Acta Anthropologica Sinica ›› 2025, Vol. 44 ›› Issue (02): 255-269.doi: 10.16359/j.1000-3193/AAS.2024.0098
• Research Articles • Previous Articles Next Articles
WANG Ying1,2(
), ZHANG Yue3, YANG Shixia1,2, ZHANG Shuangquan1,2(
)
Received:2024-02-06
Accepted:2024-04-19
Online:2025-04-15
Published:2025-04-15
CLC Number:
WANG Ying, ZHANG Yue, YANG Shixia, ZHANG Shuangquan. Taphonomy of the animal remains from the Shiyu site, Shanxi[J]. Acta Anthropologica Sinica, 2025, 44(02): 255-269.
Add to citation manager EndNote|Ris|BibTeX
URL: https://www.anthropol.ac.cn/EN/10.16359/j.1000-3193/AAS.2024.0098
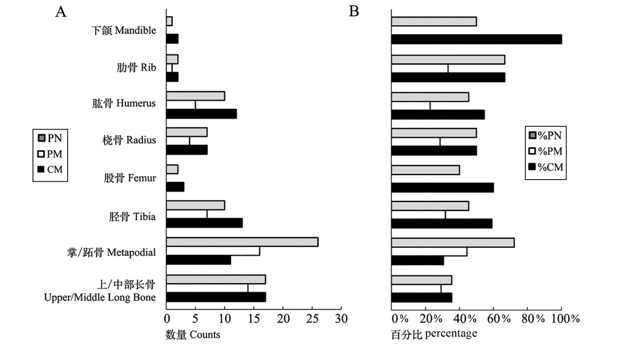
| 骨骼部位 Element | 鹿Cervus sp. | 马Equus sp. | 牛Bos sp. | 总数Total |
|---|---|---|---|---|
| 下颌骨Mandible | 2 | 2 | ||
| 肋骨Rib | 1 | 2 | 3 | |
| 肱骨Humerus | 1 | 19 | 2 | 22 |
| 桡骨Radius | 2 | 11 | 1 | 14 |
| 股骨Femur | 2 | 2 | 1 | 5 |
| 胫骨Tibia | 4 | 18 | 22 | |
| 掌/跖骨Metapodial | 7 | 27 | 2 | 36 |
| 上中部长骨Upper/Middle long bone | 4 | 39 | 5 | 48 |
| 总数Total | 20 | 119 | 13 | 152 |
Tab.1 Counts of animal species and elements from the Shiyu site (n)
| 骨骼部位 Element | 鹿Cervus sp. | 马Equus sp. | 牛Bos sp. | 总数Total |
|---|---|---|---|---|
| 下颌骨Mandible | 2 | 2 | ||
| 肋骨Rib | 1 | 2 | 3 | |
| 肱骨Humerus | 1 | 19 | 2 | 22 |
| 桡骨Radius | 2 | 11 | 1 | 14 |
| 股骨Femur | 2 | 2 | 1 | 5 |
| 胫骨Tibia | 4 | 18 | 22 | |
| 掌/跖骨Metapodial | 7 | 27 | 2 | 36 |
| 上中部长骨Upper/Middle long bone | 4 | 39 | 5 | 48 |
| 总数Total | 20 | 119 | 13 | 152 |
| [1] | 贾兰坡, 盖培, 尤玉桂. 山西峙峪旧石器时代遗址发掘报告[J]. 考古学报, 1972, 1: 39-58 |
| [2] | Yang S, Zhang J, Yue J, et al. Initial Upper Palaeolithic material culture by 45,000 years ago at Shiyu in northern China[J]. Nature Ecology & Evolution, 2024, 8(3): 552-563 |
| [3] | 尤玉柱, 李壮伟. 关于峙峪遗址若干问题的讨论[J]. 考古与文物, 1982, 5: 44-47 |
| [4] | 张俊山. 峙峪遗址碎骨的研究[J]. 人类学学报, 1991, 10(4): 13 |
| [5] | Bunn HT. Meat-eating and human evolution: studies on the diet and subsistence patterns of Plio-Pleistocene hominids in East Africa[D]. Ph.D Dissertation. California: University of California, 1982 |
| [6] | Behrensmeyer AK. Taphonomic and ecologic information from bone weathering[J]. Paleobiology, 1978, 4 (2): 150-162 |
| [7] | Fernandez-Jalvo Y, Andrews P. Atlas of Taphonomic Identifications: 1001+ Images of Fossil and Recent Mammal Bone Modification[M]. Dordrecht: Springer Netherlands, 2016 |
| [8] | Haynes G. A guide for differentiating mammalian carnivore taxa responsible for gnaw damage to herbivore limb bones[J]. Paleobiology, 1983, 164-172 |
| [9] | Binford LR. Bones: Ancient Men and Modern Myths[M]. New York: Academic press, 1981 |
| [10] | Potts R, Shipman P. Cutmarks made by stone tools on bones from Olduvai Gorge, Tanzania[J]. Nature, 1981, 291(5816): 577-580 |
| [11] | Bunn HT. Archaeological evidence for meat-eating by Plio-Pleistocene hominids from Koobi Fora and Olduvai Gorge[J]. Nature, 1981, 291(5816): 574-577 |
| [12] | Fisher JW. Bone surface modifications in zooarchaeology[J]. Journal of Archaeological Method and Theory, 1995, 2(1):7-68 |
| [13] | Blumenschine RJ, Selvaggio MM. Percussion marks on bone surfaces as a new diagnostic of hominid behaviour[J]. Nature, 1988, 333 (6175): 763-765 |
| [14] | Pickering TR, Egeland CP. Experimental patterns of hammerstone percussion damage on bones: implications for inferences of carcass processing by humans[J]. Journal of Archaeological Science, 2006, 33(4): 459-469 |
| [15] | Galán AB, Rodríguez M, De Juana S, et al. A new experimental study on percussion marks and notches and their bearing on the interpretation of hammerstone-broken faunal assemblages[J]. Journal of Archaeological Science, 2009, 36(3): 776-784 |
| [16] | Capaldo SD, Blumenschine RJ. A quantitative diagnosis of notches made by hammerstone percussion and carnivore gnawing in bovid long bones[J]. American Antiquity, 1994, 59(4): 724-748 |
| [17] | Johnson E. Current developments in bone technology[A]. In: Schiffer MB(eds). Advances in Archaeological Method and Theory[C]. New York and London: Academic Press, 1985, 157-235 |
| [18] | Villa P, Mahieu E. Breakage patterns of human long bones[J]. Journal Of Human Evolution, 1991, 21(1): 27-48 |
| [19] | Bunn HT. Comparative analysis of modern bone assemblages from a San hunter-gatherer camp in the Kalahari Desert, Botsuwana, and from a spotted hyena den near Nairobi, Kenya[A]. In: Clutton-Brock J and Grigson C(eds). Animal and Archaeology: 1. Hunters and Their Prey. BAR International Series. Oxford, 1983: 141-148 |
| [20] | Doyon L, Li Z, Wang H, et al. A 115,000-year-old expedient bone technology at Lingjing, Henan, China[J]. PLOS ONE, 2021, 16 (5): e0250156 |
| [21] | Yravedra J, Domínguez-Rodrigo M. The shaft-based methodological approach to the quantification of long limb bones and its relevance to understanding hominid subsistence in the Pleistocene: application to four Palaeolithic sites[J]. Journal of Quaternary Science: Published for the Quaternary Research Association, 2009, 24(1): 85-96 |
| [22] | Lyman RL. Vertebrate Taphonomy[M]. Cambridge: Cambridge University Press, 1994: 1-552 |
| [23] | Bunn HT, Kroll EM, Ambrose SH, et al. Systematic Butchery by Plio/Pleistocene Hominids at Olduvai Gorge, Tanzania [and Comments and Reply[J]. Current Anthropology, 1986, 27(5):431-452 |
| [24] | Pedergnana A, Ollé A. Building an experimental comparative reference collection for lithic micro-residue analysis based on a multi-analytical approach[J]. Journal of Archaeological Method and Theory, 2018, 25:117-154 |
| [25] | d’Errico F, Cacho C. Notation versus decoration in the Upper Palaeolithic: a case-study from Tossal de la Roca, Alicante, Spain[J]. Journal of Archaeological Science, 1994, 21(2): 185-200 |
| [26] |
Bromage TG, Boyde A. Microscopic criteria for the determination of directionality of cutmarks on bone[J]. American Journal of Physical Anthropology, 1984, 65(4): 359-366
pmid: 6524617 |
| [27] | d’Errico F, Lázničková-Galetová M, Caldwell D. Identification of a possible engraved Venus from Předmostí, Czech Republic[J]. Journal of Archaeological Science, 2011, 38(3): 672-683 |
| [28] | Li Z, Doyon L, Li H, et al. Engravings on bone from the archaic hominin site of Lingjing (Xuchang, Henan, China)[J]. Antiquity, 2019, 93(370): 886-900 |
| [29] | Chase PG. Tool-making tools and Middle Paleolithic behavior[J]. Current Anthropology, 1990, 31(4): 443-447 |
| [30] | Dominguez-Rodrigo M, Barba R. New estimates of tooth mark and percussion mark frequencies at the FLK Zinj site: the carnivore-hominid-carnivore hypothesis falsified[J]. Journal Of Human Evolution, 2006, 50(2): 170-194 |
| [31] | Blumenschine RJ. Percussion marks, tooth marks, and experimental determinations of the timing of hominid and carnivore access to long bones at FLK Zinjanthropus, Olduvai Gorge, Tanzania[J]. Journal of Human Evolution, 1995, 29(1): 21-51 |
| [32] | Lupo KD. Hadza Bone Assemblages and Hyena Attrition: an Ethnographic Example of the Influence of Cooking and Mode of Discard on the Intensity of Scavenger Ravaging[J]. Journal of Anthropological Archaeology, 1995, 14(3): 288-314 |
| [33] | Blasco R, Domínguez-Rodrigo M, Arilla M, et al. Breaking Bones to Obtain Marrow: a Comparative Study between Percussion by Batting Bone on an Anvil and Hammerstone Percussion[J]. Archaeometry, 2014, 56(6): 1085-1104 |
| [34] | Lupo KD, O’Connell JF. Cut and Tooth Mark Distributions on Large Animal Bones: Ethnoarchaeological Data from the Hadza and their Implications for Current Ideas about Early Human Carnivory[J]. Journal of Archaeological Science, 2002, 29(1): 85-109 |
| [35] | Domínguez-Rodrigo M. Testing Meat-eating in Early Hominids: an analysis of Butchery Marks on Defleshed Carcases[J]. Human Evolution, 1997, 12(3): 169-182 |
| [36] | Lam YM, Chen X, Pearson OM. Intertaxonomic Variability in Patterns of Bone Density and the Differential Representation of Bovid, Cervid, and Equid Elements in the Archaeological Record[J]. American Antiquity, 1999, 64(2): 343-362 |
| [37] | Munro ND, Bar-Oz G. Gazelle bone fat processing in the Levantine Epipalaeolithic[J]. Journal of Archaeological Science, 2005, 32(2): 223-239 |
| [38] | 戴静雯, 张双权, 张乐. 史前人类对动物骨骼油脂的开发和利用[J]. 人类学学报, 2021, 40(3): 503-512 |
| [39] | Lupo KD, Schmitt DN. Experiments in Bone Boiling Nutritional Returns and Archaeological Reflections[J]. Anthropozoologica, 1997, 25(26): 137-144 |
| [40] | Binford LR. Nunamiut Ethnoarchaeology[M]. New York: Academic Press, 1978: 1-509 |
| [41] | Bond G, Broecker W, Johnsen S, et al. Correlations between climate records from North Atlantic sediments and Greenland ice[J]. Nature, 1993, 365 (6442): 143-147 |
| [42] | 卫蕾华, 蒋汉朝, 何宏林, 等. 末次冰期山西洪洞高分辨率粒度和磁化率记录的H5事件及其气候演化意义[J]. 海洋地质与第四纪地质, 2018, 38(4): 10 |
| [43] | Porter SC, Zhisheng A. Correlation between climate events in the North Atlantic and China during the last glaciation[J]. Nature, 1995, 375(6529): 305-308 |
| [44] |
田庆春, 尹佳男, 郝晓龙. 临汾盆地黄土沉积记录的MIS 3气候变化[J]. 干旱区研究, 2022, 39(1): 10-20
doi: 10.13866/j.azr.2022.01.02 |
| [45] | McBrearty S, Brooks AS. The revolution that wasn’t: a new interpretation of the origin of modern human behavior[J]. Journal of Human Evolution, 2000, 39(5): 453-563 |
| [46] | Backwell LR, d’Errico F. Evidence of termite foraging by Swartkrans early hominids[J]. Proceedings of the National Academy of Sciences, 2001, 98(4): 1358-1363 |
| [47] | Klein RG. The Human Career: Human Biological and Cultural Origins[M]. University of Chicago Press, 2009 |
| [48] | Backwell L, d’Errico F. The first use of Bone Tools: a Reappraisal of the Evidence from Olduvai Gorge, Tanzania[J]. Palaeontologia Africana, 2005 |
| [49] | Pante M, Torre IDL, d’Errico F, et al. Bone tools from Beds II-IV, Olduvai Gorge, Tanzania, and implications for the origins and evolution of bone technology[J]. Journal of Human Evolution, 2020, 148: 102885 |
| [50] |
Rosell J, Blasco R, Campeny G, et al. Bone as a technological raw material at the Gran Dolina site (Sierra de Atapuerca, Burgos, Spain)[J]. Journal of Human Evolution, 2011, 61(1): 125-131
doi: 10.1016/j.jhevol.2011.02.001 pmid: 21420719 |
| [51] | Smith GM. Taphonomic resolution and hominin subsistence behaviour in the Lower Palaeolithic: differing data scales and interpretive frameworks at Boxgrove and Swanscombe (UK)[J]. Journal of Archaeological Science, 2013, 40(10): 3754-3767 |
| [52] | Moigne A-M, Valensi P, Auguste P, et al. Bone retouchers from Lower Palaeolithic sites: Terra Amata, Orgnac 3, Cagny-l’Epinette and Cueva del Angel[J]. Quaternary International, 2016, 409: 195-212 |
| [53] | Daujeard C, Valensi P, Fiore I, et al. A reappraisal of Lower to Middle Palaeolithic bone retouchers from south-eastern France(MIS 11 to 3)[A]. In: Hutson JM, García-Moreno A, Noack ES, et al(eds). The Origins of Bone Tool Technologies: Mainz: Römisch Germanisches ZentralMuseum, 2018: 93-132 |
| [54] | Bonhof WJ, van Kolfschoten T. The metapodial hammers from the Lower Palaeolithic site of Schöningen 13 II-4 (Germany): the results of experimental research[J]. Journal of Archaeological Science: Reports, 2021, 35: 102685 |
| [55] | Daujeard C, Moncel MH, Fiore I, et al. Middle Paleolithic bone retouchers in Southeastern France: Variability and Functionality[J]. Quaternary International, 2014, 326: 492-518 |
| [56] | Hutson JM, García-Moreno A, Noack ES, et al. The Origins of Bone Tool Technologies[C]. Mainz: Römisch Germanisches Zentral Museum, 2018: 317-326 |
| [57] | Doyon L, Li Z, Li H, et al. Discovery of circa 115,000-year-old bone retouchers at Lingjing, Henan, China[J]. PLOS ONE, 2018, 13(3): e0194318 |
| [58] | Ma S, Doyon L. Animals for Tools: The Origin and Development of Bone Technologies in China[J]. Frontiers in Earth Science, 2021, 9: 784313 |
| [59] | d’Errico F, Stringer CB. Evolution, Revolution or Saltation Scenario for the Emergence of Modern Cultures?[J]. Philosophical Transactions of the Royal Society B: Biological Sciences, 2011, 366(1567): 1060-1069 |
| [60] | Sirakov N, Guadelli JL, Ivanova S, et al. An ancient continuous human presence in the Balkans and the beginnings of human settlement in western Eurasia: A Lower Pleistocene example of the Lower Palaeolithic levels in Kozarnika cave (North-western Bulgaria)[J]. Quaternary International, 2010, (223-224): 94-106 |
| [61] | Joordens JCA, d’Errico F, Wesselingh FP, et al. Homo erectus at Trinil on Java used shells for tool production and engraving[J]. Nature, 2015, 518 (7538): 228-231 |
| [62] | 彭菲, 裴树文, 高星, 等. 水洞沟旧石器时代晚期遗址发现带有刻划痕迹的石制品[J]. 科学通报, 2012, 57(26): 2475-2481 |
| [63] | 高星, JW Olsen, 黄万波, 等. 三峡兴隆洞出土12-15万年前的古人类化石和象牙刻划[J]. 科学通报, 2003, 48(23): 2466-2472 |
| [64] | Pei WC. A Preliminary Report on the Late-Palæolithic Cave of Choukoutien1[J]. Bulletin of the Geological Society of China, 1934, 13(1): 327-358 |
| [65] | 尤玉柱. 峙峪遗址刻划符号初探[J]. 科学通报, 1982, 27(16): 1008-1010 |
| [66] | 阎家祺, 魏京武. 峙峪遗址“刻划符号”质疑[J]. 史前研究, 1987, 1: 19-20 |
| [1] | CAO Yuxin, SUN Lu, ZHANG Yue, ZHANG Shuangquan. An experimental study of human tooth marks on bones [J]. Acta Anthropologica Sinica, 2025, 44(02): 242-254. |
| [2] | ZHI Yuan, DU Shuisheng, LIU Jiying. Exploitation of animal resource by humans during the Middle Stone Age in South Africa [J]. Acta Anthropologica Sinica, 2025, 44(02): 352-364. |
| [3] | CAI Xinyi, DU Shuisheng. Core flaking technology of the Shuijingbei locality of Xiachuan site in Shanxi [J]. Acta Anthropologica Sinica, 2025, 44(01): 14-26. |
| [4] | LI Hao, XIAO Peiyuan, PENG Peiming, WANG Yuqing, CHEN Qingyi, Ikram QAYUM, JIA Zhenxiu, RUAN Qijun, CHEN Fahu. Paleolithic culture and human interactions on the Southwest Silk Road [J]. Acta Anthropologica Sinica, 2024, 43(06): 979-992. |
| [5] | Evgeny P RYBIN, Arina M KHATSENOVICH. Selenga River human dispersal path in Initial Upper Paleolithic [J]. Acta Anthropologica Sinica, 2024, 43(05): 780-796. |
| [6] | CHENG Nan, XIA Wenting, YANG Qing, JI Xueping, ZI Xing, FAN Bin, ZOU Zining, YU Tong, ZHANG Yu, SHI Lin, ZHANG Wuqi, ZHENG Hongbo. Stone artifacts, age and environment of the Sanhe Cave locality in Weishan, Yunnan [J]. Acta Anthropologica Sinica, 2024, 43(03): 392-404. |
| [7] | Hiroyuki SATO, Kazuki MORISAKI. On the beginning of the Japanese Upper Paleolithic: A review of recent archaeological and anthropological evidence [J]. Acta Anthropologica Sinica, 2024, 43(03): 470-487. |
| [8] | ZHOU Shihang, HE Xiangdong, XU Jingyue, LI Xiaoli, NIU Dongwei. 2017 Excavation of the Donggou Paleolithic site in the Yuxian Basin [J]. Acta Anthropologica Sinica, 2024, 43(01): 132-142. |
| [9] | ZHOU Zhenyu, WANG Fagang, GUAN Ying. Stone artifacts unearthed in 1985 and 1986 from the Xibaimaying site of the Nihewan Basin, Hebei Province [J]. Acta Anthropologica Sinica, 2024, 43(01): 55-66. |
| [10] | TONG Guang, LI Feng, ZHAO Hailong, YAN Xiaomeng, GAO Xing. Heat treatment experiments on the volcanic breccia materials from the Nihewan Basin [J]. Acta Anthropologica Sinica, 2024, 43(01): 81-90. |
| [11] | WANG Xiaomin, LIU Lianqiang, CHEN Guopeng, LI Feng, XIE Fei, GAO Xing. Behavior of the ancient humans as reflected by the broken long bones of mammals from the Majuangou site, Nihewan Basin [J]. Acta Anthropologica Sinica, 2024, 43(01): 91-105. |
| [12] | KATO Shinji. Upper Paleolithic human dispersals and cultural diffusions in Eastern Eurasia [J]. Acta Anthropologica Sinica, 2023, 42(06): 842-856. |
| [13] | Omry BARZILAI. The origins and destinations of the Levantine Initial Upper Paleolithic: A view from the Negev Desert, Israel [J]. Acta Anthropologica Sinica, 2023, 42(05): 626-637. |
| [14] | YI Mingjie, YU Guanyue, CHEN Fuyou, ZHANG Xiaoling. Stone artifacts unearthed from the Baixigou site in the Nihewan Basin [J]. Acta Anthropologica Sinica, 2023, 42(05): 590-603. |
| [15] | DU Shuisheng, ZHANG Ting, REN Haiyun. 2014 excavation report of the Fuyihegeliang Locality Pit 3 of Xiachuan site, Shanxi [J]. Acta Anthropologica Sinica, 2023, 42(05): 638-650. |
| Viewed | ||||||
|
Full text |
|
|||||
|
Abstract |
|
|||||