Acta Anthropologica Sinica ›› 2020, Vol. 39 ›› Issue (04): 532-554.doi: 10.16359/j.cnki.cn11-1963/q.2020.0061
Previous Articles Next Articles
ZHANG Yingqi1,2,3(
), Terry HARRISON4, JI Xueping5,6
Received:2020-06-03
Revised:2020-09-10
Online:2020-11-15
Published:2020-11-23
CLC Number:
ZHANG Yingqi, Terry HARRISON, JI Xueping. Inferring the locomotor behavior of fossil hominoids from phalangeal curvature using a novel method: Lufengpithecus as a case study[J]. Acta Anthropologica Sinica, 2020, 39(04): 532-554.
Add to citation manager EndNote|Ris|BibTeX
URL: https://www.anthropol.ac.cn/EN/10.16359/j.cnki.cn11-1963/q.2020.0061
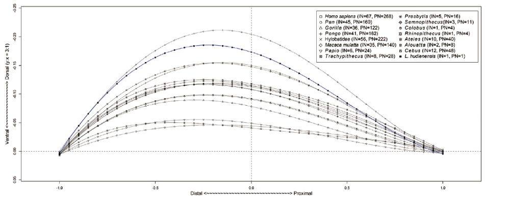
| individual | manual phalanges | pedal phalanges | locomotion* | arboreality vs. terrestriality* | ||||||
|---|---|---|---|---|---|---|---|---|---|---|
| pollical proximal | ray II-V proximal | ray II-V intermediate | hallucal proximal | ray II-V proximal | ray II-V intermediate | |||||
| Hylobatidae | 56 | 53 | 222 | 213 | 49 | 192 | 170 | suspension, brachiation, climbing | arboreal | |
| Pongo spp. | 41 | 41 | 162 | 162 | 38 | 157 | 158 | suspension, climbing | arboreal | |
| Gorilla spp. | 36 | 28 | 122 | 118 | 28 | 115 | 103 | knuckle-walking | terrestriality > arboreality | |
| Pan spp. | 45 | 40 | 160 | 156 | 41 | 170 | 157 | knuckle-walking, suspension, climbing | terrestriality ≈ arboreality | |
| Homo sapiens | 67 | 67 | 268 | 268 | 67 | 267 | 223 | bipedalism | terrestrial | |
| Papio spp. | 6 | 6 | 24 | 24 | 6 | 24 | 19 | quadrupedalism | terrestrial | |
| Macaca mulatta | 35 | 35 | 140 | 140 | 35 | 140 | 140 | quadrupedalism, climbing | terrestriality > arboreality | |
| Trachypithecus spp. | 8 | 5 | 28 | 20 | 8 | 32 | 24 | quadrupedalism, climbing, leaping | arboreal | |
| Semnopithecus spp. | 3 | 2 | 11 | 5 | 3 | 11 | 5 | quadrupedalism, climbing, leaping | arboreal or semi-terrestrial | |
| Presbytis spp. | 5 | 4 | 16 | 12 | 4 | 18 | 12 | leaping, quadrupedalism | arboreal | |
| Rhinopithecus roxellana | 1 | 0 | 4 | 0 | 0 | 0 | 0 | quadrupedalism, climbing, brachiation | arboreal | |
| Colobus angolensis | 1 | 0 | 4 | 4 | 0 | 4 | 4 | quadrupedalism, leaping, climbing | arboreal | |
| Ateles spp. | 10 | 0 | 40 | 40 | 8 | 32 | 32 | quadrupedalism, climbing, suspension | arboreal | |
| Alouatta spp. | 2 | 2 | 8 | 6 | 2 | 8 | 6 | quadrupedalism, climbing | arboreal | |
| Cebus spp. | 12 | 12 | 48 | 48 | 7 | 48 | 40 | quadrupedalism, climbing | arboreal | |
| Total (5703) | 328 | 295 | 1257 | 1216 | 296 | 1218 | 1093 | |||
| individual | manual phalanges | pedal phalanges | locomotion* | arboreality vs. terrestriality* | ||||||
|---|---|---|---|---|---|---|---|---|---|---|
| pollical proximal | ray II-V proximal | ray II-V intermediate | hallucal proximal | ray II-V proximal | ray II-V intermediate | |||||
| Hylobatidae | 56 | 53 | 222 | 213 | 49 | 192 | 170 | suspension, brachiation, climbing | arboreal | |
| Pongo spp. | 41 | 41 | 162 | 162 | 38 | 157 | 158 | suspension, climbing | arboreal | |
| Gorilla spp. | 36 | 28 | 122 | 118 | 28 | 115 | 103 | knuckle-walking | terrestriality > arboreality | |
| Pan spp. | 45 | 40 | 160 | 156 | 41 | 170 | 157 | knuckle-walking, suspension, climbing | terrestriality ≈ arboreality | |
| Homo sapiens | 67 | 67 | 268 | 268 | 67 | 267 | 223 | bipedalism | terrestrial | |
| Papio spp. | 6 | 6 | 24 | 24 | 6 | 24 | 19 | quadrupedalism | terrestrial | |
| Macaca mulatta | 35 | 35 | 140 | 140 | 35 | 140 | 140 | quadrupedalism, climbing | terrestriality > arboreality | |
| Trachypithecus spp. | 8 | 5 | 28 | 20 | 8 | 32 | 24 | quadrupedalism, climbing, leaping | arboreal | |
| Semnopithecus spp. | 3 | 2 | 11 | 5 | 3 | 11 | 5 | quadrupedalism, climbing, leaping | arboreal or semi-terrestrial | |
| Presbytis spp. | 5 | 4 | 16 | 12 | 4 | 18 | 12 | leaping, quadrupedalism | arboreal | |
| Rhinopithecus roxellana | 1 | 0 | 4 | 0 | 0 | 0 | 0 | quadrupedalism, climbing, brachiation | arboreal | |
| Colobus angolensis | 1 | 0 | 4 | 4 | 0 | 4 | 4 | quadrupedalism, leaping, climbing | arboreal | |
| Ateles spp. | 10 | 0 | 40 | 40 | 8 | 32 | 32 | quadrupedalism, climbing, suspension | arboreal | |
| Alouatta spp. | 2 | 2 | 8 | 6 | 2 | 8 | 6 | quadrupedalism, climbing | arboreal | |
| Cebus spp. | 12 | 12 | 48 | 48 | 7 | 48 | 40 | quadrupedalism, climbing | arboreal | |
| Total (5703) | 328 | 295 | 1257 | 1216 | 296 | 1218 | 1093 | |||
| [1] | Lewis OJ. Functional morphology of the evolving hand and foot [M]. Oxford: Clarendon Press, 1989, 1-359 |
| [2] | Preuschoft H, Chivers DJ. Hands of primates[M]. New York: Springer, 1993, 1-421 |
| [3] | Kivell TL, Lemelin P, Richmond BG, Schmitt D. The evolution of the primate hand: Anatomical, developmental, functional, and paleontological evidence[M]. New York: Springer, 2016, 1-589 |
| [4] | Erikson GE. Brachiation in New World monkeys and in anthropoid apes[J]. Symposia of the Zoological Society of London, 1963,10, 135-164 |
| [5] | Oxnard CE. Locomotor adaptations in the primate forelimb[J]. Symposia of the Zoological Society of London, 1963,10, 165-182 |
| [6] | Tuttle RH. Knuckle-walking and the evolution of hominoid hands[J]. American Journal of Physical Anthropology, 1967,26, 171-206 |
| [7] |
Tuttle RH. Knuckle-walking and the problem of human origins[J]. Science, 1969,166, 953-961
URL pmid: 5388380 |
| [8] | Tuttle RH. Evolution of hominid bipedalism and prehensile capabilities[J]. Philosophical Transactions of the Royal Society B: Biological Sciences, 1981,292, 89-94 |
| [9] |
Susman RL. Comparative and functional morphology of hominoid fingers[J]. American Journal of Physical Anthropology, 1979,50, 215-236
URL pmid: 443358 |
| [10] |
Susman RL. Hand of Paranthropus robustus from Member 1, Swartkrans: fossil evidence for tool behavior[J]. Science, 1988,240, 781-784
doi: 10.1126/science.3129783 URL pmid: 3129783 |
| [11] |
Susman RL. Oreopithecus bambolii: an unlikely case of hominidlike grip capability in a Miocene ape[J]. Journal of Human Evolution, 2004,46, 105-117
URL pmid: 14698686 |
| [12] |
Stern JT, Susman RL. The locomotor anatomy of Australopithecus afarensis[J]. American Journal of Physical Anthropology, 1983,60, 279-317
URL pmid: 6405621 |
| [13] | Susman RL, Stern JT, Jungers WL. Arboreality and bipedality in the Hadar hominids[J]. Folia Primatologica, 1984,43, 113-156 |
| [14] | Rose MD. Further hominoid postcranial specimens from the Late Miocene Nagri Formation of Pakistan[J]. Journal of Human Evolution, 1986,15, 333-367 |
| [15] | Zhang Y, Peng Y, Ye Z. Study on the functional morphology of some bones of Rhinopithecus[J]. Zoological Research, 1985,6, 175-183 |
| [16] | Harrison T. A reassessment of the phylogenetic relationships of Oreopithecus bambolii Gervais[J]. Journal of Human Evolution, 1986,15, 541-583 |
| [17] | Harrison T. The implications of Oreopithecus bambolii for the origins of bipedalism [A]. In: Coppens Y, Senut B eds. Origine(s) de la bipédie chez les hominidés. Paris: CNRS, 1991, pp. 235-244 |
| [18] | Sarmiento EE. The phylogenetic position of Oreopithecus and its significance in the origin of the Hominoidea[J]. American Museum Novitates, 1987,2881, 1-44 |
| [19] | Begun DR. Catarrhine phalanges from the Late Miocene (Vallesian) of Rudabánya, Hungary[J]. Journal of Human Evolution, 1988,17, 413-438 |
| [20] | Begun DR. New catarrhine phalanges from Rudabánya (Northeastern Hungary) and the problem of parallelism and convergence in hominoid postcranial morphology[J]. Journal of Human Evolution, 1993,24, 373-402 |
| [21] | Godinot M, Beard KC. Fossil primate hands: a review and an evolutionary inquiry emphasizing early forms[J]. Human Evolution, 1992,6, 307-354 |
| [22] | Godinot M, Beard KC. A survey of fossil primate hands [A], In: Preuschoft H, Chivers DJ eds. Hands of Primates. New York: Springer, 1993, 335-378 |
| [23] | Hamrick MW, Meldrum DJ, Simons EL. Anthropoid phalanges from the Oligocene of Egypt[J]. Journal of Human Evolution, 1995,28, 121-145 |
| [24] |
Stern JT, Jungers WL, Susman RL. Quantifying phalangeal curvature: an empirical comparison of alternative methods[J]. American Journal of Physical Anthropology, 1995,97, 1-10
URL pmid: 7645670 |
| [25] |
Jungers WL, Godfrey LR, Simons EL, Chatrath PS. Phalangeal curvature and positional behavior in extinct sloth lemurs (Primates, Palaeopropithecidae)[J]. Proceedings of the National Academy of Sciences of the United States of America, 1997,94, 11998-12001
doi: 10.1073/pnas.94.22.11998 URL pmid: 11038588 |
| [26] |
Nakatsukasa M, Kunimatsu Y, Nakano Y, Takano T, Ishida H. Comparative and functional anatomy of phalanges in Nacholapithecus kerioi, a Middle Miocene hominoid from northern Kenya[J]. Primates, 2003,44, 371-412
doi: 10.1007/s10329-003-0051-y URL pmid: 14508653 |
| [27] |
Deane AS, Kremer EP, Begun DR. New approach to quantifying anatomical curvatures using high-resolution polynomial curve fitting (HR-PCF)[J]. American Journal of Physical Anthropology, 2005,128, 630-638
URL pmid: 15861424 |
| [28] |
Deane AS, Begun DR. Broken fingers: retesting locomotor hypotheses for fossil hominoids using fragmentary proximal phalanges and high-resolution polynomial curve fitting (HR-PCF)[J]. Journal of Human Evolution, 2008,55, 691-701
doi: 10.1016/j.jhevol.2008.05.005 URL pmid: 18692864 |
| [29] |
Kivell TL, Kibii JM, Churchill SE, Schmid P, Berger LR. Australopithecus sediba hand demonstrates mosaic evolution of locomotor and manipulative abilities[J]. Science, 2011,333, 1411-1417
doi: 10.1126/science.1202625 URL pmid: 21903806 |
| [30] |
Kivell TL, Deane AS, Tocheri MW, Orr CM, Schmid P, Hawks J, Berger LR, Churchill SE. The hand of Homo naledi[J]. Nature Communications, 2015,6, 8431
URL pmid: 26441219 |
| [31] |
Rein TR. The correspondence between proximal phalanx morphology and locomotion: Implications for inferring the locomotor behavior of fossil catarrhines[J]. American Journal of Physical Anthropology, 2011,146, 435-445
URL pmid: 21953545 |
| [32] |
Rein TR, Harrison T, Zollikofer CPE. Skeletal correlates of quadrupedalism and climbing in the anthropoid forelimb: Implications for inferring locomotion in Miocene catarrhines[J]. Journal of Human Evolution, 2011,61, 564-574
doi: 10.1016/j.jhevol.2011.07.005 URL pmid: 21872907 |
| [33] | Congdon KA. Interspecific and ontogenetic variation in proximal pedal phalangeal curvature of great apes (Gorilla gorilla, Pan troglodytes, and Pongo pygmaeus)[J]. International Journal of Primatology, 2012,33(2), 418-427 |
| [34] |
Harcourt-Smith WEH, Throckmorton Z, Congdon KA, Zipfel B, Deane AS, Drapeau MSM, Churchill SE, Berger LR, DeSilva JM. The foot of Homo naledi[J]. Nature Communications, 2015,6, 8432
URL pmid: 26439101 |
| [35] |
Dominguez-Rodrigo M, Pickering TR, Almecija S, Heaton JL, Baquedano E, Mabulla A, Uribelarrea D. Earliest modern human-like hand bone from a new >1.84-million-year-old site at Olduvai in Tanzania[J]. Nature Communications, 2015,6, 7987
doi: 10.1038/ncomms8987 URL pmid: 26285128 |
| [36] | Lanyon LE, Rubin CT. Functional adaptation in skeletal structures [A]. In: Hildebrand M, Bramble DM, Liem KF, Wake DB eds. Functional Vertebrate Morphology. Cambridge: Harvard University Press, 1985, 1-25 |
| [37] |
Dodge T, Wanis M, Ayoub R, Zhao LM, Watts NB, Bhattacharya A, Akkus O, Robling A, Yokota H. Mechanical loading, damping, and load-driven bone formation in mouse tibiae[J]. Bone, 2012,51, 810-818
doi: 10.1016/j.bone.2012.07.021 URL pmid: 22878153 |
| [38] |
Frost HM. Skeletal structural adaptations to mechanical usage (SATMU): 1. Redefining Wolff's Law: the bone modeling problem[J]. The Anatomical Record, 1990a,226, 403-413
URL pmid: 2184695 |
| [39] |
Frost HM. Skeletal structural adaptations to mechanical usage (SATMU): 2. Redefining Wolff's Law: the remodeling problem[J]. The Anatomical Record, 1990b,226, 414-422
URL pmid: 2184696 |
| [40] |
Robling AG, Castillo AB, Turner CH. Biomechanical and molecular regulation of bone remodeling[J]. Annual Review of Biomedical Engineering, 2006,8, 455-498
URL pmid: 16834564 |
| [41] |
Bidan CM, Kommareddy KP, Rumpler M, Kollmannsberger P, Brechet YJM, Fratzl P, Dunlop JWC. How linear tension converts to curvature: geometric control of bone tissue growth[J]. PLoS ONE, 2012,7(5), e36336
doi: 10.1371/journal.pone.0036336 URL pmid: 22606256 |
| [42] | Oxnard CE. Form and pattern in human evolution: some mathematical, physical, and engineering approaches [M]. Chicago: University of Chicago Press, 1973, 1-218 |
| [43] | Sarmiento EE. Anatomy of the hominoid wrist joint: its evolutionary and functional implications[J]. International Journal of Primatology, 1988,9, 281-345 |
| [44] | Richmond BG. Ontogeny and biomechanics of phalangeal form in primates[D]. Stony Brook: State University of New York, 1998, 1-240 |
| [45] |
Richmond BG. Biomechanics of phalangeal curvature[J]. Journal of Human Evolution, 2007,53, 678-690
doi: 10.1016/j.jhevol.2007.05.011 URL pmid: 17761213 |
| [46] |
Biewener AA. Allometry of quadrupedal locomotion: the scaling of duty factor, bone curvature and limb orientation to body size[J]. Journal of Experimental Biology, 1983,105, 147-171
URL pmid: 6619724 |
| [47] | Swartz SM. Curvature of the forelimb bones of anthropoid primates: overall allometric patterns and specializations in suspensory species[J]. American Journal of Physical Anthropology, 1990,83, 477-498 |
| [48] |
Godfrey LR, Jungers WL, Wunderlich RE, Richmond BG. Reappraisal of the postcranium of Hadropithecus (Primates, Indroidea)[J]. American Journal of Physical Anthropology, 1997,103, 529-556
doi: 10.1002/(SICI)1096-8644(199708)103:4<529::AID-AJPA9>3.0.CO;2-H URL pmid: 9292169 |
| [49] | Richmond BG, Whalen M. Forelimb function, bone curvature and phylogeny of Sivapithecus [A]. In: de Bonis L, Koufos GD, Andrews P eds. Phylogeny of the Neogene hominoid primates of Eurasia. Cambridge: Cambridge University Press, 2001, 326-348 |
| [50] | Susman RL. Functional and evolutionary morphology of hominoid manual rays II-V[D]. Chicago: The University of Chicago, 1976, 1-372 |
| [51] | Bookstein FL. A statistical-method for biological shape comparisons[J]. Journal of Theoretical Biology, 1984,107, 475-520 |
| [52] | Bookstein FL. Morphometric tools for landmark data [M]. Cambridge: Cambridge University Press, 1991, 1-435 |
| [53] | Xu Q, Lu Q. Lufengpithecus lufengensis - an early member of Hominidae [M]. Beijing: Science Press, 2008, 1-224 |
| [54] | Wu R, Xu Q, Lu Q. Relationship between Lufeng Sivapithecus and Ramapithecus and their phylogenetic position[J]. Acta Anthropologica Sinica, 1986,5(1), 1-30 |
| [55] |
Schneider CA, Rasband WS, Eliceiri KW. NIH Image to ImageJ: 25 years of image analysis[J]. Nature Methods, 2012,9, 671-675
URL pmid: 22930834 |
| [56] | Adams DC, Rohlf FJ, Slice DE. A field comes of age: geometric morphometrics in the 21st century[J]. Hystrix, 2013,24, 7-14 |
| [57] | R Core Team. R: A language and environment for statistical computing. R Foundation for Statistical Computing, Vienna, Austria [EB/OL]. 2020, URL https://www.R-project.org/. |
| [58] | Claude J. Morphometrics with R (Use R)[M]. New York: Springer, 2008, 1-316 |
| [59] | Bookstein FL. Size and shape spaces for landmark data in two dimensions[J]. Statistical Science, 1986,1, 181-242 |
| [60] |
Koo TK, Li MY. A Guideline of Selecting and Reporting Intraclass Correlation Coefficients for Reliability Research[J]. Journal of Chiropractic Medicine, 2016,15, 155-163
doi: 10.1016/j.jcm.2016.02.012 URL pmid: 27330520 |
| [61] | Carpenter CR. A field study in Siam of the behavior and social relations of the gibbon (Hylobates lar) [M]. Baltimore: The Johns Hopkins Press, 1940, 1-212 |
| [62] | Fleagle JG. Locomotion and posture of the Malayan siamang and implications for hominoid evolution[J]. Folia Primatologica, 1976,26, 245-269 |
| [63] | Fleagle JG. Locomotion and posture [A]. In: Chivers DJ ed. Malayan Forest Primates. New York: Springer, 1980, 191-207 |
| [64] |
Fan PF, Scott MB, Fei HL, Ma CY. Locomotion behavior of Cao Vit gibbon (Nomascus nasutus) living in karst forest in Bangliang Nature Reserve, Guangxi, China[J]. Integrative Zoology, 2013,8, 356-364
doi: 10.1111/j.1749-4877.2012.00300.x URL pmid: 24344959 |
| [65] | Gittins SP. Use of the forest canopy by the agile gibbon[J]. Folia Primatologica, 1983,40, 134-144 |
| [66] | Schmidt M. Locomotion and postural behavior[J]. Advances in Science and Research, 2010,5, 23-39 |
| [67] |
Alba DM, Almécija S, Moyà-Solà S. Locomotor inferences in Pierolapithecus and Hispanopithecus: Reply to Deane and Begun (2008)[J]. Journal of Human Evolution, 2010,59, 143-149
doi: 10.1016/j.jhevol.2010.02.002 URL pmid: 20510436 |
| [68] |
Matarazzo S. Knuckle walking signal in the manual digits of Pan and Gorilla[J]. American Journal of Physical Anthropology, 2008,135, 27-33
doi: 10.1002/ajpa.20701 URL pmid: 17787000 |
| [69] |
Qi GQ, Dong W, Zheng L, Zhao L, Gao F, Yue L, Zhang Y. Taxonomy, age and environment status of the Yuanmou hominoids[J]. Chinese Science Bulletin, 2006,51, 704-712
doi: 10.1007/s11434-006-0704-5 URL |
| [70] | Dong W, Qi GQ. Hominoid-producing localities and biostratigraphy in Yunnan [A]. In: Wang X, Flynn LJ, Fortelius M eds. Fossil mammals of Asia: Neogene biostratigraphy and chronology. New York: Columbia University Press, 2013, 293-313 |
| [71] | Lin Y, Wang S, Guo Z, Zhang L. The first discovery of the radius of Sivapithecus lufengensis in China[J]. Geological Review, 1987,33, 1-4 |
| [72] | Xiao M. The fossil scapula from the Lufeng hominoid site [A]. In: Collected Works of the 30th Anniversary of the Yunnan Provincial Museum. Kunming: Yunnan Provincial Museum, 1981, 41-44 |
| [73] |
Harrison T, Ji X, Su D. On the systematic status of the late Neogene hominoids from Yunnan Province, China[J]. Journal of Human Evolution, 2002,43, 207-227
doi: 10.1006/jhev.2002.0570 URL |
| [74] | Begun DR. Fossil record of Miocene hominoids [A]. In: Henke W, Tattersall I eds. Handbook of Paleoanthropology. New York: Springer, 2015, 1261-1332 |
| [75] | Nakatsukasa M, Almécija S, Begun DR. The hands of Miocene hominoids [A]. In: Kivell T, Lemelin P, Richmond B, Schmitt D eds. The evolution of the primate hand: Perspectives from anatomical, developmental, functional and paleontological evidence. New York: Springer, 2016, 485-514 |
| [76] | Zheng L. New Lufengpithecus hudienensis fossils discovered within the framework of State Key Project of the 9th five year plan [A]. In: Qi GQ, Dong W eds. Lufengpithecus hudienensis site. Beijing: Science Press, 2006, 41- 74, 281-292 |
| [77] | Preuschoft H. Functional anatomy of the upper extremity [A]. In: Bourne GH ed. The chimpanzee, Vol. 6. Basel: Karger, 1973, 34-120 |
| [78] | Sun X, Wu Y. Paleoenvironment during the time of Ramapithecus lufengensis[J]. Vertebrata PalAsiatica, 1980,18, 247-255 |
| [79] | Badgley C, Qi GQ, Chen W, Han D. Paleoecology of a Miocene, tropical, upland fauna: Lufeng, China[J]. National geographic research, 1988,4, 178-195 |
| [80] | Qi GQ. The environment and ecology of the Lufeng hominoids[J]. Journal of Human Evolution, 1993,24, 3-11 |
| [81] | Cheng YM, Wang YF, Li CS. Late Miocene wood flora associated with the Yuanmou hominoid fauna from Yunnan, southwestern China and its palaeoenvironmental implication[J]. Journal of Palaeogeography, 2014,3, 323-330 |
| [82] | Chang L, Guo Z, Deng C, et al. Pollen evidence of the paleoenvironments of Lufengpithecus lufengensis in the Zhaotong Basin, southeastern margin of the Tibetan Plateau[J]. Palaeogeography, Palaeoclimatology, Palaeoecology, 2015,435, 95-104 |
| [1] | ZHANG Yingqi, Terry HARRISON. Phalangeal curvature and locomotor behavior of fossil hominoids [J]. Acta Anthropologica Sinica, 2022, 41(04): 659-673. |
| [2] | ZHENG Liang; GAO Feng ; LIU Wu. The comparisons of Yuanmou Hominoid tooth traits between the samples from Xiaohe-Zhupeng and Leilao sites [J]. Acta Anthropologica Sinica, 2002, 21(03): 179-190. |
| Viewed | ||||||
|
Full text |
|
|||||
|
Abstract |
|
|||||