Acta Anthropologica Sinica ›› 2021, Vol. 40 ›› Issue (01): 49-62.doi: 10.16359/j.cnki.cn11-1963/q.2019.0002
• Research Articles • Previous Articles Next Articles
ZHOU Yawei1, ZHANG Xiaoran1, GU Wanfa2
Received:2018-05-15
Revised:2018-12-13
Online:2021-02-15
Published:2021-02-25
CLC Number:
ZHOU Yawei, ZHANG Xiaoran, GU Wanfa. Teeth abrasion and health status of Yangshao culture residents in the Wanggou site, Zhengzhou[J]. Acta Anthropologica Sinica, 2021, 40(01): 49-62.
Add to citation manager EndNote|Ris|BibTeX
URL: https://www.anthropol.ac.cn/EN/10.16359/j.cnki.cn11-1963/q.2019.0002
| 男性Male | 女性Female | 性别不详Unknown | 总数Total | 上颌Upper jaw | 下颌Lower jaw | |
|---|---|---|---|---|---|---|
| 个数(n) | 80 | 81 | 13 | 174 | 144 | 155 |
| 牙数(n) | 1366 | 1212 | 238 | 2816 | 1246 | 1570 |
Tab.1 The data of Wanggou group
| 男性Male | 女性Female | 性别不详Unknown | 总数Total | 上颌Upper jaw | 下颌Lower jaw | |
|---|---|---|---|---|---|---|
| 个数(n) | 80 | 81 | 13 | 174 | 144 | 155 |
| 牙数(n) | 1366 | 1212 | 238 | 2816 | 1246 | 1570 |
| 牙齿类别Tooth type | 各磨耗级别出现率(frequencies of different wear stages, f )(%) | 平均磨耗级别 Average tooth wears stage | |||||||
|---|---|---|---|---|---|---|---|---|---|
| 1 | 2 | 3 | 4 | 5 | 6 | 7 | 8 | ||
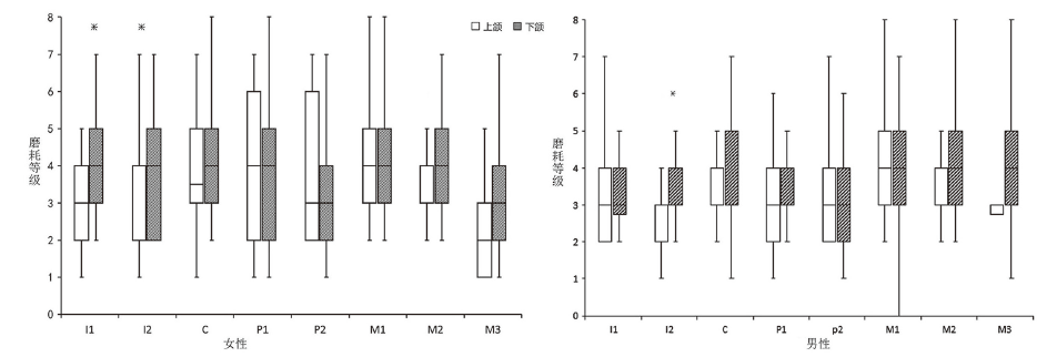
| I1 | 3.6 | 40.0 | 21.8 | 21.8 | 9.1 | 1.8 | 1.8 | 0.0 | 3.1 |
| I2 | 19.7 | 53.0 | 7.6 | 9.1 | 6.1 | 3.0 | 1.5 | 0.0 | 2.4 |
| C | 5.5 | 21.1 | 28.4 | 22.0 | 18.3 | 3.7 | 0.9 | 0.0 | 3.4 |
| P1 | 5.5 | 30.7 | 21.3 | 21.3 | 5.5 | 14.2 | 0.8 | 0.8 | 3.3 |
| P2 | 0.0 | 38.1 | 23.0 | 13.5 | 7.9 | 11.9 | 5.6 | 0.0 | 3.5 |
| M1 | 0.0 | 12.9 | 31.3 | 22.1 | 18.4 | 8.6 | 5.5 | 1.2 | 3.0 |
| M2 | 1.4 | 17.7 | 34.0 | 28.6 | 9.5 | 3.4 | 5.4 | 0.0 | 3.6 |
| M3 | 20.8 | 16.9 | 45.5 | 7.8 | 5.2 | 2.6 | 1.3 | 0.0 | 2.7 |
| I1 | 1.1 | 8.0 | 39.8 | 21.6 | 18.2 | 8.0 | 3.4 | 0.0 | 3.9 |
| I2 | 1.7 | 29.4 | 25.2 | 19.3 | 18.5 | 4.2 | 1.7 | 0.0 | 3.4 |
| C | 6.1 | 15.6 | 30.6 | 18.4 | 18.4 | 4.1 | 6.1 | 0.7 | 3.6 |
| P1 | 1.6 | 25.0 | 26.1 | 25.5 | 7.6 | 10.3 | 3.3 | 0.5 | 3.5 |
| P2 | 4.2 | 34.2 | 22.1 | 23.2 | 6.3 | 6.8 | 3.2 | 0.0 | 3.3 |
| M1 | 0.5 | 9.0 | 29.7 | 26.4 | 16.5 | 10.4 | 6.6 | 0.9 | 4.0 |
| M2 | 1.1 | 8.2 | 31.3 | 33.0 | 12.1 | 9.3 | 3.8 | 1.1 | 3.9 |
| M3 | 13.6 | 12.6 | 30.1 | 18.4 | 12.6 | 5.8 | 5.8 | 1.0 | 3.4 |
Tab.2 Average tooth wears and frequencies of different wear stages for all tooth types of Wanggou population
| 牙齿类别Tooth type | 各磨耗级别出现率(frequencies of different wear stages, f )(%) | 平均磨耗级别 Average tooth wears stage | |||||||
|---|---|---|---|---|---|---|---|---|---|
| 1 | 2 | 3 | 4 | 5 | 6 | 7 | 8 | ||
| I1 | 3.6 | 40.0 | 21.8 | 21.8 | 9.1 | 1.8 | 1.8 | 0.0 | 3.1 |
| I2 | 19.7 | 53.0 | 7.6 | 9.1 | 6.1 | 3.0 | 1.5 | 0.0 | 2.4 |
| C | 5.5 | 21.1 | 28.4 | 22.0 | 18.3 | 3.7 | 0.9 | 0.0 | 3.4 |
| P1 | 5.5 | 30.7 | 21.3 | 21.3 | 5.5 | 14.2 | 0.8 | 0.8 | 3.3 |
| P2 | 0.0 | 38.1 | 23.0 | 13.5 | 7.9 | 11.9 | 5.6 | 0.0 | 3.5 |
| M1 | 0.0 | 12.9 | 31.3 | 22.1 | 18.4 | 8.6 | 5.5 | 1.2 | 3.0 |
| M2 | 1.4 | 17.7 | 34.0 | 28.6 | 9.5 | 3.4 | 5.4 | 0.0 | 3.6 |
| M3 | 20.8 | 16.9 | 45.5 | 7.8 | 5.2 | 2.6 | 1.3 | 0.0 | 2.7 |
| I1 | 1.1 | 8.0 | 39.8 | 21.6 | 18.2 | 8.0 | 3.4 | 0.0 | 3.9 |
| I2 | 1.7 | 29.4 | 25.2 | 19.3 | 18.5 | 4.2 | 1.7 | 0.0 | 3.4 |
| C | 6.1 | 15.6 | 30.6 | 18.4 | 18.4 | 4.1 | 6.1 | 0.7 | 3.6 |
| P1 | 1.6 | 25.0 | 26.1 | 25.5 | 7.6 | 10.3 | 3.3 | 0.5 | 3.5 |
| P2 | 4.2 | 34.2 | 22.1 | 23.2 | 6.3 | 6.8 | 3.2 | 0.0 | 3.3 |
| M1 | 0.5 | 9.0 | 29.7 | 26.4 | 16.5 | 10.4 | 6.6 | 0.9 | 4.0 |
| M2 | 1.1 | 8.2 | 31.3 | 33.0 | 12.1 | 9.3 | 3.8 | 1.1 | 3.9 |
| M3 | 13.6 | 12.6 | 30.1 | 18.4 | 12.6 | 5.8 | 5.8 | 1.0 | 3.4 |
| 上颌Upper jaw | I1 | I2 | C | P1 | P2 | M1 | M2 | M3 |
|---|---|---|---|---|---|---|---|---|
| n | 108 | 127 | 181 | 180 | 182 | 191 | 167 | 110 |
| 3.1 | 2.4 | 3.4 | 3.3 | 3.5 | 3.0 | 3.6 | 2.7 | |
| S | 1.22 | 1.42 | 1.30 | 1.55 | 1.58 | 1.42 | 1.31 | 1.29 |
| 下颌Lower jaw | I1 | I2 | C | P1 | P2 | M1 | M2 | M3 |
| n | 139 | 176 | 206 | 222 | 234 | 235 | 213 | 145 |
| 3.9 | 3.4 | 3.6 | 3.5 | 3.3 | 4.0 | 3.9 | 3.4 | |
| S | 1.32 | 1.33 | 1.50 | 1.44 | 1.35 | 1.40 | 1.31 | 1.68 |
Tab.3 Number of specimen,mean degrees and standard deviation of tooth wear degrees of Wanggou population
| 上颌Upper jaw | I1 | I2 | C | P1 | P2 | M1 | M2 | M3 |
|---|---|---|---|---|---|---|---|---|
| n | 108 | 127 | 181 | 180 | 182 | 191 | 167 | 110 |
| 3.1 | 2.4 | 3.4 | 3.3 | 3.5 | 3.0 | 3.6 | 2.7 | |
| S | 1.22 | 1.42 | 1.30 | 1.55 | 1.58 | 1.42 | 1.31 | 1.29 |
| 下颌Lower jaw | I1 | I2 | C | P1 | P2 | M1 | M2 | M3 |
| n | 139 | 176 | 206 | 222 | 234 | 235 | 213 | 145 |
| 3.9 | 3.4 | 3.6 | 3.5 | 3.3 | 4.0 | 3.9 | 3.4 | |
| S | 1.32 | 1.33 | 1.50 | 1.44 | 1.35 | 1.40 | 1.31 | 1.68 |
| 样本组Samples | I1/M1 | I1-C/M1-M3 | |||
|---|---|---|---|---|---|
| 上颌Upper jaw | 下颌Lower jaw | 上颌Upper jaw | 下颌Lower jaw | ||
| 汪沟Wanggou | 1.03 | 0.98 | 0.96 | 0.96 | |
| 新疆合并Xinjiang | 0.83 | 0.82 | 1.03 | 0.99 | |
| 水泉Shuiquan | 0.66 | 0.70 | 0.82 | 0.82 | |
| 饮牛沟Yinniugou | 0.61 | 0.64 | 0.77 | 0.83 | |
| 青龙泉Qinglongquan | 0.76 | 0.93 | 0.90 | 1.05 | |
| 游邀Youyao | 0.62 | 0.80 | 1.00 | 0.98 | |
| 下王岗Xiawanggang | 0.76 | 0.82 | 0.97 | 0.98 | |
| 西山Xishan | 1.11 | 0.74 | 1.35 | 0.98 | |
Tab.4 The indices representing tooth wear differences between anterior and posterior teeth
| 样本组Samples | I1/M1 | I1-C/M1-M3 | |||
|---|---|---|---|---|---|
| 上颌Upper jaw | 下颌Lower jaw | 上颌Upper jaw | 下颌Lower jaw | ||
| 汪沟Wanggou | 1.03 | 0.98 | 0.96 | 0.96 | |
| 新疆合并Xinjiang | 0.83 | 0.82 | 1.03 | 0.99 | |
| 水泉Shuiquan | 0.66 | 0.70 | 0.82 | 0.82 | |
| 饮牛沟Yinniugou | 0.61 | 0.64 | 0.77 | 0.83 | |
| 青龙泉Qinglongquan | 0.76 | 0.93 | 0.90 | 1.05 | |
| 游邀Youyao | 0.62 | 0.80 | 1.00 | 0.98 | |
| 下王岗Xiawanggang | 0.76 | 0.82 | 0.97 | 0.98 | |
| 西山Xishan | 1.11 | 0.74 | 1.35 | 0.98 | |
| 年龄组Age | 男性Male(n) | 女性Female(n) | 总计Total(n) |
|---|---|---|---|
| 青年组Youth | 1 | 2 | 3 |
| 壮年组Prime | 6 | 8 | 14 |
| 中年组Middle | 3 | 4 | 7 |
Tab.5 Relationship between deep overbite and age
| 年龄组Age | 男性Male(n) | 女性Female(n) | 总计Total(n) |
|---|---|---|---|
| 青年组Youth | 1 | 2 | 3 |
| 壮年组Prime | 6 | 8 | 14 |
| 中年组Middle | 3 | 4 | 7 |
| 年龄组 Age | 患龋人数n of incidence | 总人数n of samples | 患龋牙数n of dental caries teeth | 总牙数n of teeth | 患龋率prevalence rate | 龋齿率dental caries rate |
|---|---|---|---|---|---|---|
| 未成年组Juvenile | 5 | 9 | 33 | 151 | 55.56% | 21.85% |
| 青年组Youth | 22 | 27 | 153 | 620 | 81.48% | 24.68% |
| 壮年组 Prime | 49 | 70 | 295 | 1673 | 70.00% | 17.63% |
| 中年组 Middle | 41 | 62 | 247 | 343 | 66.13% | 72.01% |
| 老年组 Old | 0 | 1 | 0 | 0 | 0.00% | 0.00% |
| 不详unknown | 3 | 5 | 20 | 29 | 60.00% | 68.97% |
| 总计 Total | 120 | 174 | 748 | 2816 | 68.97% | 26.56% |
Tab.6 The prevalence rate and the dental caries rate of obituary age
| 年龄组 Age | 患龋人数n of incidence | 总人数n of samples | 患龋牙数n of dental caries teeth | 总牙数n of teeth | 患龋率prevalence rate | 龋齿率dental caries rate |
|---|---|---|---|---|---|---|
| 未成年组Juvenile | 5 | 9 | 33 | 151 | 55.56% | 21.85% |
| 青年组Youth | 22 | 27 | 153 | 620 | 81.48% | 24.68% |
| 壮年组 Prime | 49 | 70 | 295 | 1673 | 70.00% | 17.63% |
| 中年组 Middle | 41 | 62 | 247 | 343 | 66.13% | 72.01% |
| 老年组 Old | 0 | 1 | 0 | 0 | 0.00% | 0.00% |
| 不详unknown | 3 | 5 | 20 | 29 | 60.00% | 68.97% |
| 总计 Total | 120 | 174 | 748 | 2816 | 68.97% | 26.56% |
| 患龋牙数Number of dental caries teeth | 牙位Tooth position | 口腔分区 Jaw | |||||||||
|---|---|---|---|---|---|---|---|---|---|---|---|
| 门齿Incisor | 犬齿Canine | 前臼齿 Premolars | 臼齿 Molars | 上颌Upper jaw | 下颌Lower jaw | ||||||
| I1 | I2 | C | P1 | P2 | M1 | M2 | M3 | ||||
| 患龋牙齿 | 748 | 34 | 40 | 49 | 65 | 86 | 164 | 184 | 126 | 334 | 414 |
| 总牙齿 | 2816 | 247 | 303 | 387 | 402 | 416 | 426 | 380 | 255 | 1246 | 1570 |
| 龋齿率 | 26.56% | 13.77% | 13.20% | 12.66% | 16.17% | 20.67% | 38.50% | 48.42% | 49.41% | 26.81% | 26.37% |
| 患龋率 | 100% | 4.55% | 5.35% | 6.55% | 8.69% | 11.50% | 21.93% | 24.60% | 16.84% | 44.65% | 55.35% |
Tab.7 The relationship between caries and tooth position
| 患龋牙数Number of dental caries teeth | 牙位Tooth position | 口腔分区 Jaw | |||||||||
|---|---|---|---|---|---|---|---|---|---|---|---|
| 门齿Incisor | 犬齿Canine | 前臼齿 Premolars | 臼齿 Molars | 上颌Upper jaw | 下颌Lower jaw | ||||||
| I1 | I2 | C | P1 | P2 | M1 | M2 | M3 | ||||
| 患龋牙齿 | 748 | 34 | 40 | 49 | 65 | 86 | 164 | 184 | 126 | 334 | 414 |
| 总牙齿 | 2816 | 247 | 303 | 387 | 402 | 416 | 426 | 380 | 255 | 1246 | 1570 |
| 龋齿率 | 26.56% | 13.77% | 13.20% | 12.66% | 16.17% | 20.67% | 38.50% | 48.42% | 49.41% | 26.81% | 26.37% |
| 患龋率 | 100% | 4.55% | 5.35% | 6.55% | 8.69% | 11.50% | 21.93% | 24.60% | 16.84% | 44.65% | 55.35% |
| 上颌颊侧面Buccal side of maxilla | 下颌舌侧面Lingual side of mandible | 总计Total | 出现率Frequncy | |
|---|---|---|---|---|
| 轻度Low grade | 1 | 2 | 3 | 1.7% |
| 中度Middle grade | 0 | 2 | 2 | 1.1% |
| 重度Severe grade | 0 | 4 | 4 | 2.3% |
| 总计Total | 1 | 8 | 9 | 5.2% |
Tab.8 The pronounced exostoses of Wanggou population
| 上颌颊侧面Buccal side of maxilla | 下颌舌侧面Lingual side of mandible | 总计Total | 出现率Frequncy | |
|---|---|---|---|---|
| 轻度Low grade | 1 | 2 | 3 | 1.7% |
| 中度Middle grade | 0 | 2 | 2 | 1.1% |
| 重度Severe grade | 0 | 4 | 4 | 2.3% |
| 总计Total | 1 | 8 | 9 | 5.2% |
| 样本组Samples | 上颌 Upper jaw | 下颌 Lower jaw | ||||||||||||||
|---|---|---|---|---|---|---|---|---|---|---|---|---|---|---|---|---|
| I1 | I2 | C | P1 | P2 | M1 | M2 | M3 | I1 | I2 | C | P1 | P2 | M1 | M2 | M3 | |
| 汪沟Wanggou | 3.1 | 2.4 | 3.4 | 3.3 | 3.5 | 3.0 | 3.6 | 2.7 | 3.9 | 3.4 | 3.6 | 3.5 | 3.3 | 4.0 | 3.9 | 3.4 |
| 新疆合并Xinjiang | 4.4 | 3.8 | 3.8 | 3.7 | 4.3 | 5.3 | 3.8 | 2.5 | 4.1 | 3.9 | 4.0 | 3.6 | 3.6 | 5.0 | 4.0 | 3.1 |
| 水泉Shuiquan | 3.9 | 3.6 | 3.6 | 3.9 | 3.9 | 5.9 | 4.7 | 3.0 | 3.8 | 3.8 | 3.1 | 4.0 | 3.9 | 5.4 | 4.5 | 3.1 |
| 饮牛沟Yinniugou | 3.1 | 3.0 | 3.8 | 3.6 | 3.8 | 5.1 | 4.3 | 3.5 | 3.2 | 3.4 | 3.5 | 3.5 | 3.3 | 5.0 | 4.5 | 2.7 |
| 青龙泉Qinglongquan | 3.4 | 2.8 | 3.2 | 3.3 | 3.0 | 4.5 | 3.5 | 2.5 | 3.9 | 3.7 | 3.6 | 3.2 | 2.9 | 4.2 | 3.7 | 2.8 |
| 游邀Youyao | 3.1 | 3.6 | 4.3 | 4.5 | 4.5 | 5.0 | 3.5 | 2.5 | 4.1 | 3.9 | 4.1 | 4.4 | 4.0 | 5.1 | 4.6 | 2.6 |
Tab.9 The average tooth wears for the five groups
| 样本组Samples | 上颌 Upper jaw | 下颌 Lower jaw | ||||||||||||||
|---|---|---|---|---|---|---|---|---|---|---|---|---|---|---|---|---|
| I1 | I2 | C | P1 | P2 | M1 | M2 | M3 | I1 | I2 | C | P1 | P2 | M1 | M2 | M3 | |
| 汪沟Wanggou | 3.1 | 2.4 | 3.4 | 3.3 | 3.5 | 3.0 | 3.6 | 2.7 | 3.9 | 3.4 | 3.6 | 3.5 | 3.3 | 4.0 | 3.9 | 3.4 |
| 新疆合并Xinjiang | 4.4 | 3.8 | 3.8 | 3.7 | 4.3 | 5.3 | 3.8 | 2.5 | 4.1 | 3.9 | 4.0 | 3.6 | 3.6 | 5.0 | 4.0 | 3.1 |
| 水泉Shuiquan | 3.9 | 3.6 | 3.6 | 3.9 | 3.9 | 5.9 | 4.7 | 3.0 | 3.8 | 3.8 | 3.1 | 4.0 | 3.9 | 5.4 | 4.5 | 3.1 |
| 饮牛沟Yinniugou | 3.1 | 3.0 | 3.8 | 3.6 | 3.8 | 5.1 | 4.3 | 3.5 | 3.2 | 3.4 | 3.5 | 3.5 | 3.3 | 5.0 | 4.5 | 2.7 |
| 青龙泉Qinglongquan | 3.4 | 2.8 | 3.2 | 3.3 | 3.0 | 4.5 | 3.5 | 2.5 | 3.9 | 3.7 | 3.6 | 3.2 | 2.9 | 4.2 | 3.7 | 2.8 |
| 游邀Youyao | 3.1 | 3.6 | 4.3 | 4.5 | 4.5 | 5.0 | 3.5 | 2.5 | 4.1 | 3.9 | 4.1 | 4.4 | 4.0 | 5.1 | 4.6 | 2.6 |
| [1] | Scott R, Turner C. Dental anthropology[J]. Ann. Rev. Anthropol, 1988(17): 99-126 |
| [2] | De Castro JMB, Martinon-Torres M, Sarmiento S, et al. Rates of anterior toothwear inMiddle Pleistocene hominins from Sima de los Huesos(Sierra de Atapuerca,Spain)[J]. PNAS, 2003(100): 11992-11996 |
| [3] | Broca P. Instructions relatives à l’étude anthropolique du systeme dentaire[J]. Bulletins de la Societé d’ Anthropologie de Paris, 1879(3): 128-152 |
| [4] | Miles AEW. The dentition in the assessment of individual age in skeletal material[A]//Brothwell DR (ed.). Dental Anthropology[C]. Oxford: Pergamon Press, 1963, 191-209 |
| [5] | Smith BH. Patterns of molar wear in hunter-gatherers and agriculturalists[J]. American Journal of Physical Anthropology, 1984(63): 39-56 |
| [6] | Lovejoy CO. Dental wear in the Libben population: Its functional pattern and role in the determination of adult skeletal age at death[J]. American Journal of Physical Anthropology, 1985(68): 47-56 |
| [7] | 吴汝康, 柏蕙英. 华北人颅骨臼齿磨耗的年龄变化[J]. 古脊椎动物与古人类, 1965, 9(2): 217-222 |
| [8] | 莫世泰, 彭书琳. 对华南人颅骨臼齿磨耗与年龄变化关系的研究[J]. 广西医学院学报, 1983(1): 23-29 |
| [9] | 刘武, 张全超, 吴秀杰, 等. 新疆及内蒙古地区青铜-铁器时代居民牙齿磨耗及健康状况的分析[J]. 人类学学报, 2005, 24(1): 32-53 |
| [10] | 周蜜, 潘雷, 邢松, 等. 湖北郧县青龙泉新石器时代居民牙齿磨耗及健康状况[J]. 人类学学报, 2013, 32(3): 333-336 |
| [11] | 张全超, 张雯欣, 王龙, 等. 新疆吐鲁番加依墓地青铜—早期铁器时代居民牙齿磨耗研究[J]. 人类学学报, 2017, 36(4): 439-451 |
| [12] | 邓婉文. 军都山古代人群牙齿磨耗及其饮食[J]. 人类学学报, 2018, 37(1): 32-39 |
| [13] | 刘莉, 陈星灿. 中国考古学——旧石器时代晚期到早期青铜时代[M].北京:生活▪读书▪新知三联书店, 2017(1): 198-205 |
| [14] | 傅民魁. 口腔正畸学[M]. 北京: 人民卫生出版社, 2012(6): 262-267 |
| [15] | 郭丽娟, 徐燕, 陈光华. 复合树脂填充咬合面磨耗凹的临床观察[J]. 上海口腔医学, 2005, 14(5): 549-551 |
| [16] | 尉苗, 王涛, 赵丛苍, 等. 甘肃西山遗址早期秦人的饮食与口腔健康[J]. 人类学学报, 2009, 28(1): 45-56 |
| [17] | 刘学堂, 李溯源. 新疆伊犁河流域考古新发现[J]. 西域研究, 2002(1): 109-110 |
| [18] | 新疆吐鲁番学研究院,新疆文物考古研究所. 新疆鄯善洋海墓地发掘报告[J]. 考古学报, 2011(1): 99-150 |
| [19] | 新疆文物考古研究所. 新疆尉犁县营盘墓地1999年发掘简报[J]. 考古, 2002(6): 58-74 |
| [20] | 内蒙古自治区文物考古研究所. 凉城县水泉东周墓地发掘简报[J]. 草原文物, 2012(1): 17-26 |
| [21] | 内蒙古文物考古研究所,日本京都中国考古学研究会(编著),田广金,秋山进午(主编). 饮牛沟墓地1997年发掘报告[M]. 北京: 科学出版社, 2001, 278-327 |
| [22] | 朱俊英. 郧县青龙泉新石器时代遗址[A]. 见:2011年中国考古学年鉴.北京:文物出版社, 2011, 30-308 |
| [23] | 沂州考古队. 山西沂州市游邀遗址发掘简报[J]. 考古, 1989(4): 289-299 |
| [24] | 杜百廉, 范天生. 下王岗原始社会遗址人骨的研究[A]. 见:河南省文物研究所,长江流域规划办公室考古队河南分队编.淅川下王岗.北京:文物出版社, 1989, 421-428 |
| [25] | 赵丛苍, 王志友, 侯红伟. 甘肃礼县西山遗址发掘取得重要收获[N]. 中国文物报, 2008(2) |
| [26] | 凌雪. 秦人食谱研究[D]. 西安:西北大学博士学位论文, 2010, 45-58 |
| [27] | 张雪莲, 仇士华, 钟建, 等. 中原地区几处仰韶文化时期考古遗址的人类食物状况分析[J]. 人类学学报, 2010, 29(2): 197-207 |
| [28] | 郭宏, 刘洪臣. 牙齿磨耗及其并发症[J]. 中华老年口腔医学杂志, 2003, 1(2): 109-111 |
| [29] | [英]夏洛特·罗伯茨 基思·曼彻斯特 张桦. 疾病考古学[M]. 济南: 山东画报出版社, 2010, 73 |
| [30] |
Newbrun E. Sugar and dental caries: A review of human studies[J]. Science, 1982, 217(4558): 418-423
doi: 10.1126/science.7046052 URL pmid: 7046052 |
| [31] | Larsen CS. Biological changes in human populations with agriculture[J]. Annual Review of Anthropology, 1995(24): 185-213 |
| [32] | Pechenkina EA, Benfer Jr RA, Wang ZJ. Diet and health changes at the end of the Chinese Neolithic: The Yangshao-Longshan transition in Shaanxi province[J]. American Journal of Physical Anthropology, 2002(117): 15-36 |
| [33] | Turner C. Dental anthropological indications of agriculture among the Jomon people of central Japan[J]. Phys Anthropol, 1979(51): 619-635 |
| [34] | 周亚威, 王一鸣, 顾万发, 等. 5000年前郑州汪沟人群的龋病研究[J]. 实用口腔医学杂志, 2020, 36(1): 54-58 |
| [35] | 刘东兴. 郑州大河村遗址仰韶时期生产工具的初步研究[J]. 华夏文明, 2018(10): 17-21 |
| [1] | CHEN Feng, ZENG Yuxin, FU Chang, ZHANG Hailong, WANG Bo, XIAO Xiaoyong, LI Haijun. Tooth wear among the second phase residents of the Zaghunluq Cemetery in Qiemo County, Xinjiang [J]. Acta Anthropologica Sinica, 2024, 43(02): 273-286. |
| [2] | CHEN Xiaoying, YOU Haijie, SONG Meiling, GUO Mingxiao, XIAO Yuni, ZENG Wen. Oral health of prehistoric inhabitants from the Ganzao site, Guangxi [J]. Acta Anthropologica Sinica, 2023, 42(01): 98-109. |
| [3] | HOU Yanfeng, ZHANG Jian, CAO Yanpeng, JIN Songan. Faunal remains of the Yangshao period from the Gouwan site, Xichuan county, Henan province [J]. Acta Anthropologica Sinica, 2022, 41(05): 913-926. |
| [4] | HE Jianing, LI Nan, ZHANG Chi. Bioarchaeology of Neolithic Yangshao human skeletal remains from Baligang, Dengzhou: A diachronic approach [J]. Acta Anthropologica Sinica, 2022, 41(04): 686-697. |
| [5] | YANG Fan, GU Wanfa, DUAN Qimeng, ZHENG Xiaoqu, JIA Yin, JIN Guiyun. Phytolith from the Wanggou site in Zhengzhou, Henan [J]. Acta Anthropologica Sinica, 2022, 41(03): 429-438. |
| [6] | YUAN Haibing, GU Wanfa, WEI Qingli, WU Qian, DING Lanpo, CAO Doudou. Analysis of dental caries in the Yangshao population at the Qingtai site, Zhengzhou city [J]. Acta Anthropologica Sinica, 2022, 41(02): 226-237. |
| [7] | YI Wenwen, WEI Xingtao, YANG Yuzhang, YAO Ling, LAN Wanli, ZHANG Xiaohu, ZHANG Juzhong. An analysis of the starch grains from the Zhangwangzhuang site of early Yangshao culture [J]. Acta Anthropologica Sinica, 2021, 40(05): 867-878. |
| [8] | ZHOU Yawei, ZHANG Xiaoran, GU Wanfa. A study of skull morphology of Yangshao Culture residents from the Sunzhuang site in Zhengzhou [J]. Acta Anthropologica Sinica, 2021, 40(04): 611-627. |
| [9] | LEI Shuai, CHEN Liang, ZHAI Linlin. A study on the characteristics of prehistoric deciduous teeth of infants in Yuhuazhai village, Xi’an [J]. Acta Anthropologica Sinica, 2021, 40(02): 208-225. |
| [10] | ZHANG Yajun, TONG Tao, LI Linhui, Trinle Tsering. The relationship between tooth wear and diet of the Gurugyam people in Tibet [J]. Acta Anthropologica Sinica, 2019, 38(01): 107-118. |
| [11] | DENG Wanwen. Tooth wear and the related diet of the Jundushan pastoralists [J]. Acta Anthropologica Sinica, 2018, 37(01): 29-40. |
| [12] | ZHANG Quanchao, ZHANG Wenxin, WANG Long, XIAO Guoqiang, ZHU Hong. The tooth wear of the Bronze-Iron Age’s population from Jiayi cemetery in Turpan depression, Xinjiang province [J]. Acta Anthropologica Sinica, 2017, 36(04): 438-456. |
| [13] | HE Letian, ZHU Hong, LI Wengying, Idriss. Oral Heath and Diet of the Xiaohe Cemetery Populations in Lop Nur, Xinjiang Province [J]. Acta Anthropologica Sinica, 2014, 33(04): 497-509. |
| [14] | ZHOU Mi; PAN Lei; XING Song; LIU Wu. Tooth wear and health conditions of the Neolithic population of Qinglongquan, Yunxian, Hubei Province [J]. Acta Anthropologica Sinica, 2013, 32(03): 330-344. |
| [15] | CHEN Wei-ju; LI Fa-jun. Study of tooth wear and caries of teeth unearthed from the Liyudun site [J]. Acta Anthropologica Sinica, 2013, 32(01): 45-51. |
| Viewed | ||||||
|
Full text |
|
|||||
|
Abstract |
|
|||||