Acta Anthropologica Sinica ›› 2024, Vol. 43 ›› Issue (01): 91-105.doi: 10.16359/j.1000-3193/AAS.2023.0042
• Research Articles • Previous Articles Next Articles
WANG Xiaomin1(
), LIU Lianqiang2(
), CHEN Guopeng3, LI Feng4, XIE Fei2, GAO Xing5,6
Received:2023-05-31
Online:2024-02-15
Published:2024-02-06
CLC Number:
WANG Xiaomin, LIU Lianqiang, CHEN Guopeng, LI Feng, XIE Fei, GAO Xing. Behavior of the ancient humans as reflected by the broken long bones of mammals from the Majuangou site, Nihewan Basin[J]. Acta Anthropologica Sinica, 2024, 43(01): 91-105.
Add to citation manager EndNote|Ris|BibTeX
URL: https://www.anthropol.ac.cn/EN/10.16359/j.1000-3193/AAS.2023.0042
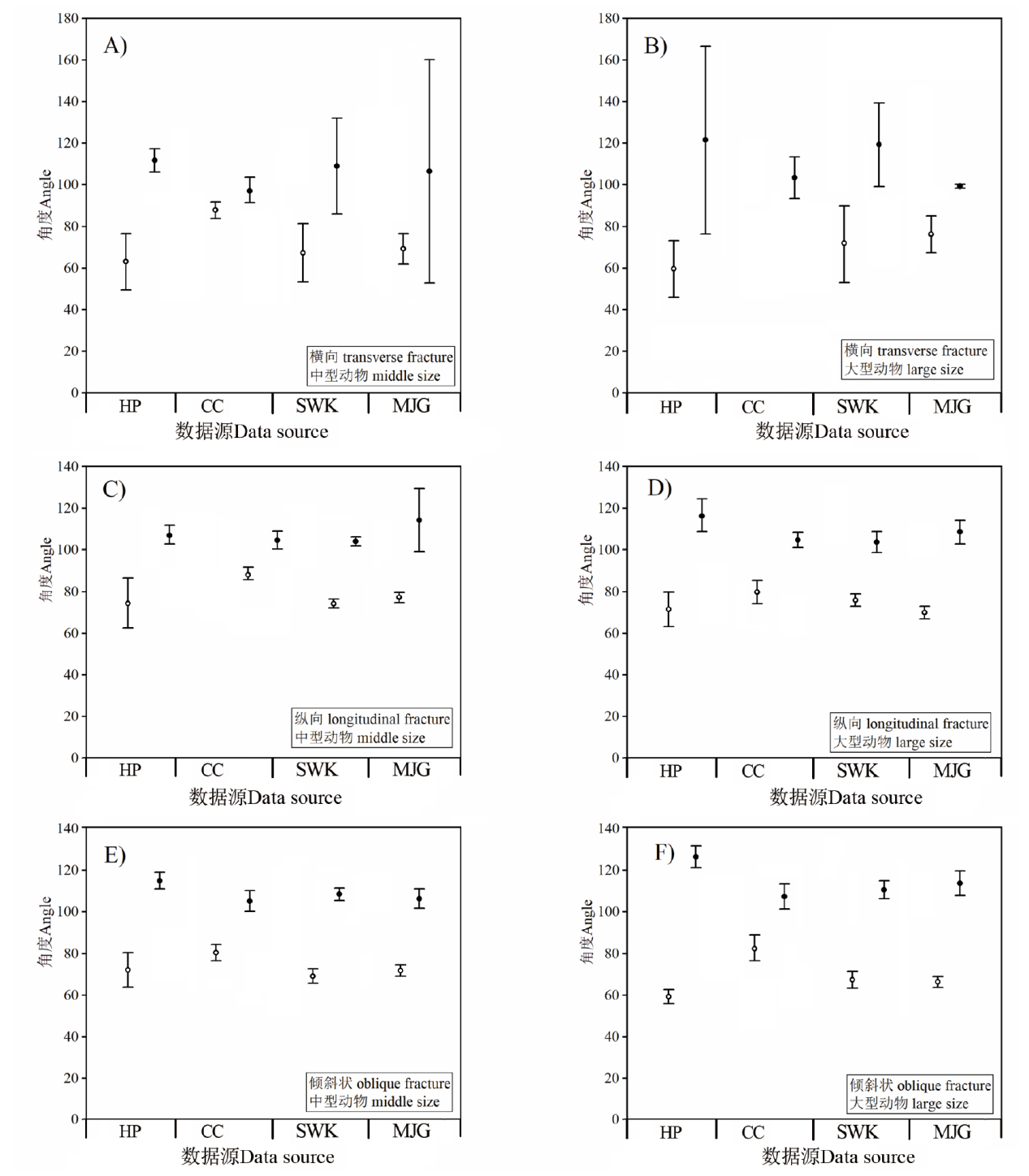
| 角度Fracture angle→ | 中型动物Middle size | 大型动物Large size | ||||
|---|---|---|---|---|---|---|
| 类型Fracture type↓ | <90° | >90° | <90° | >90° | ||
| 倾斜状断口Oblique fracture | 数量n | 187 | 13 | 221 | 9 | |
| 平均值Mean | 69.11° | 106.38° | 66.34° | 113.78° | ||
| 标准差SD | 10.63 | 9.38 | 10.88 | 9.48 | ||
| 95%置信范围CI | 65.62°~72.6° | 101.75°~111.02° | 63.71°~68.98° | 107.9°~119.66° | ||
| 横向断口Transverse fracture | 数量n | 12 | 2 | 14 | 3 | |
| 平均值Mean | 69.31° | 106.5° | 76.25° | 99.33° | ||
| 标准差SD | 14.05 | 12.02 | 7.5 | 0.58 | ||
| 95%置信范围CI | 62.02°~76.59° | 52.83°~160.17° | 67.42°~85.08° | 98.36°~100.31° | ||
| 纵向断口Longitudinal fracture | 数量n | 81 | 8 | 29 | 9 | |
| 平均值Mean | 77.2° | 114.38° | 69.95° | 108.67° | ||
| 标准差SD | 2.59 | 22.6 | 9.51 | 9.19 | ||
| 95%置信范围CI | 74.73°~79.67° | 99.24°~129.51° | 66.94°~72.95° | 102.97°~114.36° | ||
Tab.1 The statistical results of fracture angles of green bones from Majuangou 3
| 角度Fracture angle→ | 中型动物Middle size | 大型动物Large size | ||||
|---|---|---|---|---|---|---|
| 类型Fracture type↓ | <90° | >90° | <90° | >90° | ||
| 倾斜状断口Oblique fracture | 数量n | 187 | 13 | 221 | 9 | |
| 平均值Mean | 69.11° | 106.38° | 66.34° | 113.78° | ||
| 标准差SD | 10.63 | 9.38 | 10.88 | 9.48 | ||
| 95%置信范围CI | 65.62°~72.6° | 101.75°~111.02° | 63.71°~68.98° | 107.9°~119.66° | ||
| 横向断口Transverse fracture | 数量n | 12 | 2 | 14 | 3 | |
| 平均值Mean | 69.31° | 106.5° | 76.25° | 99.33° | ||
| 标准差SD | 14.05 | 12.02 | 7.5 | 0.58 | ||
| 95%置信范围CI | 62.02°~76.59° | 52.83°~160.17° | 67.42°~85.08° | 98.36°~100.31° | ||
| 纵向断口Longitudinal fracture | 数量n | 81 | 8 | 29 | 9 | |
| 平均值Mean | 77.2° | 114.38° | 69.95° | 108.67° | ||
| 标准差SD | 2.59 | 22.6 | 9.51 | 9.19 | ||
| 95%置信范围CI | 74.73°~79.67° | 99.24°~129.51° | 66.94°~72.95° | 102.97°~114.36° | ||
| [1] | Ardrey R. The Hunting Hypothesis[M]. New York: Bantam, 1976 |
| [2] | Binford LR. Bones, Ancient Men and Modern Myths[M]. Orlando: Academic Press, 1981 |
| [3] |
Blumenschine RJ. An experimental model of the timing of hominid and carnivore influence on archaeological bone assemblages[J]. Journal of Archaeological Science, 1988, 15(5): 483-502
doi: 10.1016/0305-4403(88)90078-7 URL |
| [4] |
Bunn HT. Archaeological evidence for meat-eating by Plio-Pleistocene hominids from Koobi Fora and Olduvai Gorge[J]. Nature, 1981, 291(5816): 574-577
doi: 10.1038/291574a0 |
| [5] |
Domínguez-Rodrigo M, Barba R. New estimates of tooth mark and percussion mark frequencies at the FLK Zinj site: the carnivore-hominid-carnivore hypothesis falsified[J]. Journal of Human Evolution, 2006, 50(2): 170-194
pmid: 16413934 |
| [6] |
Zhu RX, Potts R, Xie F, et al. New evidence on the earliest human presence at high northern latitudes in northeast Asia[J]. Nature, 2004, 431(7008): 559-562
doi: 10.1038/nature02829 |
| [7] |
Zhu Z, Dennell R, Huang W, et al. Hominin occupation of the Chinese Loess Plateau since about 2.1 million years ago[J]. Nature, 2018, 559(7715): 608-612
doi: 10.1038/s41586-018-0299-4 |
| [8] |
Shen G, Wang Y, Tu H, et al. Isochron 26Al/10Be burial dating of Xihoudu: Evidence for the earliest human settlement in northern China[J]. L'anthropologie, 2020, 124(5): 102790
doi: 10.1016/j.anthro.2020.102790 URL |
| [9] |
Ferring R, Oms O, Agustí J, et al. Earliest human occupations at Dmanisi (Georgian Caucasus) dated to 1.85-1.78 Ma[J]. Proceedings of the National Academy of Sciences, 2011, 108(26): 10432-10436
doi: 10.1073/pnas.1106638108 URL |
| [10] |
Gabunia L, Vekua A, Lordkipanidze D. The environmental contexts of early human occupation of Georgia (Transcaucasia)[J]. Journal of Human Evolution, 2000, 38(6): 785-802
pmid: 10835262 |
| [11] |
Zhu RX, Hoffman KA, Potts R, et al. Earliest presence of humans in northeast Asia[J]. Nature, 2001, 413(6854): 413-417
doi: 10.1038/35096551 |
| [12] |
Deng C, Wei Q, Zhu R, et al. Magnetostratigraphic age of the Xiantai Paleolithic site in the Nihewan Basin and implications for early human colonization of Northeast Asia[J]. Earth and Planetary Science Letters, 2006, 244(1-2): 336-348
doi: 10.1016/j.epsl.2006.02.001 URL |
| [13] |
Ao H, Deng C, Dekkers MJ, et al. Magnetic mineral dissolution in Pleistocene fluvio-lacustrine sediments, Nihewan Basin (North China)[J]. Earth and Planetary Science Letters, 2010, 292(1-2): 191-200
doi: 10.1016/j.epsl.2010.01.035 URL |
| [14] |
Wei G, Hu S, Yu K, et al. New materials of the steppe mammoth, Mammuthus trogontherii, with discussion on the origin and evolutionary patterns of mammoths[J]. Science China Earth Sciences, 2010, 53(7): 956-963
doi: 10.1007/s11430-010-4001-4 URL |
| [15] | 谢飞, 李珺, 刘连强. 泥河湾旧石器文化[M]. 石家庄: 花山文艺出版社, 2006 |
| [16] |
Dennell RW. The Nihewan Basin of North China in the Early Pleistocene: continuous and flourishing, or discontinuous, infrequent and ephemeral occupation?[J]. Quaternary International, 2013, 295: 223-236
doi: 10.1016/j.quaint.2012.02.012 URL |
| [17] |
Schick K, Toth N, Qi W, et al. Archaeological perspectives in the Nihewan basin, China[J]. Journal of Human Evolution, 1991, 21(1): 13-26
doi: 10.1016/0047-2484(91)90033-R URL |
| [18] | Peterson CE, Shen C, Chen C, et al. Taphonomy of an early Pleistocene archaeofauna from Xiaochangliang, Nihewan Basin, Northern China[A]. In: Shen C, Keates S(Eds). Current Research in Chinese Pleistocene Archaeology[C]. Oxford: Archaeopress, 2003: 83-98 |
| [19] | Keates SG. Evidence for the earliest Pleistocene hominid activity in the Nihewan Basin of northern China[J]. Quaternary International, 2010, 223: 408-417 |
| [20] | 蔡保全, 李强, 郑绍华. 泥河湾盆地马圈沟遗址化石哺乳动物及年代讨论[J]. 人类学学报, 2008, 27(2): 129-142 |
| [21] |
Liu C, Yin G, Deng C, et al. ESR dating of the Majuangou and Banshan Paleolithic sites in the Nihewan Basin, North China[J]. Journal of Human Evolution, 2014, 73: 58-63
doi: 10.1016/j.jhevol.2014.05.012 URL |
| [22] |
Duval M. Comments on “ESR dating of the Majuangou and Banshan Paleolithic sites in the Nihewan Basin, North China” by Liu et al. (2014)[J]. Journal of Human Evolution, 2016, 90: 198-202
doi: 10.1016/j.jhevol.2015.04.010 URL |
| [23] | Yang SX, Deng CL, Zhu RX, et al. The Paleolithic in the Nihewan Basin, China: Evolutionary history of an Early to Late Pleistocene record in Eastern Asia[J]. Evolutionary Anthropology: Issues, News, and Reviews, 2020, 29(3): 125-142 |
| [24] | 汤英俊, 李毅, 陈万勇. 河北阳原小长梁遗址哺乳类化石及其时代[J]. 古脊椎动物学报, 1995, 1: 74-83 |
| [25] | Costamagno S, Rigaud JP. L’exploitation de la graisse au Paléolithique[A]. In: Costamagno S(Ed). Histoire de l’alimentation humaine: entre choix et contraintes (édition électronique)[C]. París: CTHS, 2014, 134-152 |
| [26] |
Dominguez-Rodrigo M, Raynepickering T, Semaw S, et al. Cutmarked bones from Pliocene archaeological sites at Gona, Afar, Ethiopia: implications for the function of the world's oldest stone tools[J]. Journal of Human Evolution, 2005, 48(2): 109-121
doi: 10.1016/j.jhevol.2004.09.004 URL |
| [27] | Gifford-Gonzalez D. An Introduction to Zooarchaeology[M]. Springer Switzerland, 2018 |
| [28] | Norton CJ, 张双权, 张乐, 等. 上/更新世动物群中人类与食肉动物“印记”的识别[J]. 人类学学报, 2007, 26(2): 183-192 |
| [29] |
Domínguez-Rodrigo M, Yravedra J. Why are cut mark frequencies in archaeofaunal assemblages so variable? A multivariate analysis[J]. Journal of Archaeological Science, 2009, 36(3): 884-894
doi: 10.1016/j.jas.2008.11.007 URL |
| [30] |
Domínguez-Rodrigo M, Saladié P, Cáceres I, et al. Use and abuse of cut mark analyses: The Rorschach effect[J]. Journal of Archaeological Science, 2017, 86: 14-23
doi: 10.1016/j.jas.2017.08.001 URL |
| [31] |
Galán AB, Rodríguez M, De Juana S, et al. A new experimental study on percussion marks and notches and their bearing on the interpretation of hammerstone-broken faunal assemblages[J]. Journal of Archaeological Science, 2009, 36(3): 776-784
doi: 10.1016/j.jas.2008.11.003 URL |
| [32] |
Pickering TR, Domínguez Rodrigo M, Egeland CP, et al. The contribution of limb bone fracture patterns to reconstructing early hominid behaviour at Swartkrans Cave (South Africa): archaeological application of a new analytical method[J]. International Journal of Osteoarchaeology, 2005, 15(4): 247-260
doi: 10.1002/(ISSN)1099-1212 URL |
| [33] |
Coil R, Tappen M, Yezzi-Woodley K. New analytical methods for comparing bone fracture angles: A controlled study of hammerstone and hyena (Crocuta crocuta) long bone breakage[J]. Archaeometry, 2017, 59(5): 900-917
doi: 10.1111/arcm.v59.5 URL |
| [34] | 张双权. 河南许昌灵井动物群的埋藏学研究[D]. 北京: 中国科学院研究生院, 2009 |
| [35] | 张乐. 马鞍山遗址古人类行为的动物考古学研究[D]. 北京: 中国科学院研究生院, 2008 |
| [36] | 张双权, 彭菲, 张乐, 等. 宁夏鸽子山遗址第10地点出土动物骨骼的埋藏学初步观察[J]. 人类学学报, 2019, 38(2): 232-244 |
| [37] |
Wang XM, Xie F, Mei HJ, et al. Intensive exploitation of animal resources during Deglacial times in North China: a case study from the Yujiagou site[J]. Archaeological and Anthropological Sciences, 2019, 11: 4983-5000
doi: 10.1007/s12520-019-00852-1 |
| [38] | Lyman RL. Vertebrate Taphonomy[M]. Cambridge: Cambridge University Press, 1994 |
| [39] | Shipman P. Life history of a fossil: an introduction to taphonomy and paleoecology[M]. Cambridge: Harvard University Press, 1981 |
| [40] |
Villa P, Mahieu E. Breakage patterns of human long bones[J]. Journal of Human Evolution, 1991, 21(1): 27-48
doi: 10.1016/0047-2484(91)90034-S URL |
| [41] | White TD. Prehistoric cannibalism at Mancos 5MTUMR-2346[M]. Princeton: Princeton University Press, 1992 |
| [42] | Outram AK. The identification and palaeoeconomic context of prehistoric bone marrow and grease exploitation[D]. Durham: University of Durham, 1998 |
| [43] |
Outram AK. A new approach to identifying bone marrow and grease exploitation: why the “indeterminate” fragments should not be ignored[J]. Journal of Archaeological Science, 2001, 28(4): 401-410
doi: 10.1006/jasc.2000.0619 URL |
| [44] |
Sala M, Arsuaga JL, Martínez I, Gracia-Tellez A. Breakage patterns in Sima de los Huesos (Atapuerca, Spain) hominin sample[J]. Journal of Archaeological Science, 2015, 55: 113-121
doi: 10.1016/j.jas.2015.01.002 URL |
| [45] | Gifford-Gonzalez DP. Ethnographic analogues for interpreting modified bones: some cases from East Africa[A]. In: Bonnichsen R, Sorg M(Eds). Bone Modification, Center for the Study of the First Americans[C]. Orono: Maine, 1989, 179-246 |
| [46] |
Haynes G. Frequencies of spiral and green-bone fractures on ungulate limb bones in modern surface assemblages[J]. American Antiquity, 1983, 48(1): 102-114
doi: 10.2307/279822 URL |
| [47] | Dart RA. The Osteodontokeratic culture of Australopithecus Promethius: The primary and persistent role of the Osteodontokeratic element in lithic cultures[J]. Transvaal Museum Memoirs, 1957, 10(1): 10-20 |
| [48] |
Dart RA. Further light on australopithecine humeral and femoral weapons[J]. American Journal of Physical Anthropology, 1959, 17(2): 87-93
pmid: 13814156 |
| [49] | Bonnichsen R. Bone modification, Center for the Study of the First Americans[M]. Orono: University of Maine, 1989 |
| [50] |
Haynes G. Frequencies of spiral and green-bone fractures on ungulate limb bones in modern surface assemblages[J]. American Antiquity, 1983, 48(1): 102-114
doi: 10.2307/279822 URL |
| [51] | Johnson E. Current developments in bone technology[A]. In: Schiffer MB(Ed). Advances in archaeological method and theory[C]. New York: Elsevier, 1985: 157-235 |
| [52] |
Capaldo SD, Blumenschine RJ. A quantitative diagnosis of notches made by hammerstone percussion and carnivore gnawing on bovid long bones[J]. American Antiquity, 1994, 59(4): 724-748
doi: 10.2307/282345 URL |
| [53] | Alcántara-García V, Barba Egido R, Barral Del Pino JM, et al. Determinación de procesos de fractura sobre huesos: un sistema de análisis de los ángulos de los planos de fracturación como discriminador de agentes bióticos[J]. Trabajos De Prehistoria, 2006, 61(1): 25-38 |
| [54] |
De Juana S, Domínguez Rodrigo M. Testing analogical taphonomic signatures in bone breaking: a comparison between hammerstone-broken equid and bovid bones[J]. Archaeometry, 2011, 53(5): 996-1011
doi: 10.1111/arcm.2011.53.issue-5 URL |
| [55] | Brain CK. The Hunters or the Hunted: An Introduction to African Cave Taphonomy[M]. Chicago: University of Chicago Press, 1981 |
| [56] |
Behrensmeyer AK. Taphonomic and ecologic information from bone weathering[J]. Paleobiology, 1978, 4(2): 150-162
doi: 10.1017/S0094837300005820 URL |
| [57] |
Domínguez-Rodrigo M, Yravedra J, Organista E, et al. A new methodological approach to the taphonomic study of paleontological and archaeological faunal assemblages: a preliminary case study from Olduvai Gorge (Tanzania)[J]. Journal of Archaeological Science, 2015, 59: 35-53
doi: 10.1016/j.jas.2015.04.007 URL |
| [58] |
Moclán A, Domínguez-Rodrigo M, Yravedra J. Classifying agency in bone breakage: an experimental analysis of fracture planes to differentiate between hominin and carnivore dynamic and static loading using machine learning (ML) algorithms[J]. Archaeological and Anthropological Sciences, 2019, 11(9): 4663-4680
doi: 10.1007/s12520-019-00815-6 |
| [1] | HU Haiqian, HUANG Wanbo, WEI Guangbiao, DAI Hui, XIONG Can, HE Shuxing, JIANG Tao. Gigantopithecus blacki discovered in the Early Pleistocene strata of Wulong, Chongqing [J]. Acta Anthropologica Sinica, 2024, 43(05): 701-711. |
| [2] | REN Jincheng, LI Feng, CHEN Fuyou, GAO Xing. Core reduction technology of stone artifacts unearthed in 2015 from the Banjingzi site in Nihewan Basin [J]. Acta Anthropologica Sinica, 2024, 43(05): 712-726. |
| [3] | CHEN Yuzhi, WU Xianzhu. Paleoenvironment and survival behaviour of early hominin in the Three Gorges area and its surrounding regions [J]. Acta Anthropologica Sinica, 2024, 43(02): 287-297. |
| [4] | GAO Xing, ZHANG Yueshu, LI Feng, CHEN Fuyou, WANG Xiaomin, YI Mingjie. Preliminary Report on the 2016-2019 Excavation of the Donggutuo Paleolithic Site in the Nihewan Basin, North China [J]. Acta Anthropologica Sinica, 2024, 43(01): 106-121. |
| [5] | ZHAO Yunxiao, TONG Guang, TU Hua, ZHAO Hailong. Excavation report of the Shigou site C area in the Nihewan Basin, Hebei Province [J]. Acta Anthropologica Sinica, 2024, 43(01): 122-131. |
| [6] | WANG Fagang, YANG Shixia, GE Junyi, YUE Jianping, ZHAO Keliang, Andreu Ollé, LI Wenyan, YANG Haiyong, LIU Lianqiang, GUAN Ying, XIE Fei, Francesco d’Errico, Michael Petraglia, DENG Chenglong. A report of 2013 excavation of the Xiamabei site in the Nihewan Basin [J]. Acta Anthropologica Sinica, 2024, 43(01): 143-156. |
| [7] | ZHANG Zhen, WANG Ying, LI Yuecong. Research progress on the relationship between Paleolithic hominid activities and environmental changes in the Nihewan Basin [J]. Acta Anthropologica Sinica, 2024, 43(01): 184-198. |
| [8] | PEI Shuwen, XU Zhe, YE Zhi, MA Dongdong, JIA Zhenxiu. Human adaptive behaviors during the Middle Pleistocene Climatic Transition in the Nihewan Basin [J]. Acta Anthropologica Sinica, 2024, 43(01): 19-39. |
| [9] | LIU Lianqiang, PU Yuxiao, HOU Jiaqi, WANG Fagang. Stone artifacts from the Yuzuigou Locality 1 of the Majuangou Paleolithic site excavated in 2017 and 2018 [J]. Acta Anthropologica Sinica, 2024, 43(01): 40-54. |
| [10] | ZHOU Zhenyu, WANG Fagang, GUAN Ying. Stone artifacts unearthed in 1985 and 1986 from the Xibaimaying site of the Nihewan Basin, Hebei Province [J]. Acta Anthropologica Sinica, 2024, 43(01): 55-66. |
| [11] | TONG Guang, LI Feng, ZHAO Hailong, YAN Xiaomeng, GAO Xing. Heat treatment experiments on the volcanic breccia materials from the Nihewan Basin [J]. Acta Anthropologica Sinica, 2024, 43(01): 81-90. |
| [12] | DU Yuwei, ZHANG Yue, YE Zhi, PEI Shuwen. A taphonomic analysis of faunal remains from the Jijiazhuang Paleolithic site in the Yuxian Basin [J]. Acta Anthropologica Sinica, 2023, 42(03): 359-372. |
| [13] | FAN Wentian, YANG Xiaodong. A preliminary report on the excavation of Nanshangen Paleolithic Locality in the Nihewan Basin [J]. Acta Anthropologica Sinica, 2023, 42(02): 260-271. |
| [14] | ZHANG Yueshu, LI Feng, CHEN Fuyou, YI Mingjie, GAO Xing. Formation processes of Layer 6A2 of the Donggutuo site in the Nihewan Basin [J]. Acta Anthropologica Sinica, 2023, 42(01): 61-74. |
| [15] | WANG Xiaomin, WANG Fagang, CHEN Fuyou, LI Feng, GAO Xing. Exploitation strategy of animal resources by ancient humans at the Late Pleistocene site of Banjingzi, Nihewan basin [J]. Acta Anthropologica Sinica, 2022, 41(06): 1005-1016. |
| Viewed | ||||||
|
Full text |
|
|||||
|
Abstract |
|
|||||