Acta Anthropologica Sinica ›› 2024, Vol. 43 ›› Issue (03): 405-414.doi: 10.16359/j.1000-3193/AAS.2023.0064
• Research Articles • Previous Articles Next Articles
ZHOU Ligang1(
), CAO Yanpeng1, CHU Xiaolong2, SUN Lei1
Received:2023-04-14
Revised:2023-06-29
Online:2024-06-15
Published:2024-06-04
CLC Number:
ZHOU Ligang, CAO Yanpeng, CHU Xiaolong, SUN Lei. C and N stable isotopes of human remains from the Xiazhai site of Xichuan, Henan Province[J]. Acta Anthropologica Sinica, 2024, 43(03): 405-414.
Add to citation manager EndNote|Ris|BibTeX
URL: https://www.anthropol.ac.cn/EN/10.16359/j.1000-3193/AAS.2023.0064
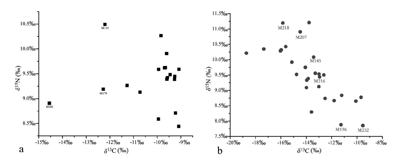
| 年代Date | 编号Sample No. | 性别Sex | 年龄Age | δ13C(‰) | C% | δ15N(‰) | N% | 胶原产出Collagen yield | C/N |
|---|---|---|---|---|---|---|---|---|---|
| 仰韶晚期Late Yangshao | M67 | 男? | 20± | -9.6‰ | 40.0% | 9.4‰ | 14.2% | 3.5% | 3.3 |
| M68 | 不详 | 成年 | -9.7‰ | 42.1% | 9.6‰ | 15.3% | 3.8% | 3.2 | |
| M71 | 不详 | 成年 | -9.8‰ | 42.0% | 10.3‰ | 15.2% | 2.4% | 3.2 | |
| M108 | 男? | 35± | -9.2‰ | 41.8% | 8.7‰ | 15.0% | 2.1% | 3.2 | |
| M115 | 男? | 50~55 | -12.2‰ | 43.0% | 10.5‰ | 15.4% | 4.0% | 3.3 | |
| M128 | 不详 | 成年 | -9.1‰ | 41.9% | 8.4‰ | 15.0% | 2.8% | 3.3 | |
| M129 | 男 | 35~40 | -9.9‰ | 40.5% | 9.6‰ | 14.5% | 1.8% | 3.3 | |
| M132 | 不详 | 成年 | -9.6‰ | 42.6% | 9.4‰ | 15.2% | 3.0% | 3.3 | |
| M138 | 不详 | 25~30 | -9.5‰ | 42.3% | 9.5‰ | 15.0% | 2.9% | 3.3 | |
| M143 | 男? | 成年 | -9.3‰ | 41.7% | 9.4‰ | 15.3% | 4.0% | 3.2 | |
| M146 | 不详 | 成年 | -9.7‰ | 44.6% | 9.6‰ | 15.9% | 4.7% | 3.3 | |
| M149 | 不详 | 成年 | -9.3‰ | 42.1% | 9.4‰ | 15.2% | 3.8% | 3.2 | |
| M152 | 男 | 35~40 | -9.1‰ | 41.8% | 9.6‰ | 15.1% | 3.8% | 3.2 | |
| M156 | 男 | 35± | -9.6‰ | 43.4% | 9.9‰ | 15.4% | 4.1% | 3.3 | |
| M179 | 男 | 成年 | -12.3‰ | 42.7% | 9.2‰ | 15.3% | 3.1% | 3.2 | |
| M182 | 男 | 25~30 | -14.5‰ | 43.1% | 8.9‰ | 15.5% | 1.1% | 3.2 | |
| M209 | 不详 | 25~30 | -9.9‰ | 42.1% | 8.6‰ | 15.0% | 2.9% | 3.3 | |
| M212 | 男? | 25± | -10.7‰ | 41.4% | 9.1‰ | 15.1% | 1.3% | 3.2 | |
| M213 | 女 | 35± | -11.3‰ | 42.5% | 9.3‰ | 15.1% | 4.1% | 3.3 | |
| 石家河Shijiahe | M86 | 不详 | 35± | -11.2‰ | 42.9% | 8.8‰ | 15.5% | 9.0% | 3.2 |
| M123 | 女? | 成年 | -13.0‰ | 39.9% | 9.1‰ | 14.4% | 6.7% | 3.2 | |
| M124 | 男? | 35± | -14.8‰ | 44.4% | 9.5‰ | 16.2% | 2.0% | 3.2 | |
| M126 | 男 | 40± | -12.9‰ | 39.8% | 9.4‰ | 14.3% | 10.8% | 3.2 | |
| M135 | 女 | 50± | -11.8‰ | 42.0% | 8.7‰ | 15.5% | 7.1% | 3.2 | |
| M137 | 男? | 35~40 | -14.0‰ | 43.9% | 9.1‰ | 15.7% | 8.9% | 3.3 | |
| M154 | 不详 | 8± | -13.6‰ | 42.9% | 8.3‰ | 15.2% | 5.0% | 3.3 | |
| M185 | 男 | 40± | -9.7‰ | 42.6% | 8.8‰ | 15.4% | 4.6% | 3.2 | |
| M187 | 不详 | 25± | -16.0‰ | 41.8% | 10.3‰ | 14.8% | 4.3% | 3.3 | |
| M190 | 女? | 30± | -16.0‰ | 42.6% | 10.3‰ | 15.2% | 5.7% | 3.3 | |
| M191 | 不详 | 不详 | -15.1‰ | 42.5% | 9.9‰ | 15.3% | 6.2% | 3.3 | |
| M193 | 不详 | 20± | -14.0‰ | 41.5% | 9.3‰ | 14.8% | 5.1% | 3.3 | |
| M194 | 不详 | 25± | -13.0‰ | 28.9% | 9.5‰ | 10.5% | 1.0% | 3.2 | |
| M196 | 不详 | 不详 | -11.3‰ | 42.2% | 7.9‰ | 15.3% | 8.5% | 3.2 | |
| M198 | 不详 | 成年 | -15.6‰ | 41.0% | 10.4‰ | 15.0% | 14.6% | 3.2 | |
| M200 | 不详 | 成年 | -12.6‰ | 42.7% | 9.5‰ | 15.5% | 12.2% | 3.2 | |
| M201 | 不详 | 成年 | -13.3‰ | 42.6% | 9.6‰ | 15.3% | 4.7% | 3.2 | |
| M203 | 男 | 20± | -17.3‰ | 42.9% | 10.3‰ | 15.2% | 3.9% | 3.3 | |
| M214 | 男 | 40± | -12.5‰ | 42.8% | 8.7‰ | 15.5% | 6.1% | 3.2 | |
| M215 | 女 | 35± | -14.1‰ | 42.4% | 9.7‰ | 15.5% | 7.1% | 3.2 | |
| M232 | 女 | 45± | -9.5‰ | 43.4% | 7.9‰ | 15.5% | 10.9% | 3.3 | |
| M239 | 男 | 60+ | -10.1‰ | 41.7% | 8.6‰ | 15.1% | 6.9% | 3.2 | |
| M66 | 男? | 25± | -13.8‰ | 60.1% | 11.2‰ | 21.7% | 7.5% | 3.2 | |
| M69 | 女? | 30± | -18.7‰ | 42.4% | 10.2‰ | 15.4% | 3.6% | 3.2 | |
| M145 | 不详 | 成年 | -13.4‰ | 42.3% | 10.1‰ | 15.3% | 2.6% | 3.2 | |
| M207 | 男 | 45~50 | -14.5‰ | 42.5% | 10.9‰ | 15.3% | 3.4% | 3.2 | |
| M216 | 男 | 30± | -13.8‰ | 43.6% | 9.4‰ | 15.2% | 2.0% | 3.3 | |
| M218 | 男 | 45± | -15.8‰ | 42.5% | 11.2‰ | 15.5% | 2.2% | 3.2 |
Tab.1 Stable carbon and nitrogen isotope values for the Yangshao and Shijiahe human bones from Xiazhai site
| 年代Date | 编号Sample No. | 性别Sex | 年龄Age | δ13C(‰) | C% | δ15N(‰) | N% | 胶原产出Collagen yield | C/N |
|---|---|---|---|---|---|---|---|---|---|
| 仰韶晚期Late Yangshao | M67 | 男? | 20± | -9.6‰ | 40.0% | 9.4‰ | 14.2% | 3.5% | 3.3 |
| M68 | 不详 | 成年 | -9.7‰ | 42.1% | 9.6‰ | 15.3% | 3.8% | 3.2 | |
| M71 | 不详 | 成年 | -9.8‰ | 42.0% | 10.3‰ | 15.2% | 2.4% | 3.2 | |
| M108 | 男? | 35± | -9.2‰ | 41.8% | 8.7‰ | 15.0% | 2.1% | 3.2 | |
| M115 | 男? | 50~55 | -12.2‰ | 43.0% | 10.5‰ | 15.4% | 4.0% | 3.3 | |
| M128 | 不详 | 成年 | -9.1‰ | 41.9% | 8.4‰ | 15.0% | 2.8% | 3.3 | |
| M129 | 男 | 35~40 | -9.9‰ | 40.5% | 9.6‰ | 14.5% | 1.8% | 3.3 | |
| M132 | 不详 | 成年 | -9.6‰ | 42.6% | 9.4‰ | 15.2% | 3.0% | 3.3 | |
| M138 | 不详 | 25~30 | -9.5‰ | 42.3% | 9.5‰ | 15.0% | 2.9% | 3.3 | |
| M143 | 男? | 成年 | -9.3‰ | 41.7% | 9.4‰ | 15.3% | 4.0% | 3.2 | |
| M146 | 不详 | 成年 | -9.7‰ | 44.6% | 9.6‰ | 15.9% | 4.7% | 3.3 | |
| M149 | 不详 | 成年 | -9.3‰ | 42.1% | 9.4‰ | 15.2% | 3.8% | 3.2 | |
| M152 | 男 | 35~40 | -9.1‰ | 41.8% | 9.6‰ | 15.1% | 3.8% | 3.2 | |
| M156 | 男 | 35± | -9.6‰ | 43.4% | 9.9‰ | 15.4% | 4.1% | 3.3 | |
| M179 | 男 | 成年 | -12.3‰ | 42.7% | 9.2‰ | 15.3% | 3.1% | 3.2 | |
| M182 | 男 | 25~30 | -14.5‰ | 43.1% | 8.9‰ | 15.5% | 1.1% | 3.2 | |
| M209 | 不详 | 25~30 | -9.9‰ | 42.1% | 8.6‰ | 15.0% | 2.9% | 3.3 | |
| M212 | 男? | 25± | -10.7‰ | 41.4% | 9.1‰ | 15.1% | 1.3% | 3.2 | |
| M213 | 女 | 35± | -11.3‰ | 42.5% | 9.3‰ | 15.1% | 4.1% | 3.3 | |
| 石家河Shijiahe | M86 | 不详 | 35± | -11.2‰ | 42.9% | 8.8‰ | 15.5% | 9.0% | 3.2 |
| M123 | 女? | 成年 | -13.0‰ | 39.9% | 9.1‰ | 14.4% | 6.7% | 3.2 | |
| M124 | 男? | 35± | -14.8‰ | 44.4% | 9.5‰ | 16.2% | 2.0% | 3.2 | |
| M126 | 男 | 40± | -12.9‰ | 39.8% | 9.4‰ | 14.3% | 10.8% | 3.2 | |
| M135 | 女 | 50± | -11.8‰ | 42.0% | 8.7‰ | 15.5% | 7.1% | 3.2 | |
| M137 | 男? | 35~40 | -14.0‰ | 43.9% | 9.1‰ | 15.7% | 8.9% | 3.3 | |
| M154 | 不详 | 8± | -13.6‰ | 42.9% | 8.3‰ | 15.2% | 5.0% | 3.3 | |
| M185 | 男 | 40± | -9.7‰ | 42.6% | 8.8‰ | 15.4% | 4.6% | 3.2 | |
| M187 | 不详 | 25± | -16.0‰ | 41.8% | 10.3‰ | 14.8% | 4.3% | 3.3 | |
| M190 | 女? | 30± | -16.0‰ | 42.6% | 10.3‰ | 15.2% | 5.7% | 3.3 | |
| M191 | 不详 | 不详 | -15.1‰ | 42.5% | 9.9‰ | 15.3% | 6.2% | 3.3 | |
| M193 | 不详 | 20± | -14.0‰ | 41.5% | 9.3‰ | 14.8% | 5.1% | 3.3 | |
| M194 | 不详 | 25± | -13.0‰ | 28.9% | 9.5‰ | 10.5% | 1.0% | 3.2 | |
| M196 | 不详 | 不详 | -11.3‰ | 42.2% | 7.9‰ | 15.3% | 8.5% | 3.2 | |
| M198 | 不详 | 成年 | -15.6‰ | 41.0% | 10.4‰ | 15.0% | 14.6% | 3.2 | |
| M200 | 不详 | 成年 | -12.6‰ | 42.7% | 9.5‰ | 15.5% | 12.2% | 3.2 | |
| M201 | 不详 | 成年 | -13.3‰ | 42.6% | 9.6‰ | 15.3% | 4.7% | 3.2 | |
| M203 | 男 | 20± | -17.3‰ | 42.9% | 10.3‰ | 15.2% | 3.9% | 3.3 | |
| M214 | 男 | 40± | -12.5‰ | 42.8% | 8.7‰ | 15.5% | 6.1% | 3.2 | |
| M215 | 女 | 35± | -14.1‰ | 42.4% | 9.7‰ | 15.5% | 7.1% | 3.2 | |
| M232 | 女 | 45± | -9.5‰ | 43.4% | 7.9‰ | 15.5% | 10.9% | 3.3 | |
| M239 | 男 | 60+ | -10.1‰ | 41.7% | 8.6‰ | 15.1% | 6.9% | 3.2 | |
| M66 | 男? | 25± | -13.8‰ | 60.1% | 11.2‰ | 21.7% | 7.5% | 3.2 | |
| M69 | 女? | 30± | -18.7‰ | 42.4% | 10.2‰ | 15.4% | 3.6% | 3.2 | |
| M145 | 不详 | 成年 | -13.4‰ | 42.3% | 10.1‰ | 15.3% | 2.6% | 3.2 | |
| M207 | 男 | 45~50 | -14.5‰ | 42.5% | 10.9‰ | 15.3% | 3.4% | 3.2 | |
| M216 | 男 | 30± | -13.8‰ | 43.6% | 9.4‰ | 15.2% | 2.0% | 3.3 | |
| M218 | 男 | 45± | -15.8‰ | 42.5% | 11.2‰ | 15.5% | 2.2% | 3.2 |
| 遗址Site | 样本数量Samples(n) | δ13C | δ15N | 参考文献Reference |
|---|---|---|---|---|
| 郑州西山Xishan in Zhengzhou | 39 | -8.2‰±1.5‰ | 9.0‰±0.8‰ | [ |
| 灵宝西坡Xipo in Lingbao | 31 | -9.7‰±1.1‰ | 9.4‰±1.0‰ | [ |
| 淅川下寨Xiazhai in Xichuan | 19 | -10.2‰±1.4‰ | 9.4‰±0.5‰ | |
| 淅川沟湾Gouwan in Xichuan | 7 | -14.5‰±1.9‰ | 8.6‰±0.7‰ | [ |
Tab.2 Stable isotope values from different Yangshao sites located in the Central Plains and close
| 遗址Site | 样本数量Samples(n) | δ13C | δ15N | 参考文献Reference |
|---|---|---|---|---|
| 郑州西山Xishan in Zhengzhou | 39 | -8.2‰±1.5‰ | 9.0‰±0.8‰ | [ |
| 灵宝西坡Xipo in Lingbao | 31 | -9.7‰±1.1‰ | 9.4‰±1.0‰ | [ |
| 淅川下寨Xiazhai in Xichuan | 19 | -10.2‰±1.4‰ | 9.4‰±0.5‰ | |
| 淅川沟湾Gouwan in Xichuan | 7 | -14.5‰±1.9‰ | 8.6‰±0.7‰ | [ |
| 遗存年代Date of remains | 样本Samples(n) | δ13C | δ15N |
|---|---|---|---|
| 仰韶晚期LateYangshao period | 19 | -10.2‰±1.4‰ | 9.4‰±0.5‰ |
| 石家河文化时期Shijiahe period | 28 | -13.6‰±2.1‰ | 9.5‰±0.9‰ |
| 龙山晚期到二里头Late Longshan to Erlitou period[ | 21 | -9.9‰±1.2‰ | 8.2‰±0.7‰ |
Tab.3 Mean isotope values of the Xiazhai human remains from Late Yangshao to Erlitou period
| 遗存年代Date of remains | 样本Samples(n) | δ13C | δ15N |
|---|---|---|---|
| 仰韶晚期LateYangshao period | 19 | -10.2‰±1.4‰ | 9.4‰±0.5‰ |
| 石家河文化时期Shijiahe period | 28 | -13.6‰±2.1‰ | 9.5‰±0.9‰ |
| 龙山晚期到二里头Late Longshan to Erlitou period[ | 21 | -9.9‰±1.2‰ | 8.2‰±0.7‰ |
| [1] | 曹艳朋, 楚小龙. 河南淅川县下寨遗址新石器时代墓葬发掘简报[J]. 考古, 2020, 5: 3-19 |
| [2] | 楚小龙, 曹艳朋, 王瑞雪, 等. 河南淅川下寨遗址龙山时代末期至二里头早期墓葬发掘简报[J]. 华夏考古, 2017, 3: 9-70 |
| [3] | Hu YW. Thirty-four years of stable isotopic analyses of ancient skeletons in china: an overview, progress and prospects[J]. Archaeometry, 2018, 60(1), 144-156 |
| [4] | Lee-Thorp JA. On isotopes and old bones[J]. Archaeometry, 2008, 6: 925-950 |
| [5] | 蔡莲珍, 仇士华. 碳十三测定和古代食谱研究[J]. 考古, 1984, 10: 949-955 |
| [6] | 张雪莲. 应用古人骨的元素、同位素分析研究其食物结构[J]. 人类学学报, 2003, 1: 75-84 |
| [7] | 张雪莲. 碳十三和氮十五分析与古代人类食物结构研究及其新进展[J]. 考古, 2006, 7: 50-56 |
| [8] |
Smith BN, Epstein S. Two categories of 13C/12C ratios for higher plants[J]. Plant physiology, 1971, 47(3): 380-384
doi: 10.1104/pp.47.3.380 pmid: 16657626 |
| [9] | Vogel JC. Fractionation of the carbon isotopes during photosynthesis[Z]. Springer Berlin Heidelberg, 1980, 5-29 |
| [10] | DeNiro MJ, Epstein S. You are what you eat (plus a few‰): The carbon isotope cycle in food chains[J]. Geological Society of America Abstracts with Programs, 1976, 8: 834-835 |
| [11] | DeNiro MJ, Epstein S. Influence of Diet on the Distribution of Carbon Isotopes in Animals[J]. Geochimica et Cosmochimica Acta, 1978, 42(5): 495-506 |
| [12] | Ambrose SH, Norr L. Experimental evidence for the relationship of the carbon isotope ratios of whole diet and dietary protein to those of bone collagen and carbonate[A]. In: Joseph B, Lambert GG(Eds). Prehistoric Human Bone[C]. Berlin Heidelberg: Springer, 1993, 1-37 |
| [13] | DeNiro MJ, Epstein S. Influence of diet on the distribution of nitrogen isotopes in animals[J]. Geochimica et Cosmochimica Acta, 1981, 45(3): 341-351 |
| [14] | 张雪莲, 李新伟. 西坡墓地再讨论[J]. 中原文物, 2014, 4: 18-32 |
| [15] | 周立刚. 信阳城阳城等地东周贵族人骨稳定同位素分析[J]. 华夏考古, 2020, 5: 60-65 |
| [16] | 周立刚, 孙凯, 孙蕾. 明代周懿王墓地出土人骨稳定碳氮同位素分析[J]. 华夏考古, 2019, 2: 48-52 |
| [17] | Buikstra JE, Ubelaker DH (Eds). Standards for Data Collection from Human Skeletal Remains[C]. Fayetteville: Arkansas Archaeological Survey. 1994 |
| [18] | Sealy J, Johnson M, Richards M, et al. Comparison of two methods of extracting bone collagen for stable carbon and nitrogen isotope analysis: comparing whole bone demineralization with gelatinization and ultrafiltration[J]. Journal of Archaeological Science, 2014, 47: 64-69 |
| [19] | DeNiro MJ. Postmortem preservation and alteration of in vivo bone collagen isotope ratios in relation to palaeodietary reconstruction[J]. Nature, 1985, 317(6040): 806-809 |
| [20] | Ambrose SH. Preparation and characterization of bone and tooth collagen for isotopic analysis[J]. Journal of archaeological science, 1990, 17(4): 431-451. |
| [21] | 周立刚. 稳定碳氮同位素视角下的河南龙山墓葬与社会[J]. 华夏考古, 2017, 3: 145-152 |
| [22] | 邓正华. 汉水中下游史前农业研究[D]. 北京: 北京大学, 2015 |
| [23] | 张雪莲, 仇士华, 钟建, 等. 中原地区几处仰韶文化时期考古遗址的人类食物状况分析[J]. 人类学学报, 2010, 2:197-207 |
| [24] | Fu QM, Jin SA, Hu YW, et al. Agricultural development and human diets in Gouwan site, Xichuan, Henan[J]. Chinese Science Bulletin, 2010, 55(7): 614-20 |
| [25] |
Deng Z, Fuller D, Chu X, et al. Assessing the occurrence and status of wheat in late Neolithic central China: The importance of direct AMS radiocarbon dates from Xiazhai[J]. Vegetation History and Archaeobotany, 2020, 29(1): 61-73
doi: 10.1007/s00334-019-00732-7 pmid: 31956277 |
| [26] | Guo Y, Hu YW, Zhu JY, et al. Stable carbon and nitrogen isotope evidence of human and pig diets at the Qinglongquan site, China[J]. 中国科学:地球科学(英文版), 2011, 41(1): 52-60 |
| [27] | Shoda S, Nasu H, Yamazaki K, et al. Dry or Wet? Evaluating the Initial Rice Cultivation Environment on the Korean Peninsula[J]. Agronomy, 2021, 11(5): 929 |
| [28] | 邓振华, 高玉. 河南邓州八里岗遗址出土植物遗存分析[J]. 南方文物, 2012, 1: 156-163 |
| [1] | SUN Lei, LI Yanzhen, WU Zhijiang. Craniofacial morphology of human remains from the Zhanmatun site of the late Yangshao Period [J]. Acta Anthropologica Sinica, 2023, 42(03): 331-341. |
| [2] | REN Wenxun, WU Chaoming, WU Qian, DAI Jianzeng, SONG Guoding, GU Wanfa. Types and processing technology of stone spinning wheels from Zhengzhou during the Yangshao period [J]. Acta Anthropologica Sinica, 2022, 41(06): 1058-1068. |
| [3] | GE Lihua, ZHU Chao, AN Jingping, WANG Zhenxiang, JIN Guiyun. Subsistence economy model reflected by phytolith from the Chengziya site [J]. Acta Anthropologica Sinica, 2022, 41(05): 883-898. |
| [4] | HOU Yanfeng, ZHANG Jian, CAO Yanpeng, JIN Songan. Faunal remains of the Yangshao period from the Gouwan site, Xichuan county, Henan province [J]. Acta Anthropologica Sinica, 2022, 41(05): 913-926. |
| [5] | HE Jianing, LI Nan, ZHANG Chi. Bioarchaeology of Neolithic Yangshao human skeletal remains from Baligang, Dengzhou: A diachronic approach [J]. Acta Anthropologica Sinica, 2022, 41(04): 686-697. |
| [6] | YANG Miao-miao, HU Song-mei, GUO Xiaoning, WANG Weilin, YANG Tong. Research on the faunal remains from Muzhuzhuliang Site in Shenmu city Shaanxi Province [J]. Acta Anthropologica Sinica, 2022, 41(03): 394-405. |
| [7] | LIU Keyu, SUN Zhouyong, SUN Zhanwei, SHAO Jing, CHEN Liang, LING Xue. Stable carbon and nitrogen isotope of human bones from the Zhaitouhe and the Shijiahe cemeteries in Huangling [J]. Acta Anthropologica Sinica, 2022, 41(03): 419-428. |
| [8] | YANG Fan, GU Wanfa, DUAN Qimeng, ZHENG Xiaoqu, JIA Yin, JIN Guiyun. Phytolith from the Wanggou site in Zhengzhou, Henan [J]. Acta Anthropologica Sinica, 2022, 41(03): 429-438. |
| [9] | LEI Shuai, GUO Yi. Human tooth and diet from a bioarcheological perspective [J]. Acta Anthropologica Sinica, 2022, 41(03): 501-513. |
| [10] | YUAN Haibing, GU Wanfa, WEI Qingli, WU Qian, DING Lanpo, CAO Doudou. Analysis of dental caries in the Yangshao population at the Qingtai site, Zhengzhou city [J]. Acta Anthropologica Sinica, 2022, 41(02): 226-237. |
| [11] | CHENG Zhijie, Qi Ming, ZENG Lingyuan, ZHANG Juzhong, YANG Yuzhang, LI Quanli. Primitive agriculture in the Yangshao period revealed by charred plant remains from the Jiazhuang and Hougaolaojia sites in Xiangcheng, Henan province [J]. Acta Anthropologica Sinica, 2022, 41(01): 85-95. |
| [12] | WANG Ning, SANG Zhecheng, LIU Xiaobin, WU Qian. A preliminary study of the multi-crops planting system in the central plains of the early Shang Dynasty: Taking the Wangjinglou site in Xinzheng of Henan as an example [J]. Acta Anthropologica Sinica, 2022, 41(01): 96-107. |
| [13] | YI Wenwen, WEI Xingtao, YANG Yuzhang, YAO Ling, LAN Wanli, ZHANG Xiaohu, ZHANG Juzhong. An analysis of the starch grains from the Zhangwangzhuang site of early Yangshao culture [J]. Acta Anthropologica Sinica, 2021, 40(05): 867-878. |
| [14] | ZHOU Yawei, ZHANG Xiaoran, GU Wanfa. A study of skull morphology of Yangshao Culture residents from the Sunzhuang site in Zhengzhou [J]. Acta Anthropologica Sinica, 2021, 40(04): 611-627. |
| [15] | LEI Shuai, CHEN Liang, ZHAI Linlin. A study on the characteristics of prehistoric deciduous teeth of infants in Yuhuazhai village, Xi’an [J]. Acta Anthropologica Sinica, 2021, 40(02): 208-225. |
| Viewed | ||||||
|
Full text |
|
|||||
|
Abstract |
|
|||||