Acta Anthropologica Sinica ›› 2020, Vol. 39 ›› Issue (04): 695-705.doi: 10.16359/j.cnki.cn11-1963/q.2020.0058
Previous Articles Next Articles
LI Chunxiang1,2, ZHANG Fan2, MA Pengcheng2, WANG Lixin1,*(
), CUI Yinqiu1,2,*(
)
Received:2020-07-31
Revised:2020-09-27
Online:2020-11-15
Published:2020-11-25
Contact:
WANG Lixin,CUI Yinqiu
E-mail:wanglx@jlu.edu.cn;cuiyq@jlu.edu.cn
CLC Number:
LI Chunxiang, ZHANG Fan, MA Pengcheng, WANG Lixin, CUI Yinqiu. Ancient mitogenomes reveals Holocene human population history in the Nenjiang River valley[J]. Acta Anthropologica Sinica, 2020, 39(04): 695-705.
Add to citation manager EndNote|Ris|BibTeX
URL: https://www.anthropol.ac.cn/EN/10.16359/j.cnki.cn11-1963/q.2020.0058
| 遗址名称 | 年代(cal BP) | 样本数量(个) | 年代参考文献 | |
|---|---|---|---|---|
| 新石器时代 | 后套木嘎遗址 | 11000-6000 | 6 | [8] |
| 扎赉诺尔遗址 | 5500-5300 | 1 | [9] | |
| 黑龙江五七农场遗址 | 5500-5300 | 1 | [9] | |
| 洪河村遗址 | 4000 | 4 | [7] | |
| 青铜铁器时代 | 后套木嘎遗址 | 4000-2000 | 6 | [8] |
| 黑龙江大古堆遗址 | 2500-2000 | 2 | [16] | |
| 内蒙古蘑菇山遗址 | 2000 | 3 | [9] | |
| 扎赉诺尔遗址 | 2000-2200 | 1 | [9] |
Tab.1 The archeological information of samples in this study
| 遗址名称 | 年代(cal BP) | 样本数量(个) | 年代参考文献 | |
|---|---|---|---|---|
| 新石器时代 | 后套木嘎遗址 | 11000-6000 | 6 | [8] |
| 扎赉诺尔遗址 | 5500-5300 | 1 | [9] | |
| 黑龙江五七农场遗址 | 5500-5300 | 1 | [9] | |
| 洪河村遗址 | 4000 | 4 | [7] | |
| 青铜铁器时代 | 后套木嘎遗址 | 4000-2000 | 6 | [8] |
| 黑龙江大古堆遗址 | 2500-2000 | 2 | [16] | |
| 内蒙古蘑菇山遗址 | 2000 | 3 | [9] | |
| 扎赉诺尔遗址 | 2000-2200 | 1 | [9] |
| 样本编号 | 考古遗址 | 线粒体测序深度 | 线粒体污染率 | 线粒体单倍群 |
|---|---|---|---|---|
| HT-M45 | 后套木嘎遗址 | 853.3641 | 0.008 | D4h1+12396C |
| HT-M89 | 后套木嘎遗址 | 68.0831 | 0.016 | A+152C |
| HT-M80 | 后套木嘎遗址 | 55.223 | 0.012 | D4e5a |
| HT-M91 | 后套木嘎遗址 | 28.4945 | 0.032 | Y1a |
| HT-M54A | 后套木嘎遗址 | 21.8996 | 0.058 | B4c1a2 |
| HT-M94 | 后套木嘎遗址 | 4.7071 | 0.037 | D4c1b |
| HQHM2 | 洪河村遗址 | 52.0482 | 0.008 | D4c1b |
| HQHM3 | 洪河村遗址 | 17.6003 | 0.009 | D4j |
| HQHM4 | 洪河村遗址 | 59.4463 | 0.022 | D4b2a |
| HQHM5 | 洪河村遗址 | 20.8831 | 0.016 | D4 |
| ZLNR-2 | 扎赉诺尔遗址 | 16.6342 | 0.014 | C5 |
| WQM4 | 五七农场遗址 | 16.9741 | 0.015 | C4a1a |
| HT-M74A | 后套木嘎遗址 | 72.9727 | 0.019 | C4a2a1 |
| HT-M25B | 后套木嘎遗址 | 46.2914 | 0.034 | D4c2b |
| HT-M69B | 后套木嘎遗址 | 44.3536 | 0.092 | G2a1 |
| HT-M74B | 后套木嘎遗址 | 30.9066 | 0.017 | G2a1 |
| HT-M69A | 后套木嘎遗址 | 23.8907 | 0.046 | B4c1a2 |
| HT-M69C | 后套木嘎遗址 | 5.6121 | 0.042 | F1b1e |
| DGDM104 | 大古堆遗址 | 59.44631 | 0.026 | M8* |
| DGDM105 | 大古堆遗址 | 20.883 | 0.01 | D4m |
| ZLNR-1 | 扎赉诺尔遗址 | 5.7467 | 0.012 | N9a9 |
| MGS-M6 | 内蒙古蘑菇山 | 19.3666 | 0.009 | C5a1 |
| MGS-M7L | 内蒙古蘑菇山 | 22.2542 | 0.006 | Z3a1 |
| MGS-M7R | 内蒙古蘑菇山 | 33.9752 | 0.015 | C4a1a4a |
Tab.2 The results of mitogenomes of ancient individuals of Neijiang River in this study
| 样本编号 | 考古遗址 | 线粒体测序深度 | 线粒体污染率 | 线粒体单倍群 |
|---|---|---|---|---|
| HT-M45 | 后套木嘎遗址 | 853.3641 | 0.008 | D4h1+12396C |
| HT-M89 | 后套木嘎遗址 | 68.0831 | 0.016 | A+152C |
| HT-M80 | 后套木嘎遗址 | 55.223 | 0.012 | D4e5a |
| HT-M91 | 后套木嘎遗址 | 28.4945 | 0.032 | Y1a |
| HT-M54A | 后套木嘎遗址 | 21.8996 | 0.058 | B4c1a2 |
| HT-M94 | 后套木嘎遗址 | 4.7071 | 0.037 | D4c1b |
| HQHM2 | 洪河村遗址 | 52.0482 | 0.008 | D4c1b |
| HQHM3 | 洪河村遗址 | 17.6003 | 0.009 | D4j |
| HQHM4 | 洪河村遗址 | 59.4463 | 0.022 | D4b2a |
| HQHM5 | 洪河村遗址 | 20.8831 | 0.016 | D4 |
| ZLNR-2 | 扎赉诺尔遗址 | 16.6342 | 0.014 | C5 |
| WQM4 | 五七农场遗址 | 16.9741 | 0.015 | C4a1a |
| HT-M74A | 后套木嘎遗址 | 72.9727 | 0.019 | C4a2a1 |
| HT-M25B | 后套木嘎遗址 | 46.2914 | 0.034 | D4c2b |
| HT-M69B | 后套木嘎遗址 | 44.3536 | 0.092 | G2a1 |
| HT-M74B | 后套木嘎遗址 | 30.9066 | 0.017 | G2a1 |
| HT-M69A | 后套木嘎遗址 | 23.8907 | 0.046 | B4c1a2 |
| HT-M69C | 后套木嘎遗址 | 5.6121 | 0.042 | F1b1e |
| DGDM104 | 大古堆遗址 | 59.44631 | 0.026 | M8* |
| DGDM105 | 大古堆遗址 | 20.883 | 0.01 | D4m |
| ZLNR-1 | 扎赉诺尔遗址 | 5.7467 | 0.012 | N9a9 |
| MGS-M6 | 内蒙古蘑菇山 | 19.3666 | 0.009 | C5a1 |
| MGS-M7L | 内蒙古蘑菇山 | 22.2542 | 0.006 | Z3a1 |
| MGS-M7R | 内蒙古蘑菇山 | 33.9752 | 0.015 | C4a1a4a |
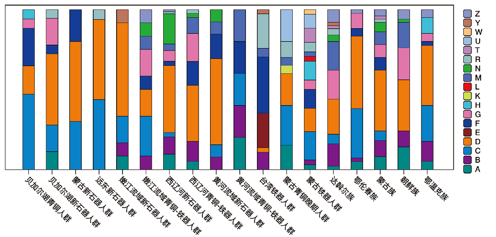
Fig.2 Relationship between ancient NenJiang River populations and other populations based on haplogroup frequencies The abscissa is the comparison populations, and the ordinate is the frequency of haplogroups. Different colors represent different haplogroups of mitochondria DNA
Fig.3 PCA plot based on haplogroup frequencies of Nenjing River populations and other ancient populations calculated using The genetic cluster of the early Nenjiang River population is shown in light blue and the genetic cluster of the later Nenjiang River population is shown in light yellow
Fig.4 Statistical analyses based on the sequences of Haplogroup B4c1a The Bayesian tree for sequences from Haplogroup B4c1. The long of line is the years before present, the number is the age for the divergence age for the clade and the coalescence time of B4c1a2 was 8560 years ago, the individuals are colored according to different origin
Fig.5 Statistical analyses based on the sequences of Haplogroup N9a (A)The Bayesian tree for sequences from Haplogroup N9a. The long of line is the years before present, the number is the age for the divergence age for the clade, the individuals are colored according to different origin, the Genbank number for every individual was shown in Supplementary Fig S3. (B) The Bayesian Skyline plots of Haplogroup N9a showing the maternal effective population size history. (C)The Network of Haplogroup N9a. Haplotypes where the number of Shared individuals is greater than one are numbered
| [1] | 赵宾福. 嫩江流域新石器时代生业方式研究[J]. 考古, 2007,(11):55-61 |
| [2] | 王立新, 霍东峰, 方启. 吉林大安后套木嘎遗址发掘的主要收获[J]. 边疆考古研究, 2017,1:321-333 |
| [3] | 冷程程, 汤卓炜, 张伟, 等. 嫩江流域新石器时代以来的环境考古(初步)研究[J]. 第四纪研究, 2019,39(1):48-58 |
| [4] | 朱永刚. 松嫩平原先白金宝文化遗存的发现与研究[J]. 北方文物, 1998, (1):19-28 |
| [5] | 陈全家, 王法岗, 王春雪. 嫩江流域青铜时代生业方式研究[J]. 华夏考古, 2011, (2):46-53 |
| [6] | 王立新. 后套木嘎新石器时代遗存及相关问题研究[J]. 考古学报, 2018, (2):141-164 |
| [7] | Cui YQ, Zhang F, Ma PC, et al. Bioarchaeological perspective on the expansion of Transeurasian languages in Neolithic Amur River basin[J]. Evolutionary Human Sciences, 2020,2:1-13 |
| [8] | 宁超. 中国北方古代人群基因组学研究—以新疆下坂地墓地和吉林后套木嘎墓地为例[D]. 长春:吉林大学, 2017, 63-73 |
| [9] |
Ning C, Li T, Wang K, et al. Ancient genomes from northern China suggest links between subsistence changes and human migration[J]. Nat Communications, 2020,11:2700
doi: 10.1038/s41467-020-16557-2 URL |
| [10] | 顾明亮. 线粒体基因组特异性变异与人类进化[J]. 国际遗传学杂志, 2010,33(6):344-368 |
| [11] | 赵欣. 辽西地区先秦时期居民的体质人类学与分子考古学研究[D]. 长春:吉林大学, 2009, 12-47, 67-74 |
| [12] | Wang CC, Yeh HY, Popov AN, et al. The Genomic Formation of Human Populations in East Asia[J]. bioRxiv, 2020.03. 25. 004606 |
| [13] |
Damgaard PB, Martiniano R, Kamm J, et al. The first horse herders and the impact of early Bronze Age steppe expansions into Asia[J]. Science, 2018, 360(6396), eaar7711
doi: 10.1126/science.360.6396.1391 URL pmid: 29954963 |
| [14] | Kılınç GM, Kashuba N, Yaka R, et al. Investigating Holocene human population history in North Asia using ancient mitogenomes[J]. Scientific Reports, 2018,8:8969 |
| [15] |
Li YC, Ye WJ, Jiang CG, et al. River Valleys Shaped the Maternal Genetic Landscape of Han Chinese[J]. Mol. Biol. Evol, 2020,36(8):1643-1652
doi: 10.1093/molbev/msz072 URL pmid: 31112995 |
| [16] | 王长明, 张伟, 王怡, 等. 黑龙江讷河大古堆墓地发掘简报[J]. 文物, 2009,6:4-25 |
| [17] |
Fu QM, Li H, Moorjani P, et al. The genome sequence of a 45,000-year-old modern human from western Siberia[J]. Nature, 2014,514:445-449
doi: 10.1038/nature13810 URL pmid: 25341783 |
| [18] | 郭明建. 中国北方农业起源研究的理论和实践[J]. 华夏考古, 2012,1:134-142 |
| [19] | 董广辉, 刘峰文, 杨谊时, 等. 黄河流域新石器文化的空间扩张及其影响因素[J]. 自然杂志, 2016,38(4):248-252 |
| [20] |
Yu H, Spyrou MA, Karapetian M, et al. Paleolithic to Bronze Age Siberians Reveal Connections with First Americans and across Eurasia[J]. Cell, 2020,181:1-14
doi: 10.1016/j.cell.2020.03.025 URL pmid: 32243785 |
| [21] | Jeong C, Wang K, Wilkin S, et al. A dynamic 6,000-year genetic history of Eurasia’s Eastern Steppe[J]. bioRxiv, 2020.03. 25. 008078 |
| [22] |
Sikora M, Pitulko VV, Sousa VC, et al. The population history of northeastern Siberia since the Pleistocene[J]. Nature, 2019,570(7760):182-188
doi: 10.1038/s41586-019-1279-z URL pmid: 31168093 |
| [23] | 董广辉, 张山佳, 杨谊时, 等. 中国北方新石器时代农业强化及对环境的影响[J]. 科学通报, 2016,61(26):2913-2925 |
| [24] | 邓聪. 夏家店下层文化中的二里头文化玉器因素举例[J]. 三代考古, 2009,0:171-175 |
| [25] | Dong GH, Li R, Lu MX, et al. Evolution of human-environmental interactions in China from the Late Paleolithic to the Bronze Age[J]. Progress in Physical Geography: Earth and Environment, 2020,44(2):233-250 |
| [26] | Li T, Ning C, Zhushchikhovskaya IS, et al. Millet agriculture dispersed from Northeast China to the Russian Far East: Integrating archaeology, genetics, and linguistics[J]. Archaeological Research in Asia, 2020,22:100177 |
| [1] | ZHANG Ming, PING Wanjing, YANG Melinda Anna, FU Qiaomei. Ancient genomes reveal the complex genetic history of Prehistoric Eurasian modern humans [J]. Acta Anthropologica Sinica, 2023, 42(03): 412-421. |
| [2] | DING Manyu, HE Wei, WANG Tianyi, Shargan Wangdue, ZHANG Ming, CAO Peng, LIU Feng, DAI Qingyan, FU Qiaomei. A study of the mitochondrial genome of ancient inhabitants from the Latuotanggu cemetery, Tibet, China [J]. Acta Anthropologica Sinica, 2021, 40(01): 1-11. |
| [3] | ZHAO Jing, WANG Chuanchao. Comparison and summary of ancient DNA extraction technology [J]. Acta Anthropologica Sinica, 2020, 39(04): 706-716. |
| [4] | WANG Tianyi, ZHAO Dongyue, ZHANG Ming, QIAO Shiyu, YANG Fan, WAN Yang, YANG Ruowei, CAO Peng, LIU Feng, FU Qiaomei. Ancient DNA capture techniques and genetic study progress of early southern China populations [J]. Acta Anthropologica Sinica, 2020, 39(04): 680-694. |
| [5] | ZHANG Yajun, ZHANG Xu, ZHAO Xin, TONG Tao, LI Linhui. Craniometric evidence and ancient DNA analysis of the population origin of Ngari prefecture of Tibet Autonomous Region between 3rd and 4th century AD [J]. Acta Anthropologica Sinica, 2020, 39(03): 435-449. |
| [6] | ZHANG Ming, FU Qiaomei. Prehistoric interbreeding between archaic human groups and anatomically modern humans [J]. Acta Anthropologica Sinica, 2018, 37(02): 206-218. |
| [7] | WEN Shaoqing, WANG Chuanchao, AO Xue, WEI Lanhai, TONG Xinzhu, WANG Lingxiang, WANG ZhanFeng, HAN Sheng, LI Hui. Ancient DNA supports Emperor Cao’s paternal genetic lineage belonging to haplogroup O2 [J]. Acta Anthropologica Sinica, 2016, 35(04): 617-625. |
| [8] | DENG Qiongying, WANG Xiaoqing, WANG Chuanchao, LI Hui. Genetic Structure of Y Chromosome and Paternal Origin of the Population Speaking Chadong in Guangxi, China [J]. Acta Anthropologica Sinica, 2014, 33(01): 118-124. |
| [9] | ZHANG Peng-yin; XU Zhi; XU Bo-song; TAN Jing-ze; ZHOU Hui; JIN Li; HAN Kang-xin. Genetic analysis of people who lived in Shangsunjiazhai, Datong Qinghai as revealed by mitochondrial DNA [J]. Acta Anthropologica Sinica, 2013, 32(02): 204-218. |
| [10] | XUE Fuzhong, WANG Jiezhen, GUO Yishou, HU Ping. The methodology of principle component analysis based on the averaged covariance matrix for the analysis of human populational genetic structures [J]. Acta Anthropologica Sinica, 2005, 24(03): 221-231. |
| [11] | YANG Dong-ya. Contamination contorls and detection in ancient DNA studies [J]. Acta Anthropologica Sinica, 2003, 22(02): 163-173. |
| [12] | Zhao Lingxia, Susanne Hummel, Cadja Lassen et al.. Ancient DNA extraction from Neolithic human skeletal remains and PCR based amplification of the X-Y homologous amelogenin gene [J]. Acta Anthropologica Sinica, 1996, 15(03): 200-209. |
| [13] | Weng Zili, Yuan Yida, Du Ruofu. Analysis on genetic structure of human populations in China [J]. Acta Anthropologica Sinica, 1989, 8(03): 261-268. |
| Viewed | ||||||
|
Full text |
|
|||||
|
Abstract |
|
|||||