Acta Anthropologica Sinica ›› 2023, Vol. 42 ›› Issue (01): 15-24.doi: 10.16359/j.1000-3193/AAS.2022.0059

• Research Articles • Previous Articles     Next Articles

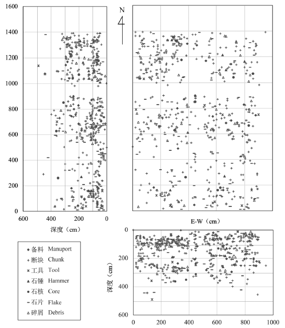
Paleolithic artifacts excavated from the Lyudouliang site at Yangxian County, Shaanxi Province

BIE Jingjing1,2,3(), XIA Nan4, WANG Shejiang1,2(), YI Shuangwen5, LU Huayu5, XIA Wenting6, ZHANG Gaike4, LI Jiameng1,2,3   

  1. 1. Key Laboratory of Vertebrate Evolution and Human Origins of Chinese Academy of Sciences, Institute of Vertebrate Paleontology and Paleoanthropology, Chinese Academy of Sciences, Beijing 100044
    2. CAS Center for Excellence in Life and Paleoenvironment, Beijing 100044
    3. University of Chinese Academy of Sciences, Beijing 100049
    4. Shaanxi Provincial Institute of Archaeology, Xi’an 710054
    5. School of Geography and Ocean Science, Nanjing University, Nanjing 210023
    6. School of History and Administration, Yunnan Normal University, Kunming 650500
  • Received:2022-01-04 Revised:2022-04-29 Online:2023-02-15 Published:2023-02-20

Abstract:

Lyudouliang site is located on the fourth terrace of the Jinshui River, a left tributary on the north side of the Hanjiang River in Yangxian County, the Qinling Mountains region, central China. In order to cooperate with the national key construction project “Hanjiang River to Weihe River Water Diversion Project”, a systematic archaeological excavation was carried out from 2014 to 2015. 626 lithic artifacts were yielded within an exposed area of 126 m2, and another 30 lithic artifacts found in the surrounding area of the site. Lithic analysis shows that early hominin used local fluvial cobbles/pebbles for knapping artifacts. Quartz and quartzite were the most frequently used raw materials, followed by siliceous limestone, quartzite sandstone, and granite. The principal flake knapping method is hard hammer percussion. The lithic assemblage consists of hammer stones, cores, flakes, retouched tools, chunks and debris. The retouched tools are comprised of small tools made of flakes and chunks (i.e. scrapers, borer), and heavy-duty tools (i.e. choppers, heavy-duty scrapers). Based on the dating results and stratigraphic correlation with the Jinshuihekou site located at the same terrace, the age of the Lyudouliang site is constrained to the Middle Pleistocene. It reveals that the open-air sites in the Hanzhong Basin show the similar typo- and technol- features of the lithic assemblage. The small tools predominate in the tool assemblage until the middle and late Middle Pleistocene to the early Late Pleistocene.

Key words: Lyudouliang site, Middle Pleistocene, Jinshui River, Yangxian County, Qinling Mountains region

CLC Number: