Please wait a minute...

当期目录

    2022年 第41卷 第02期    刊出日期:2022-04-15
    研究论文
    犬齿窝与人类中面部骨骼的演化
    Francesc RIBOT Trafí, Mario GARCÍA Bartual, Alfredo José ALTAMIRANO Enciso, 王谦
    2022, 41(02):  193-217.  doi:10.16359/j.1000-3193/AAS.2020.0016
    cstr:32091.14.j.1000-3193/AAS.2020.0016
    摘要 ( 6320 )   在线阅读 ( 213 )   PDF (83724KB) ( 975 )  
    数据和表 | 参考文献 | 相关文章 | 计量指标

    犬齿窝是包括现代人类在内的许多人族成员面部骨骼的重要性状,但在分类学上的意义仍存在争议。有学者认为该性状是一个发生于基础面形的近祖性状,除了一些例外,在灭绝和现生的大猿及人属中都存在。另有学者认为,犬齿窝是仅存在于智人及其直系祖先的衍生性状,在发育上与颧齿槽突嵴有关。这种关系并非总是成立,在智人中存在着明显的差异:弧型颧齿槽突嵴和直斜型颧齿槽突嵴与犬齿窝有时共存,有时不共存。我们由此推测,犬齿窝的发生和形态与上颌窦的前部发育有关,颧齿槽突嵴的形态与鼻窦的侧面发育有关。在人类演化的过程中,犬齿窝经历了不同的变形,比如上颌沟(如南方古猿非洲种、傍人粗壮种)、上颌小窝(如傍人粗壮种)、上颌沟(如匠人)或犬齿窝缺如(如傍人埃塞俄比亚种、傍人鲍氏种、肯尼亚扁脸人、人属鲁道夫种)。犬齿窝消失的原因各类群并不相同,如中新世和早更新世人属以及中更新世人属(如人属海德堡种/人属罗得西亚种、人属尼安德特种)。人属罗得西亚种具有弱化的犬齿窝,不具备演化为智人的可能,因此被排除在智人的演化支之外。

    新疆吐鲁番胜金店墓地人骨的牙齿微磨耗
    杨诗雨, 张群, 王龙, 张全超
    2022, 41(02):  218-225.  doi:10.16359/j.1000-3193/AAS.2021.0029
    cstr:32091.14.j.1000-3193/AAS.2021.0029
    摘要 ( 2828 )   在线阅读 ( 89 )   PDF (9697KB) ( 492 )  
    数据和表 | 参考文献 | 相关文章 | 计量指标

    本文使用不同倍率的超景深电子显微镜,对新疆吐鲁番胜金店墓地中出土的13例臼齿的颊侧微磨耗形态进行了观察和研究。通过对臼齿颊侧表面凹坑和条痕形态微磨耗的测量和统计,计算出每例牙齿的微痕数量、均长、均宽、凹坑百分比和Lh/Lv比值,按照性别和年龄分组进行人群内的数据对比分析。研究结果表明,该人群中年龄较大的个体摄入更高比例的植物类食物;两性的食物结构不存在显著性差异,男性摄入植物类食物比例略高,女性的食物结构在不同的年龄阶段有所差异。将胜金店墓地人群与不同生计方式人群的Lh/Lv比值进行人群间的差异性分析,并结合胜金店墓地的随葬品特点推测,胜金店墓地人群的食物结构以肉类食物为主,其生计模式以游牧业为主,兼营种植类经济。

    郑州青台遗址新石器时代中晚期人群龋齿的统计与分析
    原海兵, 顾万发, 魏青利, 吴倩, 丁兰坡, 曹豆豆
    2022, 41(02):  226-237.  doi:10.16359/j.1000-3193/AAS.2021.0023
    cstr:32091.14.j.1000-3193/AAS.2021.0023
    摘要 ( 2925 )   在线阅读 ( 76 )   PDF (54436KB) ( 551 )  
    数据和表 | 参考文献 | 相关文章 | 计量指标

    本文通过对郑州青台遗址新石器时代中晚期91例个体、1913枚牙齿罹患龋齿的统计与分析可知,青台人群患龋率为71.43%,龋齿率为13.38%。其中,龋齿率女性高于男性,可能与女性孕期生理变化、食物选择及性别分工等有关。上颌龋齿率高于下颌,臼齿及咬合面为龋齿易患齿类及部位。通过对比可知青台人群显示出较高的龋齿罹患率,暗示该人群饮食中应包含较多的碳水化合物类食物,这可能与新石器时代中晚期黄河中游发达的旱作农业有关。此外,龋齿率在黄河及长江中、下游新石器时代农业人群中的区域性差异可能与龋病病因的复杂性和各地区不同的文化面貌、人群生活方式有关。

    内蒙古和林格尔土城子农业人群与林西井沟子游牧人群股骨中部的生物力学对比
    魏偏偏, 张全超
    2022, 41(02):  238-247.  doi:10.16359/j.1000-3193/AAS.2021.0014
    cstr:32091.14.j.1000-3193/AAS.2021.0014
    摘要 ( 2063 )   在线阅读 ( 56 )   PDF (2828KB) ( 641 )  
    数据和表 | 参考文献 | 相关文章 | 计量指标

    肢骨的形态结构可以反映人类进化、古代人群的生存适应性活动和生存环境等重要信息。基于“骨骼功能适应”和“杠杆原理”,有学者对不同生计方式的古代人群下肢股骨开展了大量的研究工作,但是,国内外尚未有关于农业人群和游牧人群股骨之间差异性研究的报道。本文选取两个具有代表性的古代人群,即内蒙古和林格尔土城子戍边农业人群和内蒙古林西井沟子游牧人群进行对比研究。通过对股骨骨干中部横断面生物力学分析发现,农业人群股骨粗壮度与游牧人群之间具有显著差异。前者的平均粗壮度较大,后者女性组下肢骨的活动强度明显较小,这可能与游牧人群经常从事骑马活动而下肢骨活动强度相对较少有关。农业人群股骨指数的变异范围均大于游牧人群,这可能与前者男性的士兵身份有关;同时,也提示土城子男性组股骨所反映的行为活动信息并不代表真正意义上的纯农业人群下肢骨行为模式,而是一种农业和士兵行为的混合模式。在性别分工上,井沟子组的男女性均从事骑马活动,两侧股骨受力较为一致,在两侧不对称性程度和骨干横断面形状上的男女差异不大;男性股骨的粗壮度要明显大于女性,这与井沟子组男性还从事一定的狩猎行为有关。与游牧人群女性较为纤细的股骨不同,土城子组女性作为典型的农业人群代表,其下肢骨整体的活动强度较大,几乎与同组的男性和井沟子组男性相当,组内的性别差异相对较小;骨干横断面形状的显著性差异说明,土城子组内部男性和女性的行为活动方式存在明显的性别分工。本文研究结果说明农业人群女性的下肢骨活动强度较大,在行为活动方式上,戍边农业人群具有更为明显的性别分工。

    河南淇县宋庄东周墓葬一例殉人骨骼上发现疑似类风湿关节炎
    孙蕾
    2022, 41(02):  248-260.  doi:10.16359/j.1000-3193/AAS.2021.0033
    cstr:32091.14.j.1000-3193/AAS.2021.0033
    摘要 ( 2387 )   在线阅读 ( 91 )   PDF (335957KB) ( 841 )  
    数据和表 | 参考文献 | 相关文章 | 计量指标

    本文介绍了河南淇县宋庄东周贵族墓葬的一例殉人骨骼标本M9-X2,对标本中疑似类风湿关节炎的表现特征进行描述和分析。该殉人的肩、肘、手腕、髋、膝、脚踝等多处关节面的骨质存在对称性侵蚀。相关的X光片显示,侵蚀关节附近有骨质疏松。因未保存全部脊椎和两侧骶髂关节,虽然无法完全排除血清阴性脊椎关节炎的可能,但是对比多种关节疾病的不同骨骼病变特征后认为,该殉人骨质病变更倾向于类风湿关节炎。

    哈民忙哈遗址人和动物骨骼的C、N稳定同位素分析
    张全超, 孙语泽, 侯亮亮, 吉平, 朱永刚
    2022, 41(02):  261-273.  doi:10.16359/j.1000-3193/AAS.2021.0006
    cstr:32091.14.j.1000-3193/AAS.2021.0006
    摘要 ( 2275 )   在线阅读 ( 63 )   PDF (13263KB) ( 519 )  
    数据和表 | 参考文献 | 相关文章 | 计量指标

    哈民忙哈遗址是迄今为止内蒙古乃至东北地区发现面积最大的一处史前聚落遗址,为重建当时的生产和生活情况、文化习俗甚至思想观念等都提供了弥足珍贵的实物资料。其中,重建该遗址先民的食物结构和生业经济,有助于揭示哈民忙哈遗址产生和兴盛的动因及科尔沁沙地史前文化的变迁过程。目前,多学科的研究成果已经初步显示哈民忙哈遗址先民的生业经济具有多样性,但各种生业模式的比重以及是否存在家畜饲养等问题还缺乏相应的了解。本文对该遗址87例人骨与18例动物骨骼进行了C、N稳定同位素分析,还原了人和动物的食物结构及生业经济面貌。结果显示,陆生野生动物的食物结构主要基于C3植物类食物和少量的C4农作物,而犬科动物则体现出家养动物的食谱特性:食物主要依赖C4食物和人类食物残羹。C4类粟黍农作物和以此饲喂的动物是该遗址先民的主要食物来源,其中粟黍农作物在食物结构中的地位尤其重要。在该遗址中,女性摄入相对较多的粟黍和相对较少的肉类,与男性在食物结构上存在显著差异。农耕、家畜饲养是先民最重要的经济行为,狩猎、渔猎和采集是生业的重要补充。

    双生子多巴胺D3受体基因多态性对儿童体成分的影响
    刘晓敏, 乌云达来, 李玉玲
    2022, 41(02):  274-281.  doi:10.16359/j.1000-3193/AAS.2021.0028
    cstr:32091.14.j.1000-3193/AAS.2021.0028
    摘要 ( 2017 )   在线阅读 ( 17 )   PDF (594KB) ( 508 )  
    数据和表 | 参考文献 | 相关文章 | 计量指标

    均衡的体成分构成对维持机体的健康状态具有重要作用,体成分受遗传与环境因素的共同影响。多巴胺参与摄食、运动及认知等活动的调节,多巴胺D3受体(DRD3)对多巴胺神经通路起关键调节作用,进而对摄食功能发挥作用,从而可能对体成分产生影响。为了解遗传与环境因素对双生子儿童体成分的影响,并探讨DRD3基因单核苷酸多态性(SNP)与体成分的相关性,对160对4-12岁双生子肱三头肌皮褶厚度(d1)、肩胛下皮褶厚度(d2)、髂前上棘位皮褶厚度(d3)和体质量(m)进行了测量,计算d4(d1+d2)、d5(d2/d1),体脂率(Pf)、瘦体质量(ml);从口腔拭子中提取全基因组DNA;通过Amp FISTR Sino filerPlus试剂盒分析确定卵型;采用SNaPshot技术对DRD3基因4个SNP位点进行检测;使用Mx软件估算各指标遗传度;运用广义估计方程模型分析各指标与DRD3基因SNP的相关性。校正年龄效应后,除个别指标(d3, ml)外,男女生指标遗传度(h)学龄前期总体偏低,且某些指标(d2, d4, Pf, ml)的遗传度存在一定的性别差异。d2分别与rs324029、rs226082存在相关(P<0.05); d3分别与rs2134655、rs226082存在相关(P<0.05);d5分别与rs2134655、rs167771存在相关(P<0.05);Pf分别与rs226082、rs167771存在相关(P<0.05);ml分别与rs2134655、rs226082、rs167771存在相关(P<0.05)。本研究结果表明,遗传和环境因素对儿童体成分发育均有影响,但遗传效应可能存在一定的发育阶段和性别差异;DRD3基因SNPs与儿童的体成分可能存在一定的相关性。

    中国蒙古族的身高特征
    乌云达来, 郑连斌, 李咏兰
    2022, 41(02):  282-294.  doi:10.16359/j.1000-3193/AAS.2021.0015
    cstr:32091.14.j.1000-3193/AAS.2021.0015
    摘要 ( 9972 )   在线阅读 ( 846 )   PDF (6668KB) ( 4263 )  
    数据和表 | 参考文献 | 相关文章 | 计量指标

    研究目前中国蒙古族主要族群身高情况。对中国蒙古族共13个族群4410例(男43%,女57%)成人身高进行了测量,分析蒙古族身高分型情况,探讨不同年龄组之间、不同族群之间的身高变化趋势。中国蒙古族男性为超中等身材,女性为中等身材。在13个族群中,男性是额济纳土尔扈特部身高最高,云南蒙古族身材最矮。女性是鄂尔多斯部身材最高,云南蒙古族身材最矮。3个年龄组间身高差异均具有统计学意义。男性、女性都以高型出现率最高,过矮型出现率和很高型出现率都很低。中国蒙古族身高与中国其他北方族群接近,高于7个中国南方族群,低于北方汉族,但高于南方汉族,低于日本人、韩国人。中国蒙古族13个族群间身高差异均具有统计学意义,在中国族群中蒙古族属于身材较高的族群。

    通过稳定同位素分析云南大阴洞遗址先民的生业经济方式
    赵东月, 吕正, 张泽涛, 刘波, 凌雪, 万杨, 杨帆
    2022, 41(02):  295-307.  doi:10.16359/j.1000-3193/AAS.2021.0035
    cstr:32091.14.j.1000-3193/AAS.2021.0035
    摘要 ( 2537 )   在线阅读 ( 50 )   PDF (14553KB) ( 488 )  
    数据和表 | 参考文献 | 相关文章 | 计量指标

    农业的起源和传播是人类历史上最重要的变革之一。本文通过对云南省文山州广南县大阴洞遗址出土的17例人骨标本的C、N稳定同位素分析,探索新石器时代晚期至青铜时代,滇东南地区先民的食物结构和生业经济。结果显示,大阴洞遗址居民的δ13C值范围为-20.2‰ ~ -17.5‰,主要以C3类食物为主;δ15N值范围为9.2‰ ~ 10.7‰,所处的营养级别较高;两性之间存在食谱差异,大部分男性比女性摄入更多的动物蛋白。结合相关考古发现,大阴洞遗址居民可能主要经营稻作农业,兼营狩猎;对动物资源的利用可能具有多样性,并通过采集、渔猎及家畜饲养补充食物来源。考虑到云南作为农业向中南半岛传播的重要通道,进一步对云南地区新石器-青铜时代先民的生业策略选择的梳理发现,云南地区新石器时代不同区域的人群有不同的农业经营策略。到青铜时代,随着小麦的传入,农业经济的选择更为多元化,动物资源的获取技术也更加成熟多样。不同的农业策略选择除了受到自然条件的影响,也是与相邻地区文化互动的结果。

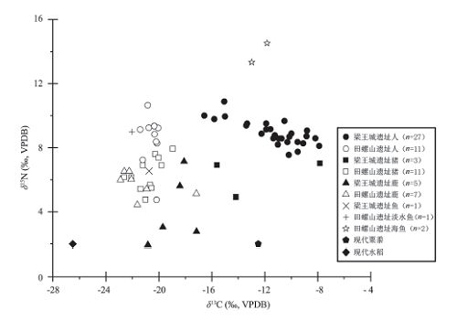
    通过食谱分析探讨田螺山与梁王城遗址先民对渔业资源的利用
    施崇阳, 郭怡
    2022, 41(02):  308-318.  doi:10.16359/j.1000-3193/AAS.2021.0025
    cstr:32091.14.j.1000-3193/AAS.2021.0025
    摘要 ( 2427 )   在线阅读 ( 56 )   PDF (12575KB) ( 428 )  
    数据和表 | 参考文献 | 相关文章 | 计量指标

    对渔业食用资源的利用是人类生业经济的重要方面,然而至今尚无专文介绍如何定量分析渔业食物资源在先民食物结构中所占的比例。本文采用利用同位素传递信号重建食谱(FRUITS)模型,以田螺山遗址与梁王城遗址已发表的先民和动植物稳定同位素数据为例,对先民食物结构中的多种食物资源比重进行分析。结果显示,梁王城遗址渔业资源在食谱中占5%~22%;田螺山遗址淡水渔业资源在食谱中占5%~20%,而海洋渔业资源在10%以下。

    秦岭汉江流域新发现旧石器遗址的地层与释光年代
    郭小奇, 孙雪峰, 王社江, 徐行华, 曾琼萱, 鹿艺鸣, 鹿化煜
    2022, 41(02):  319-333.  doi:10.16359/j.1000-3193/AAS.2021.0037
    cstr:32091.14.j.1000-3193/AAS.2021.0037
    摘要 ( 2284 )   在线阅读 ( 76 )   PDF (165979KB) ( 431 )  
    数据和表 | 参考文献 | 相关文章 | 计量指标

    汉江流域旧石器时代文化遗存丰富,南方砾石石器工业和北方小石片石器工业类型的遗存并存,对研究中国南北旧石器文化交流和发展演化具有重要的意义。2016-2018年夏天,我们在汉江流域进行野外调查,新发现十个含更新世晚期旧石器遗存的地点,利用热转移光释光(TT-OSL)方法对各遗址的地层进行了测年。测年结果表明,这几处旧石器地点的古人类活动主要发生在距今20-5万年之间,涵盖了L2、S1和L1三个阶段,与之前汉江流域第二级阶地发现的旧石器遗址年代基本一致。新发现的十个旧石器地点丰富了汉水流域旧石器遗存,为进一步研究该区域古人类旧石器遗址年代学和石器技术提供了新的材料。

    发掘/调查报告
    安徽省宁国市安友庄旧石器遗址调查及发掘简报
    董哲, 战世佳
    2022, 41(02):  334-341.  doi:10.16359/j.1000-3193/AAS.2021.0031
    cstr:32091.14.j.1000-3193/AAS.2021.0031
    摘要 ( 2668 )   在线阅读 ( 49 )   PDF (218882KB) ( 510 )  
    数据和表 | 参考文献 | 相关文章 | 计量指标

    2003-2004年,安徽省文物考古研究所对地处水阳江流域的宁国安友庄遗址开展野外调查及考古发掘,发掘面积250 m2,调查采集石制品3件,发掘出土石制品49件。石制品原料以中津河(水阳江一级支流)二级阶地底部砾石层中产出的石英岩砾石为主,少量为石英。石制品类型包括石核、石片和石器。石制品均为使用硬锤直接剥片。石制品主要出自中国南方地区常见的网纹红土和均质红土中,根据长江中下游地区第四纪红土风化壳的相关研究结果,初步推断安友庄遗址古人类生存与活动的年代延续中更新世中、晚期一段时间。虽然安友庄遗址发现石制品数量不多,但其中存在模式2技术产品,如剥取大石片的大石核、长度大于或等于10 cm的大石片,以及以手斧、大型石刀等为代表的大型切割石器,特别是比较典型的两面加工手斧在水阳江流域尚不多见。安友庄遗址的发现,为进一步讨论早期人类在长江下游地区的扩散与技术发展具有重要的科学意义。

    内蒙古哈民忙哈遗址废弃情境观察与分析
    陈醉, 朱永刚
    2022, 41(02):  342-353.  doi:10.16359/j.1000-3193/AAS.2021.0049
    cstr:32091.14.j.1000-3193/AAS.2021.0049
    摘要 ( 2714 )   在线阅读 ( 53 )   PDF (137379KB) ( 354 )  
    数据和表 | 参考文献 | 相关文章 | 计量指标

    哈民忙哈遗址位于科尔沁沙地腹心地带,是迄今在西辽河以北地区发现的最重要的史前聚落遗址。本文全面考察2010~2014年发掘的44座房址的废弃情境,将它们分为三种类型。不同类型房址体现的不同废弃行为方式,分别对应灾难性、不预期返回和预期返回三种废弃模式。科尔沁沙地脆弱的生态环境促使人们采取流动性居住方式、依赖多元化的生计方式,从而形成了不预期返回和预期返回废弃模式。但这种人地关系的短暂平衡仍然潜伏着危机,当一系列因素耦合作用时,酿成了一场可怕的灾难,导致聚落形成最后阶段的灾难性废弃模式。

    综述
    述评典型阿舍利遗址的石器技术及其蕴含的古人类行为
    李浩, 雷蕾, 李大伟, 张萌
    2022, 41(02):  354-369.  doi:10.16359/j.1000-3193/AAS.2021.0011
    cstr:32091.14.j.1000-3193/AAS.2021.0011
    摘要 ( 2884 )   在线阅读 ( 144 )   PDF (60752KB) ( 956 )  
    数据和表 | 参考文献 | 相关文章 | 计量指标

    近年来,有关中国含手斧石器工业的研究取得了一系列进展,但是,在更深层次的人群社会行为研究方面的相关工作较为薄弱。本文以肯尼亚Olorgesailie遗址、以色列Gesher Benot Ya‘aqov遗址和英国Boxgrove等典型遗址为例,对国外不同地区、不同阶段阿舍利遗址中有关古人类社会行为的研究案例进行介绍和评述。通过这些述评,一方面促进我们对手斧人群社会行为的深入理解和认识,另一方面,也为推动国内相关研究工作的开展提供有益的启示和借鉴。

    从石制品技术特征视角探讨史前狩猎采集者的流动性
    赵潮
    2022, 41(02):  370-380.  doi:10.16359/j.cnki.cn11-1963/q.2020.0082
    cstr:32091.14.j.cnki.cn11-1963/q.2020.0082
    摘要 ( 1906 )   在线阅读 ( 59 )   PDF (2496KB) ( 991 )  
    数据和表 | 参考文献 | 相关文章 | 计量指标

    流动采食是狩猎采集者适应环境,获取生存资源的重要策略。对不同时空范围内狩猎采集群体的流动性具体特征进行探讨,有利于我们更加深入全面地理解史前狩猎采集者的人地互动模式、文化演进、社会转型等重要问题。本文以石制品技术组织理论为视角,结合相关研究案例,探讨如何通过分析考古出土的石制品特征,推断史前狩猎采集者不同形态特征的流动性策略,并讨论了通过石制品视角推断流动性特征的局限性及所需注意的事项。