Acta Anthropologica Sinica ›› 2022, Vol. 41 ›› Issue (02): 319-333.doi: 10.16359/j.1000-3193/AAS.2021.0037
• Research Articles • Previous Articles Next Articles
GUO Xiaoqi1(
), SUN Xuefeng1(
), WANG Shejiang2,3, XU Xinghua1, ZENG Qiongxuan1, LU Yiming1, LU Huayu1
Received:2020-11-26
Revised:2021-01-20
Online:2022-04-15
Published:2022-04-13
Contact:
SUN Xuefeng
E-mail:mg1827003@smail.nju.edu.cn;xuefeng@nju.edu.cn
CLC Number:
GUO Xiaoqi, SUN Xuefeng, WANG Shejiang, XU Xinghua, ZENG Qiongxuan, LU Yiming, LU Huayu. Pedostratigraphy and luminescence dating of the newly discovered Paleolithic sites along the Hanjiang River Valley, Central China[J]. Acta Anthropologica Sinica, 2022, 41(02): 319-333.
Add to citation manager EndNote|Ris|BibTeX
URL: https://www.anthropol.ac.cn/EN/10.16359/j.1000-3193/AAS.2021.0037
Fig.1 Newly discovered Paleolithic sites in the Hanjiang River Valley from 2016 to 2018 Red squares represent the Paleolithic sites in this study, while black squares represent other relevant Paleolithic sites in the study area
| 地点 Site | 总数 Total | 石核Core | 石片Flake | 断块Chunks | 工具 Tool | 砍砸器Chopper | 刮削器Scraper | 尖状器Point | 石球Spheroids |
|---|---|---|---|---|---|---|---|---|---|
| 杨家坪 | 24 | 12 | 5 | 0 | 7 | 2 | 0 | 0 | 5 |
| 联丰-1 | 18 | 12 | 3 | 0 | 3 | 2 | 1 | 0 | 0 |
| 联丰-2 | 5 | 1 | 2 | 2 | 0 | 0 | 0 | 0 | 0 |
| 梁山村 | 30 | 2 | 8 | 17 | 3 | 0 | 2 | 1 | 0 |
| 二里沟 | 39 | 15 | 3 | 17 | 4 | 1 | 2 | 0 | 1 |
| 池河-1 | 63 | 3 | 9 | 45 | 6 | 1 | 3 | 2 | 0 |
| 池河-2 | 15 | 0 | 3 | 9 | 3 | 2 | 1 | 0 | 0 |
| 曲家河 | 27 | 1 | 4 | 20 | 2 | 0 | 2 | 0 | 0 |
| 金矿村-2 | 18 | 6 | 2 | 6 | 4 | 4 | 0 | 0 | 0 |
| 金矿村-3 | 3 | 3 | 0 | 0 | 0 | 0 | 0 | 0 | 0 |
Tab.1 Statistics of newly discovered Paleolithic artifacts in Hanjiang River Valley
| 地点 Site | 总数 Total | 石核Core | 石片Flake | 断块Chunks | 工具 Tool | 砍砸器Chopper | 刮削器Scraper | 尖状器Point | 石球Spheroids |
|---|---|---|---|---|---|---|---|---|---|
| 杨家坪 | 24 | 12 | 5 | 0 | 7 | 2 | 0 | 0 | 5 |
| 联丰-1 | 18 | 12 | 3 | 0 | 3 | 2 | 1 | 0 | 0 |
| 联丰-2 | 5 | 1 | 2 | 2 | 0 | 0 | 0 | 0 | 0 |
| 梁山村 | 30 | 2 | 8 | 17 | 3 | 0 | 2 | 1 | 0 |
| 二里沟 | 39 | 15 | 3 | 17 | 4 | 1 | 2 | 0 | 1 |
| 池河-1 | 63 | 3 | 9 | 45 | 6 | 1 | 3 | 2 | 0 |
| 池河-2 | 15 | 0 | 3 | 9 | 3 | 2 | 1 | 0 | 0 |
| 曲家河 | 27 | 1 | 4 | 20 | 2 | 0 | 2 | 0 | 0 |
| 金矿村-2 | 18 | 6 | 2 | 6 | 4 | 4 | 0 | 0 | 0 |
| 金矿村-3 | 3 | 3 | 0 | 0 | 0 | 0 | 0 | 0 | 0 |
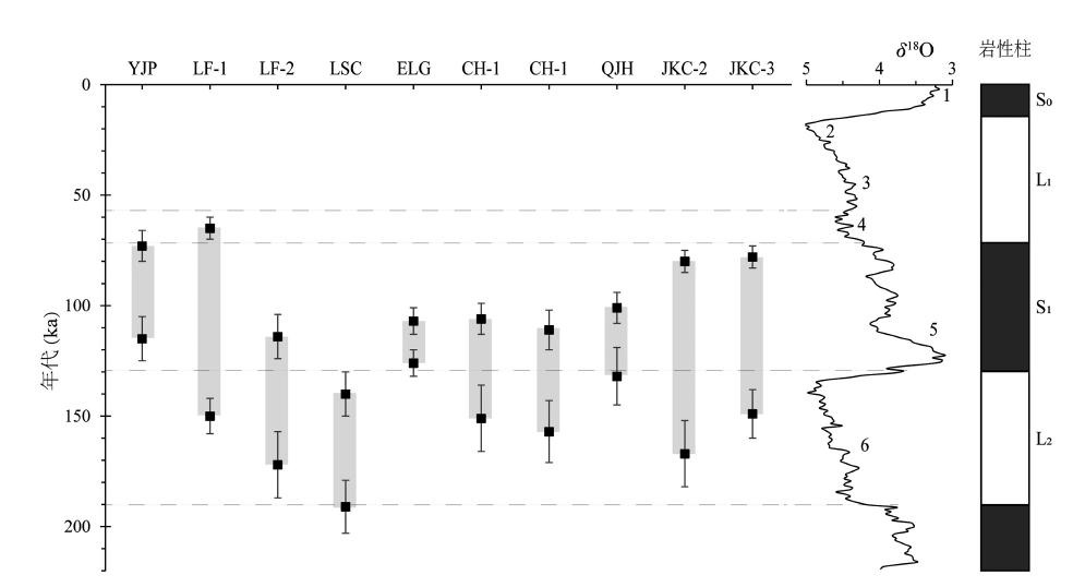
| 实验编号Lab No. | 样品Sample No. | 深度Depth (cm) | 含水量water content | U (ppm) | Th (ppm) | K (%) | 年剂量 Dose rate (Gy/ka) | 等效剂量Equivalent dose (Gy) | 年代 Age (ka) |
|---|---|---|---|---|---|---|---|---|---|
| NJU2356 | LSC | 50 | 10.1±5% | 2.24±0.09 | 12.90±0.36 | 2.00±0.06 | 3.03±0.19 | 471±19 | 140±10 |
| NJU2357 | LSC | 120 | 10.7±5% | 2.34±0.10 | 13.60±0.37 | 1.85±0.06 | 2.96±0.17 | 517±26 | 191±12 |
| NJU2362 | LF-1 | 80 | 9.8±5% | 2.03±0.09 | 12.80±0.36 | 1.78±0.06 | 2.80±0.18 | 182±7 | 65±5 |
| NJU2364 | LF-1 | 200 | 11.7±5% | 2.94±0.11 | 13.00±0.36 | 1.96±0.06 | 3.12±0.15 | 466±3 | 150±8 |
| NJU2366 | LF-2 | 65 | 12.1±5% | 3.38±0.12 | 13.60±0.37 | 1.70±0.06 | 3.01±0.13 | 343±27 | 114±10 |
| NJU2367 | LF-2 | 345 | 7.2±5% | 2.69±0.10 | 12.9±0.36 | 1.94±0.06 | 3.05±0.27 | 523±10 | 172±15 |
| NJU2369 | YJP | 170 | 10.2±5% | 2.77±0.11 | 13.80±0.37 | 1.72±0.06 | 2.93±0.18 | 213±16 | 73±7 |
| NJU2370 | YJP | 520 | 14.3±5% | 2.47±0.10 | 12.90±0.36 | 1.93±0.06 | 3.01±0.08 | 346±54 | 115±10 |
| NJU2372 | ELG | 170 | 16.4±5% | 2.93±0.11 | 13.40±0.38 | 1.90±0.06 | 3.09±0.05 | 388±17 | 126±6 |
| NJU2373 | ELG | 220 | 12.9±5% | 2.93±0.11 | 13.4±0.38 | 1.90±0.06 | 3.17±0.12 | 341±14 | 107±6 |
| NJU2376 | CH-1 | 100 | 13.8±5% | 2.91±0.11 | 13.2±0.37 | 2.02±0.06 | 2.86±0.09 | 304±17 | 106±7 |
| NJU2377 | CH-1 | 160 | 15.6±5% | 2.64±0.10 | 15.00±0.41 | 1.71±0.06 | 2.97±0.06 | 448±44 | 151±15 |
| NJU2378 | CH-2 | 60 | 13.5±5% | 2.29±0.09 | 14.40±0.39 | 1.60±0.05 | 2.79±0.09 | 310±22 | 111±9 |
| NJU2379 | CH-2 | 110 | 18.0±5% | 2.75±0.11 | 15.2±0.41 | 1.65±0.05 | 2.95±0.05 | 462±40 | 157±14 |
| NJU2383 | QJH | 100 | 19.4±5% | 2.88±0.11 | 14.80±0.40 | 1.57±0.05 | 2.88±0.08 | 290±19 | 101±7 |
| NJU2384 | QJH | 280 | 11.2±5% | 2.91±0.11 | 14.90±0.40 | 2.00±0.06 | 3.19±0.25 | 421±28 | 132±13 |
| NJU2738 | JKC-2 | 50 | 8.2±5% | 2.27±0.11 | 12.01±0.38 | 1.83±0.06 | 3.27±0.17 | 262±16 | 80±5 |
| NJU2739 | JKC-2 | 145 | 7.6±5% | 2.56±0.10 | 14.23±0.39 | 1.68±0.06 | 3.29±0.18 | 549±49 | 167±15 |
| NJU2740 | JKC-3 | 50 | 8.6±5% | 2.77±0.11 | 14.05±0.38 | 1.76±0.05 | 3.39±0.18 | 265±11 | 78±5 |
| NJU2741 | JKC-3 | 230 | 15.3±5% | 2.88±0.11 | 13.88±0.40 | 1.76±0.06 | 3.13±0.15 | 466±39 | 149±11 |
Tab.2 TT-OSL dating ages for 10 Paleolithic sites in Hanjiang River valley
| 实验编号Lab No. | 样品Sample No. | 深度Depth (cm) | 含水量water content | U (ppm) | Th (ppm) | K (%) | 年剂量 Dose rate (Gy/ka) | 等效剂量Equivalent dose (Gy) | 年代 Age (ka) |
|---|---|---|---|---|---|---|---|---|---|
| NJU2356 | LSC | 50 | 10.1±5% | 2.24±0.09 | 12.90±0.36 | 2.00±0.06 | 3.03±0.19 | 471±19 | 140±10 |
| NJU2357 | LSC | 120 | 10.7±5% | 2.34±0.10 | 13.60±0.37 | 1.85±0.06 | 2.96±0.17 | 517±26 | 191±12 |
| NJU2362 | LF-1 | 80 | 9.8±5% | 2.03±0.09 | 12.80±0.36 | 1.78±0.06 | 2.80±0.18 | 182±7 | 65±5 |
| NJU2364 | LF-1 | 200 | 11.7±5% | 2.94±0.11 | 13.00±0.36 | 1.96±0.06 | 3.12±0.15 | 466±3 | 150±8 |
| NJU2366 | LF-2 | 65 | 12.1±5% | 3.38±0.12 | 13.60±0.37 | 1.70±0.06 | 3.01±0.13 | 343±27 | 114±10 |
| NJU2367 | LF-2 | 345 | 7.2±5% | 2.69±0.10 | 12.9±0.36 | 1.94±0.06 | 3.05±0.27 | 523±10 | 172±15 |
| NJU2369 | YJP | 170 | 10.2±5% | 2.77±0.11 | 13.80±0.37 | 1.72±0.06 | 2.93±0.18 | 213±16 | 73±7 |
| NJU2370 | YJP | 520 | 14.3±5% | 2.47±0.10 | 12.90±0.36 | 1.93±0.06 | 3.01±0.08 | 346±54 | 115±10 |
| NJU2372 | ELG | 170 | 16.4±5% | 2.93±0.11 | 13.40±0.38 | 1.90±0.06 | 3.09±0.05 | 388±17 | 126±6 |
| NJU2373 | ELG | 220 | 12.9±5% | 2.93±0.11 | 13.4±0.38 | 1.90±0.06 | 3.17±0.12 | 341±14 | 107±6 |
| NJU2376 | CH-1 | 100 | 13.8±5% | 2.91±0.11 | 13.2±0.37 | 2.02±0.06 | 2.86±0.09 | 304±17 | 106±7 |
| NJU2377 | CH-1 | 160 | 15.6±5% | 2.64±0.10 | 15.00±0.41 | 1.71±0.06 | 2.97±0.06 | 448±44 | 151±15 |
| NJU2378 | CH-2 | 60 | 13.5±5% | 2.29±0.09 | 14.40±0.39 | 1.60±0.05 | 2.79±0.09 | 310±22 | 111±9 |
| NJU2379 | CH-2 | 110 | 18.0±5% | 2.75±0.11 | 15.2±0.41 | 1.65±0.05 | 2.95±0.05 | 462±40 | 157±14 |
| NJU2383 | QJH | 100 | 19.4±5% | 2.88±0.11 | 14.80±0.40 | 1.57±0.05 | 2.88±0.08 | 290±19 | 101±7 |
| NJU2384 | QJH | 280 | 11.2±5% | 2.91±0.11 | 14.90±0.40 | 2.00±0.06 | 3.19±0.25 | 421±28 | 132±13 |
| NJU2738 | JKC-2 | 50 | 8.2±5% | 2.27±0.11 | 12.01±0.38 | 1.83±0.06 | 3.27±0.17 | 262±16 | 80±5 |
| NJU2739 | JKC-2 | 145 | 7.6±5% | 2.56±0.10 | 14.23±0.39 | 1.68±0.06 | 3.29±0.18 | 549±49 | 167±15 |
| NJU2740 | JKC-3 | 50 | 8.6±5% | 2.77±0.11 | 14.05±0.38 | 1.76±0.05 | 3.39±0.18 | 265±11 | 78±5 |
| NJU2741 | JKC-3 | 230 | 15.3±5% | 2.88±0.11 | 13.88±0.40 | 1.76±0.06 | 3.13±0.15 | 466±39 | 149±11 |
| [1] | 朱日祥, 邓成龙, 潘永信. 泥河湾盆地磁性地层定年与早期人类演化[J]. 第四纪研究, 2007, 27(6):922-944 |
| [2] | 王红强, 邓成龙, 朱日祥, 等. 泥河湾盆地岑家湾旧石器遗址的古地磁定年[J]. 中国科学:地球科学, 2006, 36(3):273-279 |
| [3] | 任进成, 李锋, 王晓敏, 等. 河北阳原县板井子旧石器时代遗址2015年发掘简报[J]. 考古, 2018, 614(11):3-14+2 |
| [4] | 陈虹, 方梦霞. 长江中下游地区旧石器时代文化分期分区研究[J]. 考古学报, 2020(1):21-42 |
| [5] | 李意愿, 王轩, 陆翼捷, 等. 湖南澧县乌鸦山旧石器遗址2011年发掘简报[J]. 江汉考古, 2019(6):20-31+16 |
| [6] |
Hou YM. Mid-Pleistocene Acheulean-like Stone Technology of the Bose Basin, South China[J]. Science, 2000, 287(5458):1622-1626
doi: 10.1126/science.287.5458.1622 URL |
| [7] |
Dennell R . Early Homo sapiens in China[J]. Nature, 2010, 468(7323):512-513
doi: 10.1038/468512a URL |
| [8] | 王社江, 张小兵, 沈辰, 等. 洛南花石浪龙牙洞1995年出土石制品研究[J]. 人类学学报, 2004, 23(2):93-110 |
| [9] | 王社江, 沈辰, 胡松梅, 等. 洛南盆地1995-1999年野外地点发现的石制品[J]. 人类学学报, 2005, 24(2):87-103 |
| [10] | 王社江, 鹿化煜, 张红艳, 等. 东秦岭南洛河中游地区发现的旧石器和黄土堆积[J]. 第四纪研究, 2008, 28(6):988-999 |
| [11] | 王社江, 刘顺民. 东秦岭山地商洛市和山阳县新发现的两处旧石器地点[J]. 考古与文物, 2011(1):24-28 |
| [12] | 黄慰文, 祁国琴. 梁山旧石器遗址的初步观察[J]. 人类学学报, 1987, 6(3):236-244 |
| [13] | 李超荣, 李锋, 李浩. 丹江口库区红石坎Ⅰ旧石器地点发掘简报[J]. 人类学学报, 2014, 33(1):17-26 |
| [14] | 李浩, 李超荣, Kathleen. Kathleen.丹江口库区果茶场II旧石器遗址发掘简报[J]. 人类学学报, 2013, 32(2):144-155 |
| [15] | 夏文婷, 王社江, 夏楠, 等. 汉中盆地龙岗寺遗址第3地点出土的石制品[J]. 人类学学报, 2018, 37(4):529-541 |
| [16] | 王社江, 孙雪峰, 鹿化煜, 等. 汉水上游汉中盆地新发现的旧石器及其年代[J]. 人类学学报, 2014, 33(2):125-136 |
| [17] | 王社江, 鹿化煜, 张红艳, 等. 陕西蓝田地区新发现黄土地层中的旧石器及其年代[J]. 科学通报, 2014, 59(14):1318-1326 |
| [18] |
Zhuo HX, Lu HY, Wang SJ, et al. Chronology of newly-discovered Paleolithic artifact assemblages in Lantian (Shaanxi province), central China[J]. Quaternary Research, 2016, 86(3):316-325
doi: 10.1016/j.yqres.2016.08.008 URL |
| [19] |
Zhu ZY, Dennell R, Huang W, et al. Hominin occupation of the Chinese Loess Plateau since about 2.1 million years ago[J]. Nature, 2018, 559(7715):608-612
doi: 10.1038/s41586-018-0299-4 URL |
| [20] | 鹿化煜, 张红艳, 王社江, 等. 东秦岭南洛河上游黄土地层年代的初步研究及其在旧石器考古中的意义[J]. 第四纪研究, 2007, 27(4):559-567 |
| [21] | 鹿化煜, 张红艳, 孙雪峰, 等. 中国中部南洛河流域地貌、黄土堆积与更新世古人类生存环境[J]. 第四纪研究, 2012, 32(2):167-177 |
| [22] | 王社江, 鹿化煜. 秦岭地区更新世黄土地层中的旧石器埋藏与环境[J]. 中国科学:地球科学, 2016, 46(7):881-890 |
| [23] |
Lu HY, Sun XF, Wang SJ, et al. Ages for hominin occupation in Lushi Basin, middle of South Luo River, central China[J]. Journal of Human Evolution, 2011, 60(5):612-617
doi: 10.1016/j.jhevol.2010.12.009 URL |
| [24] |
Lu HY, Zhang HY, Wang SJ, et al. Multiphase timing of hominin occupations and the paleoenvironment in Luonan Basin, Central China[J]. Quaternary Research, 2011, 76(1):142-147
doi: 10.1016/j.yqres.2011.04.001 URL |
| [25] |
Sun XF, Lu HY, Wang SJ, et al. Age of newly discovered Paleolithic assemblages at Liuwan site Luonan Basin, central China[J]. Quaternary International, 2014, 347(9):193-199
doi: 10.1016/j.quaint.2014.04.061 URL |
| [26] |
Sun XF, Lu HY, Wang SJ, et al. Early human settlements in the southern Qinling Mountains, central China[J]. Quaternary Science Reviews, 2017, 164:168-186
doi: 10.1016/j.quascirev.2017.04.005 URL |
| [27] | Wang KX, Xu XH, Sun XF, et al. Cosmogenic nuclide burial dating of Liuwan Paleolithic site in the Luonan Basin, Central China[J]. Journal of Geographical ences, 2019, 29(3):406-416 |
| [28] | 陈曦, 冯小波, 郝勤建, 等. 湖北郧县刘湾旧石器时代遗址发掘简报[J]. 江汉考古, 2012(2):3-11. |
| [29] | 王社江, 鹿化煜. 秦岭南麓汉水上游旧石器考古研究现状与契机[J]. 人类学学报, 2014, 33(3):315-328 |
| [30] |
Sun XF, Lu HY, Wang SJ, et al. Ages of Liangshan Paleolithic sites in Hanzhong Basin, central China[J]. Quaternary Geochronology, 2012, 10:380-386
doi: 10.1016/j.quageo.2012.04.014 URL |
| [31] |
Sun XF, Li YH, Feng XB, et al. Pedostratigraphy of aeolian deposition near the Yunxian Man site on the Hanjiang River terraces, Yunxian Basin, central China[J]. Quaternary International, 2016, 400:187-194
doi: 10.1016/j.quaint.2015.05.034 URL |
| [32] | Sun XF, Jia X, Lu HY, et al. A modified depositional hypojournal of the Hanjiang Loess in the southern Qinling Mountains, central China[J]. Progress in Physical Geography, 2017, 41(1):775-787 |
| [33] |
Sun XF, Lu HY, Wang SJ, et al. Hominin distribution in glacial-interglacial environmental changes in the Qinling Mountains range, central China[J]. Quaternary Science Reviews, 2018, 198:37-55
doi: 10.1016/j.quascirev.2018.08.012 URL |
| [34] | 李英华, 周玉端, 孙雪峰. 湖北郧县后房遗址石器工业的年代、操作链及其意义[J]. 江汉考古, 2018, 2:36-47 |
| [35] | 张保升. 秦岭地貌结构[J]. 西北大学学报:自然科学版, 1981(1):81-87+104-105 |
| [36] | 齐矗华, 甘枝茂, 惠振德. 陕西东秦岭构造地貌基本特征[J]. 陕西师范大学学报:自然科学版, 1982: 180-193 |
| [37] | 夏正楷. 陕西安康盆地新生界初步观察[J]. 陕西地质, 1984(2):24-29 |
| [38] | 涂怀奎. 秦岭新构造运动与成矿作用[J]. 西北地质, 1991(3):12-17 |
| [39] | 杨秀芬, 马守林. 汉中盆地与新构造运动有关的地貌特征[J]. 西北师范大学学报:自然科学版, 1987, 2:49-53 |
| [40] | 刘东生 等. 黄土与环境[M]. 北京: 科学出版社, 1985 |
| [41] |
Duller GA. Distinguishing quartz and feldspar in single grain luminescence measurements[J]. Radiation Measurements, 2003, 37(2):161-165
doi: 10.1016/S1350-4487(02)00170-1 URL |
| [42] |
Prescott JR, Hutton JT. Cosmic ray contributions to dose rates for luminescence and ESR dating: Large depths and long-term time variations[J]. Radiat. Meas. 1994, 23(2-3):497-500
doi: 10.1016/1350-4487(94)90086-8 URL |
| [43] | Guérin G, Mercier N, Adamiec G. Dose-rate conversion factors: Update[J]. Ancient TL, 2011, 29:5-8 |
| [44] |
Buylaert JP, Vandenberghe D, Murray AS, et al. Luminescence dating of old (>70 ka) Chinese loess: A comparison of single-aliquot OSL and IRSL techniques[J]. Quaternary Geochronology, 2007, 2(1-4):9-14
doi: 10.1016/j.quageo.2006.05.028 URL |
| [45] |
Roberts HM. The development and application of luminescence dating to loess deposits: a perspective on the past, present and future[J]. Boreas, 2008, 37(4):483-507
doi: 10.1111/bor.2008.37.issue-4 URL |
| [46] |
Murray AS, Wintle AG. Luminescence dating of quartz using an improved single-aliquot regenerative-dose protocol[J]. Radiat. Meas, 2000, 32(1):57-73
doi: 10.1016/S1350-4487(99)00253-X URL |
| [47] |
Murray AS, Wintle AG. The single aliquot regenerative dose protocol: potential for improvements in reliability[J]. Radiation Measurements, 2003, 37(4-5):377-381
doi: 10.1016/S1350-4487(03)00053-2 URL |
| [48] |
Stevens T, Buylaert JP, Murray AS. Towards development of a broadly-applicable SAR TT-OSL dating protocol for quartz[J]. Radiation Measurements, 2009, 44(5-6):639-645
doi: 10.1016/j.radmeas.2009.02.015 URL |
| [49] |
Wintle AG, Murray AS. A review of quartz optically stimulated luminescence characteristics and their relevance in single-aliquot regeneration dating protocols[J]. Radiation Measurements, 2006, 41(4):369-391
doi: 10.1016/j.radmeas.2005.11.001 URL |
| [50] |
Li YH, Sun XF, Bodin E. A macroscopic technological perspective on lithic production from the Early to Late Pleistocene in the Hanshui River Valley, central China[J]. Quaternary International, 2014, 347:148-162
doi: 10.1016/j.quaint.2014.05.044 URL |
| [51] |
Wang SJ, Lu HY, Xing L. Chronological and typo-technological perspectives on the Palaeolithic archaeology in Lantian, central China[J]. Quaternary International, 2014, 347(9):183-192
doi: 10.1016/j.quaint.2014.07.014 URL |
| [52] | 冯小波. 试论汉水流域旧石器时代文化[A].见:第八届中国古脊椎动物学学术年会论文集[C]. 北京: 海洋出版社, 2001 |
| [53] | 张森水. 近20年来中国旧石器考古学的进展与思考[J]. 第四纪研究, 2002, 22(1):11-19 |
| [54] | 李英华, 孙雪峰. 湖北郧县后房旧石器遗址发掘简报[J]. 江汉考古, 2013(1):8-17 |
| [55] |
Li YH, Zhou YD, Sun XF, et al. New evidence of a lithic assemblage containing in situ Late Pleistocene bifaces from the Houfang site in the Hanshui River Valley, Central China[J]. C. R. Palevol. 2016, 17(1-2):131-142
doi: 10.1016/j.crpv.2015.12.005 URL |
| [56] |
Wang XL, Wintle AG, Lu YC. Thermally transferred luminescence in fine-grained quartz from Chinese loess: Basic observations[J]. Radiation Measurements, 2006, 41(6):649-658
doi: 10.1016/j.radmeas.2006.01.001 URL |
| [57] |
Wang XL, Wintle AG, Lu YC. Testing a single-aliquot protocol for recuperated OSL dating[J]. Radiation Measurements, 2007, 42(3):380-391
doi: 10.1016/j.radmeas.2006.12.015 URL |
| [58] |
Sun XF, Lu HY, Wang SJ, et al. TT-OSL dating of Longyadong Middle Paleolithic site and paleoenvironmental implications for hominin occupation in Luonan Basin (central China)[J]. Quaternary Research, 2013, 79(2):168-174
doi: 10.1016/j.yqres.2012.10.003 URL |
| [59] | Arnold LJ, Martina D, Spooner NA, et al. Single-grain TT-OSL bleaching characteristics: insights from modern analogues and OSL dating comparisons[J]. Quaternary Geochronology, 2019(49):45-51 |
| [60] |
Kim JC, Duller GA, Roberts HM, et al. Dose dependence of thermally transferred optically stimulated luminescence signals in quartz[J]. Radiation Measurements, 2009, 44(2):132-143
doi: 10.1016/j.radmeas.2008.12.001 URL |
| [61] | Tsukamoto S, Duller GA, Wintle AG. Characteristics of thermally transferred optically stimulated luminescence (TT-OSL) in quartz and its potential for dating sediments[J]. Radiat. Meas., 2008, (43):1204-1218 |
| [62] |
Porat N, Duller GA, Roberts HM, et al. A simplified SAR protocol for TT-OSL[J]. Radiation Measurements, 2009, 44(5-6):538-542
doi: 10.1016/j.radmeas.2008.12.004 URL |
| [63] | Jacobs Z, Roberts RG, Lachlan TJ, et al. Development of the SAR TT-OSL procedure for dating Middle Pleistocene dune and shallow marine deposits along the southern Cape coast of South Africa[J]. Quaternary Geochronology, 2011, 6(5):491-513 |
| [64] |
Arnold LJ, Demuro M, Maria Pares J, et al. Evaluating the suitability of extended-range luminescence dating techniques over early and Middle Pleistocene timescales: Published datasets and case studies from Atapuerca, Spain[J]. Quaternary International, 2015, 389(2):167-190
doi: 10.1016/j.quaint.2014.08.010 URL |
| [65] |
Guo XQ, Sun XF, Feng XB, et al. Luminescence dating of the Jigongshan Paleolithic site in Hubei Province, southern China[J]. Quaternary International, 2020, 554:36-44
doi: 10.1016/j.quaint.2020.08.014 URL |
| [66] | 十堰市博物馆. 郧县三浪滩遗址调查简报[J]. 江汉考古, 1999(3):1-6 |
| [67] | 赵海龙, 徐廷, 王利, 等. 湖北郧县肖沟旧石器时代遗址发掘简报[J]. 人类学学报, 2017, 36(1):27-37 |
| [68] | 周振宇, 王春雪, 高星. 丹江口北泰山庙旧石器遗址发掘简报[J]. 人类学学报, 2009, 28(3):246-261 |
| [69] | 杜杰, 冯小波, 王凤竹, 等. 湖北省郧县肖家河发现的石制品[J]. 华夏考古, 2015(1):26-33 |
| [70] | 冯小波, 陆成秋, 王昊. 湖北郧县直立人遗址研究新进展[J]. 江汉考古, 2011(3):57-64 |
| [71] |
Li TY, Etler DA . New Middle Pleistocene hominid crania from Yunxian in China[J]. Nature, 1992, 357(6377):404-407
doi: 10.1038/357404a0 URL |
| [72] | 原思训, 陈铁梅, 高世君. 华南若干旧石器时代地点的铀系年代[J]. 人类学学报, 1986(2):79-90 |
| [73] | 刘德银, 王幼平. 鸡公山遗址发掘初步报告[J]. 人类学学报, 2001, 20(2):102-114 |
| [74] | 潘亚娟, 沈冠军, 房迎三. 江苏镇江莲花洞动物化石铀系年代[J]. 人类学学报, 2002, 21(2):155-157 |
| [75] | 王红, 沈冠军, 房迎三. 江苏溧水神仙洞动物化石的铀系年代[J]. 东南文化, 2006(3):6-9 |
| [76] | 陆成秋, 董兵, 赵军, 等. 汉江中下游新发现的旧石器时代遗存研究[A].见:中国科学院古脊椎动物与古人类研究所,安徽省国土资源厅.第十六届中国古脊椎动物学学术年会论文集[C]. 北京: 海洋出版社, 2018: 206-217 |
| [77] |
Liu W, Martinón-Torres M, Cai YJ, et al. The earliest unequivocally modern humans in southern China[J]. Nature, 2015, 526(7575):696-699
doi: 10.1038/nature15696 URL |
| [78] |
Liu JF, Murray AS, Buylaert JP, et al. Stability of fine-grained TT-OSL and post-IR IRSL signals from a c.1 Ma sequence of aeolian and lacustrine deposits from the Nihewan Basin (northern China)[J]. Boreas, 2016, 45(4):703-714
doi: 10.1111/bor.2016.45.issue-4 URL |
| [1] | Evgeny P RYBIN, Arina M KHATSENOVICH. Selenga River human dispersal path in Initial Upper Paleolithic [J]. Acta Anthropologica Sinica, 2024, 43(05): 780-796. |
| [2] | GAO Huangwen, LIU Yingjie, LU Chengqiu, SUN Xuefeng, HUANG Xuchu, XU Jingyue. A preliminary report of the 2021 excavation at the Baobaoling site in Yunyang, Hubei [J]. Acta Anthropologica Sinica, 2024, 43(05): 828-838. |
| [3] | CHENG Nan, XIA Wenting, YANG Qing, JI Xueping, ZI Xing, FAN Bin, ZOU Zining, YU Tong, ZHANG Yu, SHI Lin, ZHANG Wuqi, ZHENG Hongbo. Stone artifacts, age and environment of the Sanhe Cave locality in Weishan, Yunnan [J]. Acta Anthropologica Sinica, 2024, 43(03): 392-404. |
| [4] | XIAO Peiyuan, RUAN Qijun, GAO Yu, JIA Zhenxiu, ZHANG Ming, YANG Lijing, LIU Jianhui, LI Sanling, LI Hao. 2022 survey report of Paleolithic sites in the Binchuan Basin in Yunnan [J]. Acta Anthropologica Sinica, 2024, 43(03): 448-457. |
| [5] | Hiroyuki SATO, Kazuki MORISAKI. On the beginning of the Japanese Upper Paleolithic: A review of recent archaeological and anthropological evidence [J]. Acta Anthropologica Sinica, 2024, 43(03): 470-487. |
| [6] | ZHAO Qingpo, MA Huanhuan. Preliminary report on Paleolithic archaeological surveys in Lingbao, central China [J]. Acta Anthropologica Sinica, 2024, 43(02): 321-330. |
| [7] | XU Jingwen, HUAN Faxiang, YANG Shixia. Analysis methods on Paleolithic age archaeological remains of ochre using [J]. Acta Anthropologica Sinica, 2024, 43(02): 331-343. |
| [8] | GAO Xing, ZHANG Yueshu, LI Feng, CHEN Fuyou, WANG Xiaomin, YI Mingjie. Preliminary Report on the 2016-2019 Excavation of the Donggutuo Paleolithic Site in the Nihewan Basin, North China [J]. Acta Anthropologica Sinica, 2024, 43(01): 106-121. |
| [9] | ZHAO Yunxiao, TONG Guang, TU Hua, ZHAO Hailong. Excavation report of the Shigou site C area in the Nihewan Basin, Hebei Province [J]. Acta Anthropologica Sinica, 2024, 43(01): 122-131. |
| [10] | ZHOU Shihang, HE Xiangdong, XU Jingyue, LI Xiaoli, NIU Dongwei. 2017 Excavation of the Donggou Paleolithic site in the Yuxian Basin [J]. Acta Anthropologica Sinica, 2024, 43(01): 132-142. |
| [11] | ZHANG Zhen, WANG Ying, LI Yuecong. Research progress on the relationship between Paleolithic hominid activities and environmental changes in the Nihewan Basin [J]. Acta Anthropologica Sinica, 2024, 43(01): 184-198. |
| [12] | LIU Lianqiang, PU Yuxiao, HOU Jiaqi, WANG Fagang. Stone artifacts from the Yuzuigou Locality 1 of the Majuangou Paleolithic site excavated in 2017 and 2018 [J]. Acta Anthropologica Sinica, 2024, 43(01): 40-54. |
| [13] | ZHOU Zhenyu, WANG Fagang, GUAN Ying. Stone artifacts unearthed in 1985 and 1986 from the Xibaimaying site of the Nihewan Basin, Hebei Province [J]. Acta Anthropologica Sinica, 2024, 43(01): 55-66. |
| [14] | FENG Yue, MEI Huijie, XIE Fei, SUN Xiuli, WANG Youping. Preliminary Results of the 1997-1998 Excavation of the Ma’anshan Site in Yangyuan, Hebei [J]. Acta Anthropologica Sinica, 2024, 43(01): 67-80. |
| [15] | TONG Guang, LI Feng, ZHAO Hailong, YAN Xiaomeng, GAO Xing. Heat treatment experiments on the volcanic breccia materials from the Nihewan Basin [J]. Acta Anthropologica Sinica, 2024, 43(01): 81-90. |
| Viewed | ||||||
|
Full text |
|
|||||
|
Abstract |
|
|||||