | 340 |
| 23 | 白族Bai | 276 | 518 |
| 24 | 哈尼族Hani | 206 | 327 |
| 25 | 傈僳族Lisu | 380 | 464 |
| 26 | 拉祜族Lahu | 319 | 366 |
| 27 | 纳西族Naxi | 290 | 398 |
| 28 | 阿昌族Achang | 224 | 387 |
| 29 | 普米族Pumi | 224 | 289 |
| 30 | 碧江怒族Nu | 140 | 134 |
| 31 | 基诺族Jino | 324 | 414 |
| 32 | 门巴族Menba | 156 | 230 |
| 33 | 独龙族Drung | 191 | 185 |
| 34 | 珞巴族Lhoba | 78 | 122 |
| 35 | 土家族Tujia | 912 | 1096 |
| 36 | 羌族Qiang | 416 | 441 |
| 37 | 景颇族Jingpo | 233 | 392 |
| 38 | 百色壮族Zhuang | 208 | 272 |
| 39 | 南宁壮族Zhuang | 415 | 353 |
| 40 | 侗族Dong | 822 | 1232 |
| 41 | 布依族Bouyei | 636 | 795 |
| 42 | 黎族Li | 308 | 299 |
| 43 | 傣族Dai | 363 | 564 |
| 44 | 仡佬族Gelao | 246 | 262 |
| 45 | 水族Shui | 521 | 553 |
| 46 | 仫佬族Mulam | 232 | 233 |
| 47 | 毛南族Maonan | 204 | 272 |
| 48 | 苗族Miao | 215 | 288 |
| 49 | 瑶族Yao | 534 | 661 |
| 50 | 畲族She | 293 | 225 |
| 51 | 佤族Wa | 499 | 510 |
| 52 | 布朗族Blang | 297 | 476 |
| 53 | 京族Gin | 184 | 249 |
| 54 | 德昂族De'ang | 228 | 382 |
| 55 | 郑州汉族Han | 414 | 629 |
| 56 | 榆树汉族Han | 185 | 200 |
| 57 | 渭南汉族Han | 503 | 505 |
| 58 | 泰州汉族Han | 366 | 598 |
| 59 | 荆州汉族Han | 192 | 201 |
| 60 | 简阳汉族Han | 205 | 207 |
| 61 | 漳州汉族Han | 173 | 193 |
| 62 | 南宁汉族Han | 390 | 586 |
Tab.1 Sample size for 62 ethnic groups in China (n)
| 序号No. | 族群Ethnic groups | 男性Male | 女性Female |
|---|---|---|---|
| 1 | 维吾尔族Uighur | 273 | 287 |
| 2 | 锡伯族Xibe | 749 | 752 |
| 3 | 柯尔克孜族Kirghiz | 587 | 767 |
| 4 | 塔吉克族Tajik | 138 | 181 |
| 5 | 哈萨克族Kazakh | 570 | 768 |
| 6 | 乌孜别克族Uzbek | 119 | 91 |
| 7 | 塔塔尔族Tatar | 104 | 60 |
| 8 | 回族Hui | 378 | 446 |
| 9 | 东乡族Dongxiang | 338 | 502 |
| 10 | 土族Tu | 290 | 297 |
| 11 | 撒拉族Salar | 281 | 248 |
| 12 | 裕固族Yugur | 101 | 94 |
| 13 | 保安族Bonan | 198 | 252 |
| 14 | 蒙古族Mongol | 142 | 194 |
| 15 | 达斡尔族Daur | 315 | 314 |
| 16 | 满族Manchu | 445 | 871 |
| 17 | 鄂伦春族Oroqin | 82 | 166 |
| 18 | 赫哲族Hezhen | 47 | 36 |
| 19 | 俄罗斯族Russian | 186 | 215 |
| 20 | 彝族Yi | 1019 | 1105 |
| 21 | 卫藏藏族Tibetan | 266 | 248 |
| 22 | 康巴藏族Tibetan | 253 | 340 |
| 23 | 白族Bai | 276 | 518 |
| 24 | 哈尼族Hani | 206 | 327 |
| 25 | 傈僳族Lisu | 380 | 464 |
| 26 | 拉祜族Lahu | 319 | 366 |
| 27 | 纳西族Naxi | 290 | 398 |
| 28 | 阿昌族Achang | 224 | 387 |
| 29 | 普米族Pumi | 224 | 289 |
| 30 | 碧江怒族Nu | 140 | 134 |
| 31 | 基诺族Jino | 324 | 414 |
| 32 | 门巴族Menba | 156 | 230 |
| 33 | 独龙族Drung | 191 | 185 |
| 34 | 珞巴族Lhoba | 78 | 122 |
| 35 | 土家族Tujia | 912 | 1096 |
| 36 | 羌族Qiang | 416 | 441 |
| 37 | 景颇族Jingpo | 233 | 392 |
| 38 | 百色壮族Zhuang | 208 | 272 |
| 39 | 南宁壮族Zhuang | 415 | 353 |
| 40 | 侗族Dong | 822 | 1232 |
| 41 | 布依族Bouyei | 636 | 795 |
| 42 | 黎族Li | 308 | 299 |
| 43 | 傣族Dai | 363 | 564 |
| 44 | 仡佬族Gelao | 246 | 262 |
| 45 | 水族Shui | 521 | 553 |
| 46 | 仫佬族Mulam | 232 | 233 |
| 47 | 毛南族Maonan | 204 | 272 |
| 48 | 苗族Miao | 215 | 288 |
| 49 | 瑶族Yao | 534 | 661 |
| 50 | 畲族She | 293 | 225 |
| 51 | 佤族Wa | 499 | 510 |
| 52 | 布朗族Blang | 297 | 476 |
| 53 | 京族Gin | 184 | 249 |
| 54 | 德昂族De'ang | 228 | 382 |
| 55 | 郑州汉族Han | 414 | 629 |
| 56 | 榆树汉族Han | 185 | 200 |
| 57 | 渭南汉族Han | 503 | 505 |
| 58 | 泰州汉族Han | 366 | 598 |
| 59 | 荆州汉族Han | 192 | 201 |
| 60 | 简阳汉族Han | 205 | 207 |
| 61 | 漳州汉族Han | 173 | 193 |
| 62 | 南宁汉族Han | 390 | 586 |
| 控制变量Control variable | 变量variable | 纬度(°)Latitude | 身高坐高指数SSHI | 身高体质量指数SWI | 身高胸围指数SCCI | 身高肩宽指数SSBI | 身高骨盆宽指数SCII | 马氏躯干腿长指数MSI | 身高下肢长指数SMSI | BMI (kg/m2) | |
|---|---|---|---|---|---|---|---|---|---|---|---|
| 无no | 纬度(°)Latitude | r | 1.000 | 0.027 | 0.243 | 0.086 | -0.104 | 0.110 | -0.031 | 0.041 | 0.172 |
| p | 0 | 0 | 0 | 0 | 0 | 0 | 0 | 0 | |||
| df | 0 | 17932 | 17932 | 17932 | 17932 | 17932 | 17932 | 17932 | 17932 | ||
| 人均可支配收入(元)PCDI | r | 0.081 | 0.029 | 0.097 | 0.081 | -0.031 | 0.059 | -0.012 | -0.024 | 0.078 | |
| p | 0 | 0 | 0 | 0 | 0 | 0 | 0.096 | 0.001 | 0 | ||
| df | 17932 | 17932 | 17932 | 17932 | 17932 | 17932 | 17932 | 17932 | 17932 | ||
| 年均降水量(mm)AAP | r | -0.715 | -0.014 | -0.239 | -0.091 | 0.088 | -0.120 | -0.001 | 0.008 | -0.179 | |
| p | 0 | 0.052 | 0 | 0 | 0 | 0 | 0.879 | 0.277 | 0 | ||
| df | 17931 | 17931 | 17931 | 17931 | 17931 | 17931 | 17931 | 17931 | 17931 | ||
| 年均光照时长(h)AI | r | 0.598 | 0.015 | 0.167 | 0.044 | -0.104 | -0.011 | 0.021 | 0.069 | 0.111 | |
| p | 0 | 0.049 | 0 | 0 | 0 | 0.142 | 0.005 | 0 | 0 | ||
| df | 17931 | 17931 | 17931 | 17931 | 17931 | 17931 | 17931 | 17931 | 17931 | ||
| 年平均温度(℃) MAT | r | -0.838 | -0.029 | -0.211 | -0.066 | 0.065 | -0.060 | 0.032 | -0.059 | -0.144 | |
| p | 0 | 0 | 0 | 0 | 0 | 0 | 0 | 0 | 0 | ||
| df | 17931 | 17931 | 17931 | 17931 | 17931 | 17931 | 17931 | 17931 | 17931 | ||
| 人均可支配收入(元)PCDI | 纬度(°)Latitude | r | 1.000 | 0.024 | 0.237 | 0.080 | -0.102 | 0.106 | -0.030 | 0.043 | 0.166 |
| p | 0.001 | 0 | 0 | 0 | 0 | 0 | 0 | 0 | |||
| df | 0 | 17931 | 17931 | 17931 | 17931 | 17931 | 17931 | 17931 | 17931 | ||
| 年均降水量(mm)AAP | 纬度(°)Latitude | r | 1 | 0.023 | 0.106 | 0.030 | -0.059 | 0.036 | -0.045 | 0.067 | 0.064 |
| p | 0.002 | 0 | 0 | 0 | 0 | 0 | 0 | 0 | |||
| df | 0 | 17930 | 17930 | 17930 | 17930 | 17930 | 17930 | 17930 | 17930 | ||
| 年均光照(h)AI | 纬度(°)Latitude | r | 1 | 0.022 | 0.181 | 0.074 | -0.052 | 0.146 | -0.054 | 0 | 0.132 |
| p | 0.003 | 0 | 0 | 0 | 0 | 0 | 0.962 | 0 | |||
| df | 0 | 17930 | 17930 | 17930 | 17930 | 17930 | 17930 | 17930 | 17930 | ||
| 年平均温度(℃)MAT | 纬度(°)Latitude | r | 1 | 0.003 | 0.124 | 0.055 | -0.091 | 0.111 | -0.007 | -0.014 | 0.095 |
| p | 0.644 | 0 | 0 | 0 | 0 | 0.347 | 0.054 | 0 | |||
| df | 0 | 17930 | 17930 | 17930 | 17930 | 17930 | 17930 | 17930 | 17930 | ||
Tab.2 Partial correlation analysis of latitude and 8 body indexes(male)
| 控制变量Control variable | 变量variable | 纬度(°)Latitude | 身高坐高指数SSHI | 身高体质量指数SWI | 身高胸围指数SCCI | 身高肩宽指数SSBI | 身高骨盆宽指数SCII | 马氏躯干腿长指数MSI | 身高下肢长指数SMSI | BMI (kg/m2) | |
|---|---|---|---|---|---|---|---|---|---|---|---|
| 无no | 纬度(°)Latitude | r | 1.000 | 0.027 | 0.243 | 0.086 | -0.104 | 0.110 | -0.031 | 0.041 | 0.172 |
| p | 0 | 0 | 0 | 0 | 0 | 0 | 0 | 0 | |||
| df | 0 | 17932 | 17932 | 17932 | 17932 | 17932 | 17932 | 17932 | 17932 | ||
| 人均可支配收入(元)PCDI | r | 0.081 | 0.029 | 0.097 | 0.081 | -0.031 | 0.059 | -0.012 | -0.024 | 0.078 | |
| p | 0 | 0 | 0 | 0 | 0 | 0 | 0.096 | 0.001 | 0 | ||
| df | 17932 | 17932 | 17932 | 17932 | 17932 | 17932 | 17932 | 17932 | 17932 | ||
| 年均降水量(mm)AAP | r | -0.715 | -0.014 | -0.239 | -0.091 | 0.088 | -0.120 | -0.001 | 0.008 | -0.179 | |
| p | 0 | 0.052 | 0 | 0 | 0 | 0 | 0.879 | 0.277 | 0 | ||
| df | 17931 | 17931 | 17931 | 17931 | 17931 | 17931 | 17931 | 17931 | 17931 | ||
| 年均光照时长(h)AI | r | 0.598 | 0.015 | 0.167 | 0.044 | -0.104 | -0.011 | 0.021 | 0.069 | 0.111 | |
| p | 0 | 0.049 | 0 | 0 | 0 | 0.142 | 0.005 | 0 | 0 | ||
| df | 17931 | 17931 | 17931 | 17931 | 17931 | 17931 | 17931 | 17931 | 17931 | ||
| 年平均温度(℃) MAT | r | -0.838 | -0.029 | -0.211 | -0.066 | 0.065 | -0.060 | 0.032 | -0.059 | -0.144 | |
| p | 0 | 0 | 0 | 0 | 0 | 0 | 0 | 0 | 0 | ||
| df | 17931 | 17931 | 17931 | 17931 | 17931 | 17931 | 17931 | 17931 | 17931 | ||
| 人均可支配收入(元)PCDI | 纬度(°)Latitude | r | 1.000 | 0.024 | 0.237 | 0.080 | -0.102 | 0.106 | -0.030 | 0.043 | 0.166 |
| p | 0.001 | 0 | 0 | 0 | 0 | 0 | 0 | 0 | |||
| df | 0 | 17931 | 17931 | 17931 | 17931 | 17931 | 17931 | 17931 | 17931 | ||
| 年均降水量(mm)AAP | 纬度(°)Latitude | r | 1 | 0.023 | 0.106 | 0.030 | -0.059 | 0.036 | -0.045 | 0.067 | 0.064 |
| p | 0.002 | 0 | 0 | 0 | 0 | 0 | 0 | 0 | |||
| df | 0 | 17930 | 17930 | 17930 | 17930 | 17930 | 17930 | 17930 | 17930 | ||
| 年均光照(h)AI | 纬度(°)Latitude | r | 1 | 0.022 | 0.181 | 0.074 | -0.052 | 0.146 | -0.054 | 0 | 0.132 |
| p | 0.003 | 0 | 0 | 0 | 0 | 0 | 0.962 | 0 | |||
| df | 0 | 17930 | 17930 | 17930 | 17930 | 17930 | 17930 | 17930 | 17930 | ||
| 年平均温度(℃)MAT | 纬度(°)Latitude | r | 1 | 0.003 | 0.124 | 0.055 | -0.091 | 0.111 | -0.007 | -0.014 | 0.095 |
| p | 0.644 | 0 | 0 | 0 | 0 | 0.347 | 0.054 | 0 | |||
| df | 0 | 17930 | 17930 | 17930 | 17930 | 17930 | 17930 | 17930 | 17930 | ||
| 控制变量 Control variable | 变量variable | 纬度(°)Latitude | 身高坐高指数SSHI | 身高体质量指数SWI | 身高胸围指数SCCI | 身高肩宽指数SSBI | 身高骨盆宽指数SCII | 马氏躯干腿长指数MSI | 身高下肢长指数SMSI | BMI (kg/m2) | |
|---|---|---|---|---|---|---|---|---|---|---|---|
| 无no | 纬度(°)Latitude | r | 1.000 | 0.103 | 0.234 | 0.143 | -0.035 | 0.104 | -0.101 | 0.040 | 0.158 |
| p | 0 | 0 | 0 | 0 | 0 | 0 | 0 | 0 | |||
| df | 0 | 23222 | 23222 | 23222 | 23222 | 23222 | 23222 | 23222 | 23222 | ||
| 人均可支配收入(元)PCDI | r | 0.129 | 0.081 | 0.075 | 0.071 | -0.100 | 0.018 | -0.080 | -0.045 | 0.043 | |
| p | 0 | 0 | 0 | 0 | 0 | 0.005 | 0 | 0 | 0 | ||
| df | 23222 | 23222 | 23222 | 23222 | 23222 | 23222 | 23222 | 23222 | 23222 | ||
| 年均降水量(mm)AAP | r | -0.713 | -0.045 | -0.202 | -0.091 | 0.012 | -0.158 | 0.044 | -0.037 | -0.134 | |
| p | 0 | 0 | 0 | 0 | 0.07 | 0 | 0 | 0 | 0 | ||
| df | 23222 | 23222 | 23222 | 23222 | 23222 | 23222 | 23222 | 23222 | 23222 | ||
| 年均光照时长(h)AI | r | 0.574 | 0.012 | 0.137 | 0.060 | -0.046 | 0.034 | -0.012 | 0.135 | 0.075 | |
| p | 0 | 0.067 | 0 | 0 | 0 | 0 | 0.07 | 0 | 0 | ||
| df | 23222 | 23222 | 23222 | 23222 | 23222 | 23222 | 23222 | 23222 | 23222 | ||
| 年平均温度(℃) MAT | r | -0.836 | -0.062 | -0.221 | -0.100 | 0.007 | -0.025 | 0.061 | -0.040 | -0.155 | |
| p | 0 | 0 | 0 | 0 | 0.262 | 0 | 0 | 0 | 0 | ||
| df | 23222 | 23222 | 23222 | 23222 | 23222 | 23222 | 23222 | 23222 | 23222 | ||
| 人均可支配收入(元)PCDI | 纬度(°)Latitude | r | 1.000 | 0.094 | 0.226 | 0.135 | -0.022 | 0.103 | -0.092 | 0.047 | 0.154 |
| p | 0 | 0 | 0 | 0.001 | 0 | 0 | 0 | 0 | |||
| df | 0 | 23221 | 23221 | 23221 | 23221 | 23221 | 23221 | 23221 | 23221 | ||
| 年均降水量(mm)AAP | 纬度(°)Latitude | r | 1 | 0.102 | 0.131 | 0.112 | -0.037 | -0.012 | -0.099 | 0.020 | 0.090 |
| p | . | 0 | 0 | 0 | 0 | 0.058 | 0 | 0.002 | 0 | ||
| df | 0 | 23221 | 23221 | 23221 | 23221 | 23221 | 23221 | 23221 | 23221 | ||
| 年均光照(h)AI | 纬度(°)Latitude | r | 1 | 0.118 | 0.191 | 0.133 | -0.010 | 0.103 | -0.115 | -0.046 | 0.141 |
| p | . | 0 | 0 | 0 | 0.112 | 0 | 0 | 0 | 0 | ||
| df | 0 | 23221 | 23221 | 23221 | 23221 | 23221 | 23221 | 23221 | 23221 | ||
| 年平均温度(℃)MAT | 纬度(°)Latitude | r | 1 | 0.094 | 0.091 | 0.109 | -0.052 | 0.151 | -0.091 | 0.013 | 0.052 |
| p | . | 0 | 0 | 0 | 0 | 0 | 0 | 0.05 | 0 | ||
| df | 0 | 23221 | 23221 | 23221 | 23221 | 23221 | 23221 | 23221 | 23221 | ||
Tab.3 Partial correlation analysis of latitude and 8 body indexes(female)
| 控制变量 Control variable | 变量variable | 纬度(°)Latitude | 身高坐高指数SSHI | 身高体质量指数SWI | 身高胸围指数SCCI | 身高肩宽指数SSBI | 身高骨盆宽指数SCII | 马氏躯干腿长指数MSI | 身高下肢长指数SMSI | BMI (kg/m2) | |
|---|---|---|---|---|---|---|---|---|---|---|---|
| 无no | 纬度(°)Latitude | r | 1.000 | 0.103 | 0.234 | 0.143 | -0.035 | 0.104 | -0.101 | 0.040 | 0.158 |
| p | 0 | 0 | 0 | 0 | 0 | 0 | 0 | 0 | |||
| df | 0 | 23222 | 23222 | 23222 | 23222 | 23222 | 23222 | 23222 | 23222 | ||
| 人均可支配收入(元)PCDI | r | 0.129 | 0.081 | 0.075 | 0.071 | -0.100 | 0.018 | -0.080 | -0.045 | 0.043 | |
| p | 0 | 0 | 0 | 0 | 0 | 0.005 | 0 | 0 | 0 | ||
| df | 23222 | 23222 | 23222 | 23222 | 23222 | 23222 | 23222 | 23222 | 23222 | ||
| 年均降水量(mm)AAP | r | -0.713 | -0.045 | -0.202 | -0.091 | 0.012 | -0.158 | 0.044 | -0.037 | -0.134 | |
| p | 0 | 0 | 0 | 0 | 0.07 | 0 | 0 | 0 | 0 | ||
| df | 23222 | 23222 | 23222 | 23222 | 23222 | 23222 | 23222 | 23222 | 23222 | ||
| 年均光照时长(h)AI | r | 0.574 | 0.012 | 0.137 | 0.060 | -0.046 | 0.034 | -0.012 | 0.135 | 0.075 | |
| p | 0 | 0.067 | 0 | 0 | 0 | 0 | 0.07 | 0 | 0 | ||
| df | 23222 | 23222 | 23222 | 23222 | 23222 | 23222 | 23222 | 23222 | 23222 | ||
| 年平均温度(℃) MAT | r | -0.836 | -0.062 | -0.221 | -0.100 | 0.007 | -0.025 | 0.061 | -0.040 | -0.155 | |
| p | 0 | 0 | 0 | 0 | 0.262 | 0 | 0 | 0 | 0 | ||
| df | 23222 | 23222 | 23222 | 23222 | 23222 | 23222 | 23222 | 23222 | 23222 | ||
| 人均可支配收入(元)PCDI | 纬度(°)Latitude | r | 1.000 | 0.094 | 0.226 | 0.135 | -0.022 | 0.103 | -0.092 | 0.047 | 0.154 |
| p | 0 | 0 | 0 | 0.001 | 0 | 0 | 0 | 0 | |||
| df | 0 | 23221 | 23221 | 23221 | 23221 | 23221 | 23221 | 23221 | 23221 | ||
| 年均降水量(mm)AAP | 纬度(°)Latitude | r | 1 | 0.102 | 0.131 | 0.112 | -0.037 | -0.012 | -0.099 | 0.020 | 0.090 |
| p | . | 0 | 0 | 0 | 0 | 0.058 | 0 | 0.002 | 0 | ||
| df | 0 | 23221 | 23221 | 23221 | 23221 | 23221 | 23221 | 23221 | 23221 | ||
| 年均光照(h)AI | 纬度(°)Latitude | r | 1 | 0.118 | 0.191 | 0.133 | -0.010 | 0.103 | -0.115 | -0.046 | 0.141 |
| p | . | 0 | 0 | 0 | 0.112 | 0 | 0 | 0 | 0 | ||
| df | 0 | 23221 | 23221 | 23221 | 23221 | 23221 | 23221 | 23221 | 23221 | ||
| 年平均温度(℃)MAT | 纬度(°)Latitude | r | 1 | 0.094 | 0.091 | 0.109 | -0.052 | 0.151 | -0.091 | 0.013 | 0.052 |
| p | . | 0 | 0 | 0 | 0 | 0 | 0 | 0.05 | 0 | ||
| df | 0 | 23221 | 23221 | 23221 | 23221 | 23221 | 23221 | 23221 | 23221 | ||
| 族群Ethnic groups | 身高坐高指数SSHI | 身高体质量指数SWI | 身高胸围指数SCCI | 身高肩宽指数SSBI | 身高骨盆宽指数SCII | 马氏躯干腿长指数MSI | 身高下肢长指数SMSI | BMI(kg/m2) |
|---|---|---|---|---|---|---|---|---|
| 维吾尔族Uighur | 53.7±1.4 | 446.4±67.9 | 59.0±4.9 | 23.2±1.0 | 17.9±1.3 | 86.4±5.0 | 53.3±1.7 | 26.8±4.1 |
| 锡伯族Xibe | 53.0±1.9 | 452.9±73.3 | 56.3±5.4 | 23.1±1.6 | 18.2±1.7 | 88.9±7.0 | 53.3±2.6 | 26.6±4.3 |
| 柯尔克孜族Kirghiz | 52.4±1.8 | 400.2±66.5 | 55.0±5.0 | 23.7±1.5 | 19.1±1.5 | 90.9±6.4 | 56.9±2.7 | 23.9±3.9 |
| 塔吉克族Tajik | 51.8±2.0 | 397.6±70.1 | 54.6±4.6 | 23.4±1.5 | 19.0±1.4 | 93.5±7.7 | 56.6±2.1 | 23.8±4.1 |
| 哈萨克族Kazakh | 52.6±1.7 | 431.2±74.1 | 56.4±5.5 | 22.2±1.8 | 19.3±1.4 | 90.4±6.5 | 55.3±2.2 | 25.5±4.3 |
| 乌孜别克族Uzbek | 58.8±3.3 | 408.3±66.6 | 55.4±5.1 | 21.7±1.5 | 17.7±1.3 | 86.9±5.8 | 52.7±1.6 | 23.4±4.2 |
| 塔塔尔族Tatar | 52.3 ±2.0 | 472.4 ±70.1 | 57.9 ±6.6 | 23.4 ±1.2 | 19.2 ±1.7 | 91.4±7.5 | 55.8±3.0 | 27.8 ±3.9 |
| 回族Hui | 53.4±1.5 | 418.4±63.8 | 55.0±4.6 | 24.3±1.0 | 17.9±1.3 | 87.6±5.3 | 52.7±1.8 | 25.4±3.8 |
| 东乡族Dongxiang | 53.5±1.5 | 410.8±61.3 | 55.1±4.1 | 24.0±1.1 | 17.9±1.1 | 87.2±5.3 | 51.9±1.9 | 24.9±3.5 |
| 土族Tu | 53.7±2.1 | 395.3±55.8 | 54.9±4.0 | 22.4±1.0 | 17.1±1.0 | 86.5±7.0 | 52.8±1.9 | 24.0±3.4 |
| 撒拉族Salar | 53.2±1.7 | 433.6±63.9 | 57.1±5.0 | 22.7±1.2 | 17.6±1.0 | 88.1±5.9 | 52.5±1.9 | 26.3±3.7 |
| 裕固族Yugur | 52.6±1.4 | 428.8±56.8 | 55.1±3.8 | 21.4±0.8 | 18.0±1.4 | 90.3±5.0 | 47.4±1.4 | 25.3±3.3 |
| 保安族Bonan | 53.5±1.3 | 404.8±58.9 | 54.9±3.9 | 24.2±0.9 | 18.0±1.3 | 87.1±4.6 | 52.6±1.7 | 24.6±3.5 |
| 蒙古族Mongol | 53.6±1.5 | 456.5±74.2 | 58.2±5.0 | 22.7±1.1 | 15.9±1.0 | 86.7±5.3 | 53.9±1.8 | 27.0±4.3 |
| 达斡尔族Daur | 56.0±8.5 | 416.6±74.3 | 55.3±6.6 | 23.6±1.7 | 17.7±2.3 | 81.7±9.5 | 55.4±2.3 | 24.7±4.4 |
| 满族Manchu | 52.8±1.7 | 392.9±63.9 | 55.1±5.7 | 23.3±1.3 | 17.0±1.9 | 89.6±5.9 | 55.1±2.4 | 23.7±3.8 |
| 鄂伦春族Oroqin | 54.9±2.6 | 402.4±68.5 | 55.8±5.7 | 23.2±1.4 | 17.9±1.3 | 82.7±9.1 | 52.4±2.3 | 24.3±4.1 |
| 赫哲族Hezhen | 55.8±3.5 | 418.0±89.0 | 55.9±5.7 | 23.4±0.9 | 16.9±1.5 | 80.0±9.2 | 54.4±1.4 | 25.1±5.1 |
| 俄罗斯族Russian | 52.7±1.6 | 421.0±69.7 | 56.7±5.1 | 23.5±1.4 | 17.4±1.2 | 90.1±5.9 | 53.7±2.0 | 25.1±4.2 |
| 彝族Yi | 52.9±1.3 | 377.1±54.3 | 54.9±3.9 | 22.9±1.0 | 17.0±1.0 | 89.3±4.8 | 54.1±1.5 | 23.0±3.2 |
| 卫藏藏族Tibetan | 52.7±1.5 | 442.3±66.8 | 57.8±4.5 | 23.0±1.0 | 18.3±0.9 | 90.0±5.4 | 52.3±1.8 | 26.5±3.8 |
| 康巴藏族Tibetan | 52.6±1.6 | 419.8±64.4 | 57.5±4.5 | 22.6±0.9 | 17.0±1.1 | 90.3±5.8 | 54.1±2.8 | 24.9±3.7 |
| 白族Bai | 53.4±1.3 | 387.7±62.0 | 54.6±4.3 | 22.9±1.0 | 16.8±1.2 | 87.6±4.6 | 54.2±2.0 | 23.6±3.7 |
| 哈尼族Hani | 53.2±1.5 | 375.7±60.2 | 55.3±4.3 | 23.5±1.1 | 17.6±1.1 | 88.0±5.4 | 53.5±1.8 | 23.5±3.7 |
| 傈僳族Lisu | 52.9±1.5 | 380.8±57.1 | 55.4±4.0 | 24.1±1.2 | 18.6±1.2 | 89.1±5.6 | 53.3±1.7 | 23.6±3.3 |
| 拉祜族Lahu | 53.7±1.6 | 354.2±47.0 | 54.2±3.3 | 23.5±0.9 | 16.8±1.1 | 86.5±5.4 | 53.4±2.0 | 22.6±2.9 |
| 纳西族Naxi | 52.7±1.7 | 377.7±64.7 | 55.4±4.3 | 24.2±1.3 | 19.2±1.3 | 90.0±6.2 | 53.0±1.8 | 23.2±3.8 |
| 阿昌族Achang | 52.6±1.6 | 388.2±57.9 | 55.1±4.1 | 24.0±1.1 | 17.3±1.0 | 90.2±6.0 | 52.2±1.6 | 23.9±3.4 |
| 普米族Pumi | 52.4±1.7 | 385.9±70.1 | 54.6±4.4 | 22.3±1.4 | 18.5±1.2 | 91.1±6.3 | 52.8±1.8 | 22.8±4.1 |
| 碧江怒族Nu | 53.2±1.3 | 372.3±65.5 | 56.6±4.6 | 23.5±1.3 | 18.5±1.6 | 88.0±4.5 | 53.0±2.0 | 23.1±4.0 |
| 基诺族Jino | 53.3±1.5 | 378.6±61.0 | 56.3±4.9 | 23.7±1.1 | 17.0±1.1 | 87.8±5.3 | 53.0±2.0 | 23.9±3.6 |
| 门巴族Menba | 53.2±1.2 | 388.6±59.8 | 55.9±4.5 | 22.9±1.1 | 16.6±1.3 | 88.0±4.4 | 53.0±1.3 | 23.9±3.6 |
| 独龙族Drung | 53.3±1.4 | 346.3±45.1 | 55.6±3.3 | 23.8±1.3 | 17.7±1.1 | 87.8±5.1 | 54.8±1.7 | 22.0±2.7 |
| 珞巴族Lhoba | 53.3±1.4 | 377.5±52.9 | 54.5±4.0 | 22.9±1.0 | 16.7±1.0 | 87.9±5.0 | 52.9±1.7 | 22.8±3.1 |
| 土家族Tujia | 54.1±1.4 | 395.6±57.1 | 54.8±4.2 | 22.9±1.2 | 16.7±1.0 | 84.8±4.7 | 52.7±1.8 | 24.4±3.4 |
| 羌族Qiang | 53.5±1.4 | 403.0±58.8 | 56.9±4.2 | 23.5±1.1 | 17.4±1.4 | 87.1±4.9 | 53.7±1.7 | 24.6±3.4 |
| 景颇族Jingpo | 53.0±1.5 | 366.8±53.1 | 54.4±3.5 | 23.9±1.0 | 16.9±1.0 | 88.8±5.2 | 54.0±1.8 | 22.9±3.3 |
| 百色壮族Zhuang | 52.3±1.8 | 386.6±55.4 | 56.7±3.8 | 24.7±1.1 | 18.6±1.0 | 91.5±6.6 | 52.4±1.6 | 24.0±3.3 |
| 南宁壮族Zhuang | 52.9±1.5 | 381.3±50.1 | 54.6±3.2 | 23.5±0.9 | 19.3±1.1 | 89.1±5.2 | 47.1±1.5 | 23.5±2.9 |
| 侗族Dong | 53.2±1.5 | 384.9±60.0 | 56.2±4.2 | 22.4±1.2 | 17.9±1.1 | 88.0±5.3 | 53.1±2.5 | 24.1±3.6 |
| 布依族Bouyei | 52.6±1.5 | 360.6±52.9 | 54.3±4.2 | 22.4±1.3 | 17.5±1.1 | 90.4±5.5 | 52.6±2.1 | 22.7±3.2 |
| 黎族Li | 52.9±1.3 | 367.8±56.1 | 53.1±4.2 | 23.4±0.8 | 17.2±0.9 | 89.1±4.6 | 54.2±1.6 | 22.4±3.3 |
| 傣族Dai | 52.8±1.3 | 377.5±56.8 | 55.8±4.1 | 23.7±1.1 | 17.3±1.1 | 89.6±4.7 | 53.8±1.7 | 23.4±3.4 |
| 仡佬族Gelao | 52.8±2.1 | 371.2±54.0 | 55.4±4.5 | 24.1±1.1 | 18.6±1.0 | 89.7±7.5 | 52.4±2.2 | 23.2±3.2 |
| 水族Shui | 52.5±1.6 | 366.0±64.6 | 56.2±4.1 | 23.3±1.1 | 17.8±1.1 | 90.8±6.0 | 53.2±2.0 | 23.0±3.9 |
| 仫佬族Mulam | 53.5±1.5 | 340.0±35.4 | 50.8±3.2 | 23.0±1.0 | 16.8±0.9 | 87.0±5.5 | 53.7±1.2 | 20.9±3.3 |
| 毛南族Maonan | 53.7±1.6 | 387.9±56.3 | 57.7±3.8 | 24.5±1.0 | 18.8±1.0 | 86.5±5.5 | 52.6±1.7 | 24.4±3.3 |
| 苗族Miao | 53.5±1.4 | 412.0±55.9 | 56.2±4.1 | 24.5±0.9 | 18.2±1.3 | 87.2±4.9 | 52.4±2.8 | 25.2±3.2 |
| 瑶族Yao | 52.9±1.5 | 370.0±51.8 | 54.5±3.8 | 23.6±1.1 | 18.4±1.0 | 89.2±5.6 | 50.9±2.2 | 23.2±3.1 |
| 畲族She | 52.7±2.5 | 379.0±50.5 | 55.6±4.3 | 23.9±1.5 | 17.1±1.5 | 90.0±9.0 | 55.0±2.3 | 23.5±3.2 |
| 佤族Wa | 53.7±1.4 | 358.3±52.8 | 53.6±3.4 | 23.2±1.0 | 16.3±0.8 | 86.3±5.0 | 53.0±1.8 | 22.3±3.1 |
| 布朗族Blang | 53.0±1.5 | 374.4±55.4 | 55.5±3.7 | 23.7±0.9 | 17.2±0.9 | 88.8±5.2 | 51.1±2.3 | 23.6±3.3 |
| 京族Gin | 52.8±1.5 | 399.3±61.0 | 55.2±4.6 | 23.7±0.9 | 18.2±1.1 | 89.6±5.4 | 53.0±2.2 | 24.3±3.6 |
| 德昂族De'ang | 53.2±1.9 | 370.1±51.6 | 54.9±3.5 | 23.1±1.4 | 17.6±1.2 | 88.2±7.2 | 54.5±2.0 | 23.4±3.1 |
| 郑州汉族Han | 54.2±1.4 | 433.0±65.0 | 56.8±4.7 | 22.8±1.1 | 18.0±1.3 | 84.3±4.2 | 51.0±1.7 | 25.9±3.8 |
| 榆树汉族Han | 54.7±1.4 | 417.4±53.4 | 56.3±3.9 | 22.7±1.1 | 17.0±1.3 | 83.0±4.6 | 54.1±1.5 | 24.9±3.0 |
| 渭南汉族Han | 53.5±1.5 | 401.4±54.1 | 54.7±4.2 | 22.7±1.2 | 17.4±1.1 | 87.0±5.2 | 52.9±1.4 | 23.9±3.2 |
| 泰州汉族Han | 54.1±1.4 | 414.5±59.6 | 56.3±4.2 | 22.5±1.3 | 17.9±1.2 | 85.0±4.8 | 52.4±1.8 | 24.8±3.4 |
| 荆州汉族Han | 53.1±1.6 | 387.8±52.1 | 53.9±4.6 | 23.0±1.0 | 17.1±1.1 | 88.5±5.7 | 51.5±1.9 | 23.4±3.2 |
| 简阳汉族Han | 54.0±1.4 | 375.6±53.0 | 55.3±4.6 | 23.4±0.9 | 17.8±1.1 | 85.4±4.7 | 53.6±1.7 | 23.1±3.2 |
| 漳州汉族Han | 53.1±1.4 | 378.0±60.1 | 53.8±4.5 | 23.3±1.2 | 15.7±1.1 | 88.4±5.1 | 53.3±2.2 | 22.8±3.7 |
| 南宁汉族Han | 53.3±1.6 | 396.2±55.1 | 55.5±3.9 | 23.3±1.1 | 18.9±1.2 | 87.9±5.5 | 52.0±2.1 | 24.4±3.2 |
Tab.4 Means and standard deviations of 8 indexes of 62 male ethnic groups in China
| 族群Ethnic groups | 身高坐高指数SSHI | 身高体质量指数SWI | 身高胸围指数SCCI | 身高肩宽指数SSBI | 身高骨盆宽指数SCII | 马氏躯干腿长指数MSI | 身高下肢长指数SMSI | BMI(kg/m2) |
|---|---|---|---|---|---|---|---|---|
| 维吾尔族Uighur | 53.7±1.4 | 446.4±67.9 | 59.0±4.9 | 23.2±1.0 | 17.9±1.3 | 86.4±5.0 | 53.3±1.7 | 26.8±4.1 |
| 锡伯族Xibe | 53.0±1.9 | 452.9±73.3 | 56.3±5.4 | 23.1±1.6 | 18.2±1.7 | 88.9±7.0 | 53.3±2.6 | 26.6±4.3 |
| 柯尔克孜族Kirghiz | 52.4±1.8 | 400.2±66.5 | 55.0±5.0 | 23.7±1.5 | 19.1±1.5 | 90.9±6.4 | 56.9±2.7 | 23.9±3.9 |
| 塔吉克族Tajik | 51.8±2.0 | 397.6±70.1 | 54.6±4.6 | 23.4±1.5 | 19.0±1.4 | 93.5±7.7 | 56.6±2.1 | 23.8±4.1 |
| 哈萨克族Kazakh | 52.6±1.7 | 431.2±74.1 | 56.4±5.5 | 22.2±1.8 | 19.3±1.4 | 90.4±6.5 | 55.3±2.2 | 25.5±4.3 |
| 乌孜别克族Uzbek | 58.8±3.3 | 408.3±66.6 | 55.4±5.1 | 21.7±1.5 | 17.7±1.3 | 86.9±5.8 | 52.7±1.6 | 23.4±4.2 |
| 塔塔尔族Tatar | 52.3 ±2.0 | 472.4 ±70.1 | 57.9 ±6.6 | 23.4 ±1.2 | 19.2 ±1.7 | 91.4±7.5 | 55.8±3.0 | 27.8 ±3.9 |
| 回族Hui | 53.4±1.5 | 418.4±63.8 | 55.0±4.6 | 24.3±1.0 | 17.9±1.3 | 87.6±5.3 | 52.7±1.8 | 25.4±3.8 |
| 东乡族Dongxiang | 53.5±1.5 | 410.8±61.3 | 55.1±4.1 | 24.0±1.1 | 17.9±1.1 | 87.2±5.3 | 51.9±1.9 | 24.9±3.5 |
| 土族Tu | 53.7±2.1 | 395.3±55.8 | 54.9±4.0 | 22.4±1.0 | 17.1±1.0 | 86.5±7.0 | 52.8±1.9 | 24.0±3.4 |
| 撒拉族Salar | 53.2±1.7 | 433.6±63.9 | 57.1±5.0 | 22.7±1.2 | 17.6±1.0 | 88.1±5.9 | 52.5±1.9 | 26.3±3.7 |
| 裕固族Yugur | 52.6±1.4 | 428.8±56.8 | 55.1±3.8 | 21.4±0.8 | 18.0±1.4 | 90.3±5.0 | 47.4±1.4 | 25.3±3.3 |
| 保安族Bonan | 53.5±1.3 | 404.8±58.9 | 54.9±3.9 | 24.2±0.9 | 18.0±1.3 | 87.1±4.6 | 52.6±1.7 | 24.6±3.5 |
| 蒙古族Mongol | 53.6±1.5 | 456.5±74.2 | 58.2±5.0 | 22.7±1.1 | 15.9±1.0 | 86.7±5.3 | 53.9±1.8 | 27.0±4.3 |
| 达斡尔族Daur | 56.0±8.5 | 416.6±74.3 | 55.3±6.6 | 23.6±1.7 | 17.7±2.3 | 81.7±9.5 | 55.4±2.3 | 24.7±4.4 |
| 满族Manchu | 52.8±1.7 | 392.9±63.9 | 55.1±5.7 | 23.3±1.3 | 17.0±1.9 | 89.6±5.9 | 55.1±2.4 | 23.7±3.8 |
| 鄂伦春族Oroqin | 54.9±2.6 | 402.4±68.5 | 55.8±5.7 | 23.2±1.4 | 17.9±1.3 | 82.7±9.1 | 52.4±2.3 | 24.3±4.1 |
| 赫哲族Hezhen | 55.8±3.5 | 418.0±89.0 | 55.9±5.7 | 23.4±0.9 | 16.9±1.5 | 80.0±9.2 | 54.4±1.4 | 25.1±5.1 |
| 俄罗斯族Russian | 52.7±1.6 | 421.0±69.7 | 56.7±5.1 | 23.5±1.4 | 17.4±1.2 | 90.1±5.9 | 53.7±2.0 | 25.1±4.2 |
| 彝族Yi | 52.9±1.3 | 377.1±54.3 | 54.9±3.9 | 22.9±1.0 | 17.0±1.0 | 89.3±4.8 | 54.1±1.5 | 23.0±3.2 |
| 卫藏藏族Tibetan | 52.7±1.5 | 442.3±66.8 | 57.8±4.5 | 23.0±1.0 | 18.3±0.9 | 90.0±5.4 | 52.3±1.8 | 26.5±3.8 |
| 康巴藏族Tibetan | 52.6±1.6 | 419.8±64.4 | 57.5±4.5 | 22.6±0.9 | 17.0±1.1 | 90.3±5.8 | 54.1±2.8 | 24.9±3.7 |
| 白族Bai | 53.4±1.3 | 387.7±62.0 | 54.6±4.3 | 22.9±1.0 | 16.8±1.2 | 87.6±4.6 | 54.2±2.0 | 23.6±3.7 |
| 哈尼族Hani | 53.2±1.5 | 375.7±60.2 | 55.3±4.3 | 23.5±1.1 | 17.6±1.1 | 88.0±5.4 | 53.5±1.8 | 23.5±3.7 |
| 傈僳族Lisu | 52.9±1.5 | 380.8±57.1 | 55.4±4.0 | 24.1±1.2 | 18.6±1.2 | 89.1±5.6 | 53.3±1.7 | 23.6±3.3 |
| 拉祜族Lahu | 53.7±1.6 | 354.2±47.0 | 54.2±3.3 | 23.5±0.9 | 16.8±1.1 | 86.5±5.4 | 53.4±2.0 | 22.6±2.9 |
| 纳西族Naxi | 52.7±1.7 | 377.7±64.7 | 55.4±4.3 | 24.2±1.3 | 19.2±1.3 | 90.0±6.2 | 53.0±1.8 | 23.2±3.8 |
| 阿昌族Achang | 52.6±1.6 | 388.2±57.9 | 55.1±4.1 | 24.0±1.1 | 17.3±1.0 | 90.2±6.0 | 52.2±1.6 | 23.9±3.4 |
| 普米族Pumi | 52.4±1.7 | 385.9±70.1 | 54.6±4.4 | 22.3±1.4 | 18.5±1.2 | 91.1±6.3 | 52.8±1.8 | 22.8±4.1 |
| 碧江怒族Nu | 53.2±1.3 | 372.3±65.5 | 56.6±4.6 | 23.5±1.3 | 18.5±1.6 | 88.0±4.5 | 53.0±2.0 | 23.1±4.0 |
| 基诺族Jino | 53.3±1.5 | 378.6±61.0 | 56.3±4.9 | 23.7±1.1 | 17.0±1.1 | 87.8±5.3 | 53.0±2.0 | 23.9±3.6 |
| 门巴族Menba | 53.2±1.2 | 388.6±59.8 | 55.9±4.5 | 22.9±1.1 | 16.6±1.3 | 88.0±4.4 | 53.0±1.3 | 23.9±3.6 |
| 独龙族Drung | 53.3±1.4 | 346.3±45.1 | 55.6±3.3 | 23.8±1.3 | 17.7±1.1 | 87.8±5.1 | 54.8±1.7 | 22.0±2.7 |
| 珞巴族Lhoba | 53.3±1.4 | 377.5±52.9 | 54.5±4.0 | 22.9±1.0 | 16.7±1.0 | 87.9±5.0 | 52.9±1.7 | 22.8±3.1 |
| 土家族Tujia | 54.1±1.4 | 395.6±57.1 | 54.8±4.2 | 22.9±1.2 | 16.7±1.0 | 84.8±4.7 | 52.7±1.8 | 24.4±3.4 |
| 羌族Qiang | 53.5±1.4 | 403.0±58.8 | 56.9±4.2 | 23.5±1.1 | 17.4±1.4 | 87.1±4.9 | 53.7±1.7 | 24.6±3.4 |
| 景颇族Jingpo | 53.0±1.5 | 366.8±53.1 | 54.4±3.5 | 23.9±1.0 | 16.9±1.0 | 88.8±5.2 | 54.0±1.8 | 22.9±3.3 |
| 百色壮族Zhuang | 52.3±1.8 | 386.6±55.4 | 56.7±3.8 | 24.7±1.1 | 18.6±1.0 | 91.5±6.6 | 52.4±1.6 | 24.0±3.3 |
| 南宁壮族Zhuang | 52.9±1.5 | 381.3±50.1 | 54.6±3.2 | 23.5±0.9 | 19.3±1.1 | 89.1±5.2 | 47.1±1.5 | 23.5±2.9 |
| 侗族Dong | 53.2±1.5 | 384.9±60.0 | 56.2±4.2 | 22.4±1.2 | 17.9±1.1 | 88.0±5.3 | 53.1±2.5 | 24.1±3.6 |
| 布依族Bouyei | 52.6±1.5 | 360.6±52.9 | 54.3±4.2 | 22.4±1.3 | 17.5±1.1 | 90.4±5.5 | 52.6±2.1 | 22.7±3.2 |
| 黎族Li | 52.9±1.3 | 367.8±56.1 | 53.1±4.2 | 23.4±0.8 | 17.2±0.9 | 89.1±4.6 | 54.2±1.6 | 22.4±3.3 |
| 傣族Dai | 52.8±1.3 | 377.5±56.8 | 55.8±4.1 | 23.7±1.1 | 17.3±1.1 | 89.6±4.7 | 53.8±1.7 | 23.4±3.4 |
| 仡佬族Gelao | 52.8±2.1 | 371.2±54.0 | 55.4±4.5 | 24.1±1.1 | 18.6±1.0 | 89.7±7.5 | 52.4±2.2 | 23.2±3.2 |
| 水族Shui | 52.5±1.6 | 366.0±64.6 | 56.2±4.1 | 23.3±1.1 | 17.8±1.1 | 90.8±6.0 | 53.2±2.0 | 23.0±3.9 |
| 仫佬族Mulam | 53.5±1.5 | 340.0±35.4 | 50.8±3.2 | 23.0±1.0 | 16.8±0.9 | 87.0±5.5 | 53.7±1.2 | 20.9±3.3 |
| 毛南族Maonan | 53.7±1.6 | 387.9±56.3 | 57.7±3.8 | 24.5±1.0 | 18.8±1.0 | 86.5±5.5 | 52.6±1.7 | 24.4±3.3 |
| 苗族Miao | 53.5±1.4 | 412.0±55.9 | 56.2±4.1 | 24.5±0.9 | 18.2±1.3 | 87.2±4.9 | 52.4±2.8 | 25.2±3.2 |
| 瑶族Yao | 52.9±1.5 | 370.0±51.8 | 54.5±3.8 | 23.6±1.1 | 18.4±1.0 | 89.2±5.6 | 50.9±2.2 | 23.2±3.1 |
| 畲族She | 52.7±2.5 | 379.0±50.5 | 55.6±4.3 | 23.9±1.5 | 17.1±1.5 | 90.0±9.0 | 55.0±2.3 | 23.5±3.2 |
| 佤族Wa | 53.7±1.4 | 358.3±52.8 | 53.6±3.4 | 23.2±1.0 | 16.3±0.8 | 86.3±5.0 | 53.0±1.8 | 22.3±3.1 |
| 布朗族Blang | 53.0±1.5 | 374.4±55.4 | 55.5±3.7 | 23.7±0.9 | 17.2±0.9 | 88.8±5.2 | 51.1±2.3 | 23.6±3.3 |
| 京族Gin | 52.8±1.5 | 399.3±61.0 | 55.2±4.6 | 23.7±0.9 | 18.2±1.1 | 89.6±5.4 | 53.0±2.2 | 24.3±3.6 |
| 德昂族De'ang | 53.2±1.9 | 370.1±51.6 | 54.9±3.5 | 23.1±1.4 | 17.6±1.2 | 88.2±7.2 | 54.5±2.0 | 23.4±3.1 |
| 郑州汉族Han | 54.2±1.4 | 433.0±65.0 | 56.8±4.7 | 22.8±1.1 | 18.0±1.3 | 84.3±4.2 | 51.0±1.7 | 25.9±3.8 |
| 榆树汉族Han | 54.7±1.4 | 417.4±53.4 | 56.3±3.9 | 22.7±1.1 | 17.0±1.3 | 83.0±4.6 | 54.1±1.5 | 24.9±3.0 |
| 渭南汉族Han | 53.5±1.5 | 401.4±54.1 | 54.7±4.2 | 22.7±1.2 | 17.4±1.1 | 87.0±5.2 | 52.9±1.4 | 23.9±3.2 |
| 泰州汉族Han | 54.1±1.4 | 414.5±59.6 | 56.3±4.2 | 22.5±1.3 | 17.9±1.2 | 85.0±4.8 | 52.4±1.8 | 24.8±3.4 |
| 荆州汉族Han | 53.1±1.6 | 387.8±52.1 | 53.9±4.6 | 23.0±1.0 | 17.1±1.1 | 88.5±5.7 | 51.5±1.9 | 23.4±3.2 |
| 简阳汉族Han | 54.0±1.4 | 375.6±53.0 | 55.3±4.6 | 23.4±0.9 | 17.8±1.1 | 85.4±4.7 | 53.6±1.7 | 23.1±3.2 |
| 漳州汉族Han | 53.1±1.4 | 378.0±60.1 | 53.8±4.5 | 23.3±1.2 | 15.7±1.1 | 88.4±5.1 | 53.3±2.2 | 22.8±3.7 |
| 南宁汉族Han | 53.3±1.6 | 396.2±55.1 | 55.5±3.9 | 23.3±1.1 | 18.9±1.2 | 87.9±5.5 | 52.0±2.1 | 24.4±3.2 |
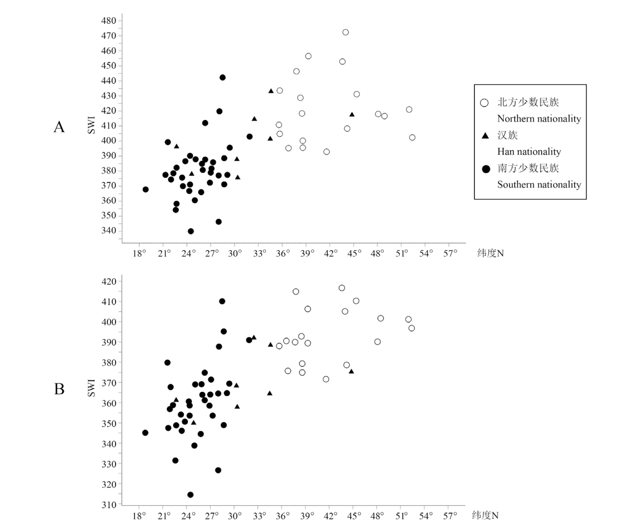
| 族群Ethnic groups | 纬度Latitude/° | 身高坐高 指数SSHI | 身高体质量 指数SWI | 身高胸围 指数SCCI | 身高肩宽指数SSBI | 身高骨盆宽指数SCII | 马氏躯干腿长指数MSI | 身高下肢长指数SMSI | BMI(kg/m2) |
|---|---|---|---|---|---|---|---|---|---|
| 维吾尔族Uighur | 37.8 | 54.4±1.8 | 414.9±80.1 | 60.5±6.6 | 22.9±1.1 | 18.9±1.7 | 84.0±5.9 | 55.0±1.8 | 26.8±5.3 |
| 锡伯族Xibe | 43.6 | 54.0±1.6 | 416.7±66.4 | 59.1±8.7 | 22.6±1.7 | 19.9±1.9 | 85.3±5.5 | 54.5±2.5 | 26.3±4.2 |
| 柯尔克孜族Kirghiz | 38.6 | 53.5±2.0 | 376.9±66.9 | 58.6±6.6 | 23.2±1.3 | 20.1±1.6 | 87.1±7.0 | 57.6±2.3 | 24.3±4.3 |
| 塔吉克族Tajik | 38.6 | 52.9±1.9 | 378.3±71.0 | 58.5±7.2 | 22.8±1.4 | 19.9±1.5 | 89.2±6.9 | 57.1±2.5 | 24.5±4.6 |
| 哈萨克族Kazakh | 45.4 | 53.4±1.7 | 410.3±74.3 | 60.1±6.9 | 21.7±1.7 | 20.6±1.9 | 87.4±5.9 | 56.8±1.9 | 26.1±4.7 |
| 乌孜别克族Uzbek | 44.2 | 54.4±3.6 | 378.6±76.2 | 56.5±6.2 | 21.3±1.1 | 18.2±1.6 | 85.2±5.9 | 54.0±1.1 | 24.3±4.1 |
| 塔塔尔族Tatar | 44.0 | 51.5±1.9 | 405.1±63.2 | 57.2±6.2 | 22.7±1.3 | 19.4±1.7 | 94.3±7.5 | 56.8±3.5 | 25.2±4.0 |
| 回族Hui | 38.5 | 53.7±1.4 | 392.8±64.2 | 57.4±5.0 | 23.6±0.9 | 19.0±1.3 | 86.2±4.9 | 53.1±1.7 | 25.6±4.1 |
| 东乡族Dongxiang | 35.6 | 53.8±1.5 | 388.5±60.8 | 57.5±4.9 | 23.3±0.9 | 18.9±1.2 | 86.1±5.1 | 52.7±2.0 | 25.3±3.8 |
| 土族Tu | 36.8 | 54.0±2.4 | 375.7±53.5 | 55.8±4.2 | 22.1±0.8 | 18.1±0.9 | 85.5±8.0 | 52.8±2.0 | 24.5±3.4 |
| 撒拉族Salar | 35.7 | 53.5±1.7 | 389.9±61.8 | 57.1±4.7 | 22.2±1.1 | 19.1±1.1 | 87.1±6.0 | 52.7±3.9 | 25.6±4.1 |
| 裕固族Yugur | 38.3 | 53.3±1.6 | 389.4±72.3 | 56.8±6.3 | 21.0±1.2 | 18.9±1.6 | 87.9±5.8 | 46.7±1.6 | 24.8±4.7 |
| 保安族Bonan | 35.7 | 53.6±1.4 | 388.0±60.9 | 58.0±4.7 | 23.4±1.0 | 19.2±1.2 | 86.7±4.9 | 53.1±1.9 | 25.2±3.8 |
| 蒙古族Mongol | 39.3 | 54.4±1.3 | 406.3±64.4 | 58.3±5.1 | 22.3±1.0 | 16.8±1.1 | 83.8±4.8 | 54.3±1.5 | 25.8±4.1 |
| 达斡尔族Daur | 48.5 | 55.0±6.5 | 401.7±70.6 | 61.3±6.9 | 23.1±1.3 | 19.8±1.8 | 83.8±16.3 | 55.8±2.7 | 26.0±4.6 |
| 满族Manchu | 41.6 | 53.4±1.0 | 371.6±61.8 | 59.9±5.9 | 22.9±1.3 | 18.2±1.8 | 87.5±6.4 | 55.7±2.6 | 24.0±4.0 |
| 鄂伦春族Oroqin | 52.4 | 55.8±2.1 | 396.8±87.8 | 60.6±6.6 | 22.8±1.6 | 19.2±1.6 | 79.4±6.9 | 53.0±2.9 | 25.8±5.8 |
| 赫哲族Hezhen | 48.1 | 56.2±3.0 | 390.1±76.5 | 59.6±6.6 | 22.7±1.1 | 18.6±1.7 | 78.4±9.7 | 54.5±1.5 | 25.1±4.8 |
| 俄罗斯族Russian | 52.0 | 53.6±3.0 | 404.9±75.8 | 59.3±6.3 | 22.6±1.3 | 18.7±1.5 | 86.8±6.3 | 54.4±2.3 | 26.0±4.9 |
| 彝族Yi | 28.0 | 53.1±3.0 | 364.5±63.5 | 56.7±4.8 | 22.3±1.0 | 17.5±1.2 | 88.4±4.8 | 55.1±1.5 | 23.0±4.0 |
| 卫藏藏族Tibetan | 28.5 | 53.3±1.9 | 410.1±72.2 | 58.8±5.8 | 22.5±1.0 | 19.5±1.1 | 87.9±6.3 | 54.2±1.7 | 26.3±4.6 |
| 康巴藏族Tibetan | 28.1 | 53.0±1.4 | 387.7±60.6 | 58.3±5.0 | 22.2±0.9 | 18.3±1.2 | 88.9±5.0 | 54.8±1.8 | 24.8±3.9 |
| 白族Bai | 26.3 | 53.2±1.7 | 361.2±54.5 | 56.2±4.6 | 22.3±0.9 | 17.8±1.3 | 88.1±7.1 | 55.0±1.7 | 23.5±3.4 |
| 哈尼族Hani | 23.4 | 53.7±1.8 | 346.1±58.8 | 56.4±5.0 | 22.7±1.0 | 18.6±1.1 | 86.3±6.2 | 54.7±1.8 | 23.1±3.7 |
| 傈僳族Lisu | 26.0 | 53.3±1.7 | 363.9±59.3 | 58.2±5.2 | 23.6±1.1 | 19.8±1.4 | 87.8±5.9 | 54.5±1.7 | 24.0±3.9 |
| 拉祜族Lahu | 22.6 | 54.2±1.6 | 331.4±54.5 | 55.9±4.1 | 22.6±1.1 | 17.6±1.3 | 84.8±5.6 | 54.4±1.7 | 22.6±3.5 |
| 纳西族Naxi | 27.1 | 52.7±1.7 | 371.4±63.2 | 59.2±5.9 | 23.6±1.2 | 20.6±1.6 | 89.9±6.3 | 53.7±11.7 | 24.3±4.0 |
| 阿昌族Achang | 24.4 | 52.4±1.8 | 358.6±44.8 | 58.8±5.2 | 23.3±0.9 | 18.9±1.2 | 90.9±6.5 | 53.6±1.9 | 23.8±3.0 |
| 普米族Pumi | 27.3 | 52.5±1.7 | 358.6±54.6 | 56.8±5.0 | 21.8±1.1 | 19.4±1.4 | 90.5±6.3 | 53.9±1.7 | 22.7±3.4 |
| 碧江怒族Nu | 26.9 | 53.8±1.5 | 358.5±56.7 | 58.7±4.1 | 23.4±1.2 | 19.2±1.1 | 85.9±5.0 | 54.2±1.8 | 23.7±3.5 |
| 基诺族Jino | 22.3 | 53.0±1.5 | 358.8±61.8 | 57.6±4.7 | 23.0±1.0 | 18.4±1.3 | 86.9±5.3 | 54.2±1.9 | 24.2±3.9 |
| 门巴族Menba | 28.7 | 53.9±1.5 | 395.2±68.8 | 60.2±5.1 | 22.2±1.1 | 17.7±1.3 | 85.8±5.3 | 53.7±1.5 | 26.1±4.4 |
| 独龙族Drung | 28.0 | 54.0±1.6 | 326.6±45.9 | 57.3±4.0 | 23.2±1.3 | 18.9±1.2 | 85.5±5.4 | 54.2±1.8 | 22.2±3.0 |
| 珞巴族Lhoba | 29.1 | 54.0±1.6 | 364.7±57.8 | 57.7±4.6 | 22.4±1.0 | 17.7±1.3 | 85.3±5.4 | 54.1±1.5 | 24.0±3.6 |
| 土家族Tujia | 29.4 | 54.6±1.4 | 369.4±53.4 | 56.5±4.7 | 22.3±1.2 | 17.6±1.2 | 83.3±1.9 | 54.3±1.6 | 24.4±3.5 |
| 羌族Qiang | 31.9 | 54.0±1.6 | 390.9±56.0 | 59.0±4.9 | 22.9±1.1 | 19.1±1.8 | 85.4±5.4 | 55.2±1.7 | 25.5±3.7 |
| 景颇族Jingpo | 24.3 | 52.8±1.6 | 356.6±57.4 | 58.7±5.6 | 23.0±1.1 | 18.3±1.1 | 89.7±5.8 | 54.5±1.7 | 23.9±3.8 |
| 百色壮族Zhuang | 23.8 | 52.8±1.9 | 354.1±54.2 | 60.2±5.4 | 24.0±1.0 | 19.5±1.3 | 90.1±7.0 | 54.0±1.7 | 23.6±3.6 |
| 南宁壮族Zhuang | 22.7 | 53.3±1.7 | 347.5±53.4 | 56.4±4.6 | 22.4±1.2 | 19.2±1.4 | 87.7±6.0 | 46.7±1.7 | 22.9±3.4 |
| 侗族Dong | 25.9 | 53.5±1.8 | 369.1±54.5 | 58.6±5.0 | 21.8±1.3 | 19.1±1.3 | 87.1±6.2 | 53.9±2.3 | 24.8±3.6 |
| 布依族Bouyei | 25.0 | 52.4±1.6 | 338.8±54.0 | 55.2±5.1 | 21.3±1.3 | 18.6±1.4 | 91.0±6.1 | 54.0±1.9 | 22.9±3.5 |
| 黎族Li | 18.8 | 53.6±1.6 | 345.1±56.3 | 55.3±4.8 | 22.7±0.9 | 18.2±1.0 | 86.9±5.2 | 55.1±1.4 | 22.6±3.6 |
| 傣族Dai | 21.9 | 53.1±1.3 | 356.8±57.3 | 56.7±4.4 | 22.8±1.0 | 18.6±1.2 | 88.4±4.8 | 55.4±1.8 | 23.5±3.6 |
| 仡佬族Gelao | 28.7 | 52.6±2.0 | 348.9±60.5 | 58.5±4.8 | 23.7±0.9 | 19.9±1.2 | 90.2±7.1 | 53.9±2.3 | 23.5±3.8 |
| 水族Shui | 25.8 | 52.9±1.9 | 344.5±58.2 | 58.4±4.9 | 22.6±1.1 | 19.1±1.2 | 89.2±6.8 | 54.7±2.1 | 23.3±3.7 |
| 仫佬族Mulam | 24.5 | 53.7±1.7 | 314.5±36.6 | 52.4±4.3 | 22.2±1.1 | 17.0±1.0 | 86.3±5.6 | 54.1±1.4 | 20.9±3.2 |
| 毛南族Maonan | 25.1 | 53.7±1.8 | 369.0±53.7 | 61.5±5.3 | 23.9±1.0 | 19.5±1.3 | 86.6±6.2 | 53.3±2.0 | 24.7±3.5 |
| 苗族Miao | 26.3 | 53.6±1.5 | 374.8±55.4 | 59.5±5.9 | 23.8±1.0 | 19.6±1.7 | 86.8±5.4 | 52.8±1.6 | 24.6±3.7 |
| 瑶族Yao | 23.8 | 53.4±1.8 | 350.6±54.7 | 54.9±7.6 | 23.1±1.6 | 19.4±1.3 | 87.6±6.4 | 51.5±2.1 | 27.7±8.9 |
| 畲族She | 27.0 | 52.9±2.7 | 364.0±58.0 | 59.1±5.9 | 23.3±1.4 | 17.9±1.9 | 89.5±9.7 | 56.3±2.3 | 23.9±3.7 |
| 佤族Wa | 22.7 | 54.1±1.5 | 348.8±59.5 | 55.7±4.5 | 22.2±0.9 | 16.9±1.0 | 85.0±5.3 | 54.0±1.5 | 23.1±3.8 |
| 布朗族Blang | 22.0 | 53.5±1.6 | 367.7±68.3 | 58.0±4.8 | 23.0±0.9 | 18.8±1.2 | 87.1±5.5 | 54.4±2.0 | 24.8±4.3 |
| 京族Gin | 21.6 | 53.3±1.7 | 379.8±54.7 | 58.4±4.8 | 23.4±0.9 | 19.8±1.2 | 87.7±5.9 | 54.2±2.3 | 25.0±3.6 |
| 德昂族De'ang | 24.4 | 53.1±3.3 | 353.6±56.8 | 57.2±7.1 | 22.2±1.8 | 18.6±2.3 | 90.1±9.4 | 56.0±2.8 | 23.9±3.7 |
| 郑州汉族Han | 34.6 | 53.9±0.7 | 388.4±54.4 | 59.9±1.4 | 21.8±0.6 | 19.0±0.7 | 85.6±2.3 | 54.7±0.4 | 25.2±2.3 |
| 榆树汉族Han | 44.8 | 55.0±1.4 | 377.2±61.8 | 57.2±4.9 | 22.3±1.0 | 17.8±1.5 | 81.8±4.7 | 54.8±1.3 | 24.2±3.9 |
| 渭南汉族Han | 34.5 | 53.9±1.4 | 364.4±53.7 | 58.2±5.3 | 22.3±1.0 | 18.6±1.4 | 85.7±4.9 | 54.3±2.0 | 23.4±3.4 |
| 泰州汉族Han | 32.5 | 54.7±1.5 | 392.0±58.4 | 59.7±5.2 | 22.1±1.5 | 19.5±1.6 | 82.9±4.9 | 52.9±1.7 | 25.1±3.7 |
| 荆州汉族Han | 30.3 | 53.7±1.6 | 368.3±52.3 | 56.7±5.0 | 22.4±0.9 | 18.2±1.3 | 86.3±5.3 | 53.1±1.9 | 23.5±3.3 |
| 简阳汉族Han | 30.4 | 54.6±1.4 | 357.8±56.2 | 57.2±4.8 | 22.6±0.9 | 18.6±1.2 | 83.1±4.7 | 54.5±1.7 | 23.6±3.7 |
| 漳州汉族Han | 24.6 | 53.6±1.5 | 352.9±50.8 | 54.9±4.5 | 22.5±0.9 | 16.6±1.2 | 86.6±5.2 | 55.0±2.2 | 22.8±3.3 |
| 南宁汉族Han | 22.7 | 53.7±1.6 | 361.2±50.3 | 57.5±4.8 | 22.7±1.4 | 19.6±1.4 | 86.5±5.7 | 53.3±1.9 | 23.8±3.3 |
Tab.5 Means of 8 indexes of 62 female ethnic groups in China
| 族群Ethnic groups | 纬度Latitude/° | 身高坐高 指数SSHI | 身高体质量 指数SWI | 身高胸围 指数SCCI | 身高肩宽指数SSBI | 身高骨盆宽指数SCII | 马氏躯干腿长指数MSI | 身高下肢长指数SMSI | BMI(kg/m2) |
|---|---|---|---|---|---|---|---|---|---|
| 维吾尔族Uighur | 37.8 | 54.4±1.8 | 414.9±80.1 | 60.5±6.6 | 22.9±1.1 | 18.9±1.7 | 84.0±5.9 | 55.0±1.8 | 26.8±5.3 |
| 锡伯族Xibe | 43.6 | 54.0±1.6 | 416.7±66.4 | 59.1±8.7 | 22.6±1.7 | 19.9±1.9 | 85.3±5.5 | 54.5±2.5 | 26.3±4.2 |
| 柯尔克孜族Kirghiz | 38.6 | 53.5±2.0 | 376.9±66.9 | 58.6±6.6 | 23.2±1.3 | 20.1±1.6 | 87.1±7.0 | 57.6±2.3 | 24.3±4.3 |
| 塔吉克族Tajik | 38.6 | 52.9±1.9 | 378.3±71.0 | 58.5±7.2 | 22.8±1.4 | 19.9±1.5 | 89.2±6.9 | 57.1±2.5 | 24.5±4.6 |
| 哈萨克族Kazakh | 45.4 | 53.4±1.7 | 410.3±74.3 | 60.1±6.9 | 21.7±1.7 | 20.6±1.9 | 87.4±5.9 | 56.8±1.9 | 26.1±4.7 |
| 乌孜别克族Uzbek | 44.2 | 54.4±3.6 | 378.6±76.2 | 56.5±6.2 | 21.3±1.1 | 18.2±1.6 | 85.2±5.9 | 54.0±1.1 | 24.3±4.1 |
| 塔塔尔族Tatar | 44.0 | 51.5±1.9 | 405.1±63.2 | 57.2±6.2 | 22.7±1.3 | 19.4±1.7 | 94.3±7.5 | 56.8±3.5 | 25.2±4.0 |
| 回族Hui | 38.5 | 53.7±1.4 | 392.8±64.2 | 57.4±5.0 | 23.6±0.9 | 19.0±1.3 | 86.2±4.9 | 53.1±1.7 | 25.6±4.1 |
| 东乡族Dongxiang | 35.6 | 53.8±1.5 | 388.5±60.8 | 57.5±4.9 | 23.3±0.9 | 18.9±1.2 | 86.1±5.1 | 52.7±2.0 | 25.3±3.8 |
| 土族Tu | 36.8 | 54.0±2.4 | 375.7±53.5 | 55.8±4.2 | 22.1±0.8 | 18.1±0.9 | 85.5±8.0 | 52.8±2.0 | 24.5±3.4 |
| 撒拉族Salar | 35.7 | 53.5±1.7 | 389.9±61.8 | 57.1±4.7 | 22.2±1.1 | 19.1±1.1 | 87.1±6.0 | 52.7±3.9 | 25.6±4.1 |
| 裕固族Yugur | 38.3 | 53.3±1.6 | 389.4±72.3 | 56.8±6.3 | 21.0±1.2 | 18.9±1.6 | 87.9±5.8 | 46.7±1.6 | 24.8±4.7 |
| 保安族Bonan | 35.7 | 53.6±1.4 | 388.0±60.9 | 58.0±4.7 | 23.4±1.0 | 19.2±1.2 | 86.7±4.9 | 53.1±1.9 | 25.2±3.8 |
| 蒙古族Mongol | 39.3 | 54.4±1.3 | 406.3±64.4 | 58.3±5.1 | 22.3±1.0 | 16.8±1.1 | 83.8±4.8 | 54.3±1.5 | 25.8±4.1 |
| 达斡尔族Daur | 48.5 | 55.0±6.5 | 401.7±70.6 | 61.3±6.9 | 23.1±1.3 | 19.8±1.8 | 83.8±16.3 | 55.8±2.7 | 26.0±4.6 |
| 满族Manchu | 41.6 | 53.4±1.0 | 371.6±61.8 | 59.9±5.9 | 22.9±1.3 | 18.2±1.8 | 87.5±6.4 | 55.7±2.6 | 24.0±4.0 |
| 鄂伦春族Oroqin | 52.4 | 55.8±2.1 | 396.8±87.8 | 60.6±6.6 | 22.8±1.6 | 19.2±1.6 | 79.4±6.9 | 53.0±2.9 | 25.8±5.8 |
| 赫哲族Hezhen | 48.1 | 56.2±3.0 | 390.1±76.5 | 59.6±6.6 | 22.7±1.1 | 18.6±1.7 | 78.4±9.7 | 54.5±1.5 | 25.1±4.8 |
| 俄罗斯族Russian | 52.0 | 53.6±3.0 | 404.9±75.8 | 59.3±6.3 | 22.6±1.3 | 18.7±1.5 | 86.8±6.3 | 54.4±2.3 | 26.0±4.9 |
| 彝族Yi | 28.0 | 53.1±3.0 | 364.5±63.5 | 56.7±4.8 | 22.3±1.0 | 17.5±1.2 | 88.4±4.8 | 55.1±1.5 | 23.0±4.0 |
| 卫藏藏族Tibetan | 28.5 | 53.3±1.9 | 410.1±72.2 | 58.8±5.8 | 22.5±1.0 | 19.5±1.1 | 87.9±6.3 | 54.2±1.7 | 26.3±4.6 |
| 康巴藏族Tibetan | 28.1 | 53.0±1.4 | 387.7±60.6 | 58.3±5.0 | 22.2±0.9 | 18.3±1.2 | 88.9±5.0 | 54.8±1.8 | 24.8±3.9 |
| 白族Bai | 26.3 | 53.2±1.7 | 361.2±54.5 | 56.2±4.6 | 22.3±0.9 | 17.8±1.3 | 88.1±7.1 | 55.0±1.7 | 23.5±3.4 |
| 哈尼族Hani | 23.4 | 53.7±1.8 | 346.1±58.8 | 56.4±5.0 | 22.7±1.0 | 18.6±1.1 | 86.3±6.2 | 54.7±1.8 | 23.1±3.7 |
| 傈僳族Lisu | 26.0 | 53.3±1.7 | 363.9±59.3 | 58.2±5.2 | 23.6±1.1 | 19.8±1.4 | 87.8±5.9 | 54.5±1.7 | 24.0±3.9 |
| 拉祜族Lahu | 22.6 | 54.2±1.6 | 331.4±54.5 | 55.9±4.1 | 22.6±1.1 | 17.6±1.3 | 84.8±5.6 | 54.4±1.7 | 22.6±3.5 |
| 纳西族Naxi | 27.1 | 52.7±1.7 | 371.4±63.2 | 59.2±5.9 | 23.6±1.2 | 20.6±1.6 | 89.9±6.3 | 53.7±11.7 | 24.3±4.0 |
| 阿昌族Achang | 24.4 | 52.4±1.8 | 358.6±44.8 | 58.8±5.2 | 23.3±0.9 | 18.9±1.2 | 90.9±6.5 | 53.6±1.9 | 23.8±3.0 |
| 普米族Pumi | 27.3 | 52.5±1.7 | 358.6±54.6 | 56.8±5.0 | 21.8±1.1 | 19.4±1.4 | 90.5±6.3 | 53.9±1.7 | 22.7±3.4 |
| 碧江怒族Nu | 26.9 | 53.8±1.5 | 358.5±56.7 | 58.7±4.1 | 23.4±1.2 | 19.2±1.1 | 85.9±5.0 | 54.2±1.8 | 23.7±3.5 |
| 基诺族Jino | 22.3 | 53.0±1.5 | 358.8±61.8 | 57.6±4.7 | 23.0±1.0 | 18.4±1.3 | 86.9±5.3 | 54.2±1.9 | 24.2±3.9 |
| 门巴族Menba | 28.7 | 53.9±1.5 | 395.2±68.8 | 60.2±5.1 | 22.2±1.1 | 17.7±1.3 | 85.8±5.3 | 53.7±1.5 | 26.1±4.4 |
| 独龙族Drung | 28.0 | 54.0±1.6 | 326.6±45.9 | 57.3±4.0 | 23.2±1.3 | 18.9±1.2 | 85.5±5.4 | 54.2±1.8 | 22.2±3.0 |
| 珞巴族Lhoba | 29.1 | 54.0±1.6 | 364.7±57.8 | 57.7±4.6 | 22.4±1.0 | 17.7±1.3 | 85.3±5.4 | 54.1±1.5 | 24.0±3.6 |
| 土家族Tujia | 29.4 | 54.6±1.4 | 369.4±53.4 | 56.5±4.7 | 22.3±1.2 | 17.6±1.2 | 83.3±1.9 | 54.3±1.6 | 24.4±3.5 |
| 羌族Qiang | 31.9 | 54.0±1.6 | 390.9±56.0 | 59.0±4.9 | 22.9±1.1 | 19.1±1.8 | 85.4±5.4 | 55.2±1.7 | 25.5±3.7 |
| 景颇族Jingpo | 24.3 | 52.8±1.6 | 356.6±57.4 | 58.7±5.6 | 23.0±1.1 | 18.3±1.1 | 89.7±5.8 | 54.5±1.7 | 23.9±3.8 |
| 百色壮族Zhuang | 23.8 | 52.8±1.9 | 354.1±54.2 | 60.2±5.4 | 24.0±1.0 | 19.5±1.3 | 90.1±7.0 | 54.0±1.7 | 23.6±3.6 |
| 南宁壮族Zhuang | 22.7 | 53.3±1.7 | 347.5±53.4 | 56.4±4.6 | 22.4±1.2 | 19.2±1.4 | 87.7±6.0 | 46.7±1.7 | 22.9±3.4 |
| 侗族Dong | 25.9 | 53.5±1.8 | 369.1±54.5 | 58.6±5.0 | 21.8±1.3 | 19.1±1.3 | 87.1±6.2 | 53.9±2.3 | 24.8±3.6 |
| 布依族Bouyei | 25.0 | 52.4±1.6 | 338.8±54.0 | 55.2±5.1 | 21.3±1.3 | 18.6±1.4 | 91.0±6.1 | 54.0±1.9 | 22.9±3.5 |
| 黎族Li | 18.8 | 53.6±1.6 | 345.1±56.3 | 55.3±4.8 | 22.7±0.9 | 18.2±1.0 | 86.9±5.2 | 55.1±1.4 | 22.6±3.6 |
| 傣族Dai | 21.9 | 53.1±1.3 | 356.8±57.3 | 56.7±4.4 | 22.8±1.0 | 18.6±1.2 | 88.4±4.8 | 55.4±1.8 | 23.5±3.6 |
| 仡佬族Gelao | 28.7 | 52.6±2.0 | 348.9±60.5 | 58.5±4.8 | 23.7±0.9 | 19.9±1.2 | 90.2±7.1 | 53.9±2.3 | 23.5±3.8 |
| 水族Shui | 25.8 | 52.9±1.9 | 344.5±58.2 | 58.4±4.9 | 22.6±1.1 | 19.1±1.2 | 89.2±6.8 | 54.7±2.1 | 23.3±3.7 |
| 仫佬族Mulam | 24.5 | 53.7±1.7 | 314.5±36.6 | 52.4±4.3 | 22.2±1.1 | 17.0±1.0 | 86.3±5.6 | 54.1±1.4 | 20.9±3.2 |
| 毛南族Maonan | 25.1 | 53.7±1.8 | 369.0±53.7 | 61.5±5.3 | 23.9±1.0 | 19.5±1.3 | 86.6±6.2 | 53.3±2.0 | 24.7±3.5 |
| 苗族Miao | 26.3 | 53.6±1.5 | 374.8±55.4 | 59.5±5.9 | 23.8±1.0 | 19.6±1.7 | 86.8±5.4 | 52.8±1.6 | 24.6±3.7 |
| 瑶族Yao | 23.8 | 53.4±1.8 | 350.6±54.7 | 54.9±7.6 | 23.1±1.6 | 19.4±1.3 | 87.6±6.4 | 51.5±2.1 | 27.7±8.9 |
| 畲族She | 27.0 | 52.9±2.7 | 364.0±58.0 | 59.1±5.9 | 23.3±1.4 | 17.9±1.9 | 89.5±9.7 | 56.3±2.3 | 23.9±3.7 |
| 佤族Wa | 22.7 | 54.1±1.5 | 348.8±59.5 | 55.7±4.5 | 22.2±0.9 | 16.9±1.0 | 85.0±5.3 | 54.0±1.5 | 23.1±3.8 |
| 布朗族Blang | 22.0 | 53.5±1.6 | 367.7±68.3 | 58.0±4.8 | 23.0±0.9 | 18.8±1.2 | 87.1±5.5 | 54.4±2.0 | 24.8±4.3 |
| 京族Gin | 21.6 | 53.3±1.7 | 379.8±54.7 | 58.4±4.8 | 23.4±0.9 | 19.8±1.2 | 87.7±5.9 | 54.2±2.3 | 25.0±3.6 |
| 德昂族De'ang | 24.4 | 53.1±3.3 | 353.6±56.8 | 57.2±7.1 | 22.2±1.8 | 18.6±2.3 | 90.1±9.4 | 56.0±2.8 | 23.9±3.7 |
| 郑州汉族Han | 34.6 | 53.9±0.7 | 388.4±54.4 | 59.9±1.4 | 21.8±0.6 | 19.0±0.7 | 85.6±2.3 | 54.7±0.4 | 25.2±2.3 |
| 榆树汉族Han | 44.8 | 55.0±1.4 | 377.2±61.8 | 57.2±4.9 | 22.3±1.0 | 17.8±1.5 | 81.8±4.7 | 54.8±1.3 | 24.2±3.9 |
| 渭南汉族Han | 34.5 | 53.9±1.4 | 364.4±53.7 | 58.2±5.3 | 22.3±1.0 | 18.6±1.4 | 85.7±4.9 | 54.3±2.0 | 23.4±3.4 |
| 泰州汉族Han | 32.5 | 54.7±1.5 | 392.0±58.4 | 59.7±5.2 | 22.1±1.5 | 19.5±1.6 | 82.9±4.9 | 52.9±1.7 | 25.1±3.7 |
| 荆州汉族Han | 30.3 | 53.7±1.6 | 368.3±52.3 | 56.7±5.0 | 22.4±0.9 | 18.2±1.3 | 86.3±5.3 | 53.1±1.9 | 23.5±3.3 |
| 简阳汉族Han | 30.4 | 54.6±1.4 | 357.8±56.2 | 57.2±4.8 | 22.6±0.9 | 18.6±1.2 | 83.1±4.7 | 54.5±1.7 | 23.6±3.7 |
| 漳州汉族Han | 24.6 | 53.6±1.5 | 352.9±50.8 | 54.9±4.5 | 22.5±0.9 | 16.6±1.2 | 86.6±5.2 | 55.0±2.2 | 22.8±3.3 |
| 南宁汉族Han | 22.7 | 53.7±1.6 | 361.2±50.3 | 57.5±4.8 | 22.7±1.4 | 19.6±1.4 | 86.5±5.7 | 53.3±1.9 | 23.8±3.3 |
| [1] | 张振标. 现代中国人体质特征及其类型的分析[J]. 人类学学报, 1988, 7(4): 314-323 |
| [2] | 刘武, 杨茂有, 王野城. 现代中国人颅骨测量特征及其地区性差异的初步研究[J]. 人类学学报, 1991, 10(2): 96-105 |
| [3] | 杜若甫. 中国人群体遗传学[M]. 北京: 科学出版社, 2004 |
| [4] |
杜抱朴, 杜靖. 从头面部测量性状分析中国现代人群体质类型及其成因[J]. 解剖学报, 2019, 50(6): 805-815
doi: 10.16098/j.issn.0529-1356.2019.06.019 |
| [5] | 宇克莉, 李咏兰, 张兴华, 等. 维吾尔族体质类型:来自喀什的资料[J]. 中国科学:生命科学, 2020, 50(9): 983-995 |
| [6] | 郑连斌, 崔静, 陆舜华, 等. 乌孜别克族体质特征研究[J]. 人类学学报, 2004, 23(1): 35-45 |
| [7] | 陆舜华, 郑连斌, 索利娅, 等. 俄罗斯族体质特征分析[J]. 人类学学报, 2005, 24(4): 291-300 |
| [8] | 郑连斌, 陆舜华, 丁博. 仫佬族体质特征研究[J]. 人类学学报, 2006, 25(3): 242-250 |
| [9] | 李咏兰, 郑连斌. 中国蒙古族体质人类学研究[M]. 北京: 科学出版社, 2018 |
| [10] | 郑连斌, 李咏兰, 席焕久. 中国汉族体质人类学研究[M]. 北京: 科学出版社, 2017 |
| [11] | 席焕久, 陈昭. 人体测量方法[M]. 北京: 科学出版社, 2010 |
| [12] | 石硕. 从新石器时代文化看黄河上游地区人群向藏彝走廊的迁徙[J]. 西南民族大学学报:人文社会科学版, 2008, 29(10): 1-7 |
| [13] | 曾现江. 论影响藏彝走廊地区纳系族群历史分化演进的蒙古族因素[J]. 四川民族学院学报, 2011, 20(6): 24-28 |
| [14] | 黎彦才, 胡兴宇, 汪澜. 中国33个少数民族(部族)体质特征的比较研究[J]. 人类学学报, 1993, 12(1): 49-54 |
| [15] | 李晶, 李珊, 宇克莉, 等. 羌族的体质特征[J]. 解剖学杂志, 2018, 41(4): 440-445, 486 |
| [16] | 张兴华, 宇克莉, 杨亚军, 等. 中国白马人的体质特征[J]. 人类学学报, 2020, 39(1): 143-151 |
| [17] | 王子善, 张兴华, 宇克莉, 等. 中国木雅人与尔苏人的体质特征[J]. 解剖学杂志, 2017, 40(5): 562-573 |
| [18] | Zhang G, Cui C, Wangdue S, et al. Maternal genetic history of ancient Tibetans over the past 4,000 years[J]. Journal of Genetics and Genomics. 2023, Mar 16: S1673-8527(23)00071-1 |
| [19] | 李咏兰, 宇克莉, 张兴华, 等. 藏族的体质类型和人种学特征[J]. 人类学学报, 2022, 41(4): 698-711 |
| [20] | 包金萍, 宇克莉, 李咏兰, 等. 卫藏藏族与康巴藏族的 Heath-Carter 法体型[J]. 人类学学报, 2021, 40(5): 834-846 |
| [21] |
Melinda A, Xuechun F, Bo S, et al. Ancient DNA indicates human population shifts and admixture in northern and southern China[J]. Science, 2020, 369(6501): 282-288
doi: 10.1126/science.aba0909 pmid: 32409524 |
| [22] | 陈德珍. 中国新石器时代居民体质类型及其承继关系[J]. 人类学学报, 1986, 5(2): 114-127 |
| [23] | 谭婧泽, 徐智, 金建中, 等. 中国新石器时代古代居民体质研究[C]. 中国古生物学会古脊椎动物学会学术年会暨第四纪科学研究会古人类-旧石器专业委员会成立大会, 北京: 海洋出版社, 2006 |
| [24] | 李惟怡, 张兵, 王惠君, 等. 1989-2015年中国15个省(自治区,直辖市)18-35岁成年人膳食维生素摄入现状及其变化趋势[J]. 卫生研究, 2021, 50(3): 448-453 |
| [25] | 郝丽鑫, 王柳森, 王邵顺子, 等. 2018年我国15个省份18-64岁成年人膳食镁摄入现状及其主要食物来源[J]. 环境与职业医学, 2022, 39(9): 962-967 |
| [26] | 焦莹莹, 姜红如, 李惟怡, 等. 2018年中国15个省(自治区,直辖市)18-64岁成年居民差异化地域膳食模式特征[J]. 卫生研究, 2023, 25(1): 11-19 |
| [27] | Zhang M, Fu Q. Human evolutionary history in Eastern Eurasia using insights from ancient DNA[J]. Current Opinion in Genetics & Development, 2020, 62: 78-84 |
| [1] | MA Fuwei, WEI Jingfu, HUANG Xiufeng, WANG Changli, YE Guangbin, ZHOU Min, BIN Xiaoyun. Current physical status and related influencing factors of Zhuang and Han college students in Guangxi [J]. Acta Anthropologica Sinica, 2024, 43(04): 638-647. |
| [2] | YU Keli, ZHENG Lianbin, LI Yonglan, XI Huanjiu, ZHANG Xinghua, WEN Youfeng. Geographical distributions of body mass index in Chinese Han [J]. Acta Anthropologica Sinica, 2018, 37(04): 653-663. |
| [3] | LIU Xiangjun, ZHANG Xinghua, XI Huanjiu, LI Yonglan, LU Shunhua, BAO Jinping, ZHENG Lianbin. Geographical distribution of stature and body mass of rural Chinese Han adults [J]. Acta Anthropologica Sinica, 2018, 37(03): 484-495. |
| [4] | LI Yonglan, ZHENG Lianbin. Research on lean and fat masses of the urban Han adults [J]. Acta Anthropologica Sinica, 2018, 37(01): 121-130. |
| [5] | YU Keli, ZHANG Xinghua, LI Yonglan, XI Huanjiu, ZHENG Lianbin. Geographical distributions of fat and lean mass indices in rural Chinese Han [J]. Acta Anthropologica Sinica, 2017, 36(03): 388-394. |
| [6] | ZHANG Qun, ZHANG Quanchao, SUN Zhichao, GUO Lin, LI Qiang, ZHU Hong. A research on the body mass of ancient human in Warring States Period from the Tuchengzi cemetery, Inner Mongolia [J]. Acta Anthropologica Sinica, 2016, 35(04): 572-584. |
| [7] | LIU Wu; WU Xiu-jie; XING Song; Victoria GIBBON; Ronald CLARKE. Morphological evidence of the formation and diversification of modern Chinese: analysis of cranial non-metric traits in Chinese, African and European populations [J]. Acta Anthropologica Sinica, 2011, 30(03): 250-264. |
| [8] | FAN Yan-na; WANG Yu; DU Dan; ZHANG Ge-xiang; ZHANG Yin-hong. Analysis of physical development in Yugu nationality children between the ages of 4 and 13 years [J]. Acta Anthropologica Sinica, 2011, 30(02): 227-232. |
| [9] | Lin Wansheng, Hou Qichun, Wu Nanping, Li Jingjuan, Wang Liyun. Longitudinal study on child height growth [J]. Acta Anthropologica Sinica, 2000, 19(02): 97-107. |
| [10] | Zhang Yingxiu. The trend of difference between urban and rural area about height growth in Chinese Han nationality children [J]. Acta Anthropologica Sinica, 1999, 18(04): 307-310. |
| [11] | Ouyang Zhen, Tang Xilin. Changes of height and trunk ratio of urban and rural Chinese children in 6 years(1979 to 1985) [J]. Acta Anthropologica Sinica, 1992, 11(02): 165-170. |
| [12] | Du Qingtai, Shen Heqin, Li Songqi, Zheng Yanhong, Li hongqu. Measurement and observation of human umbilicus in vivo [J]. Acta Anthropologica Sinica, 1992, 11(01): 101-103. |
| [13] | Wu Rukang. Paleoanthropology in the United States is in trouble [J]. Acta Anthropologica Sinica, 1990, 9(03): 273-275. |
| [14] | Li Ren, Liu Shuyuan. A preliminary study on the physical development of teenagers in Western Hubei [J]. Acta Anthropologica Sinica, 1990, 9(01): 93-96. |
| [15] | Jia Mian, Wang Naizhe, Liu Bingshu, Zhang Fengming, Yan Zheng, Zhu Jiangang, Pu Siqing, Yang Zhenduo. The length of the second metacarpal bone and the body height [J]. Acta Anthropologica Sinica, 1989, 8(03): 240-244. |
| Viewed | ||||||
|
Full text |
|
|||||
|
Abstract |
|
|||||