Acta Anthropologica Sinica ›› 2020, Vol. 39 ›› Issue (04): 616-631.doi: 10.16359/j.cnki.cn11-1963/q.2020.0041
Previous Articles Next Articles
Received:2020-02-08
Revised:2020-04-10
Online:2020-11-15
Published:2020-09-19
CLC Number:
WEI Pianpian. Structural properties of the femoral remains from Lijiang, Yunnan province[J]. Acta Anthropologica Sinica, 2020, 39(04): 616-631.
Add to citation manager EndNote|Ris|BibTeX
URL: https://www.anthropol.ac.cn/EN/10.16359/j.cnki.cn11-1963/q.2020.0041
| 分组 | 标本号 | |
|---|---|---|
| 35% | Q1 | KNM-ER 736, 737, 803a, 1472, 1481a, 1808mn, Kresna 11 |
| Q21 | A?n Maarouf 1, AT-SH F-IX, X, Gesher-B.-Y. 1, OH 28, Trinil II, III, IV, V | |
| Q23 | Broken Hill E690 | |
| Nea. | Amud, Chapelle-aux-Saints 1, Feldhofer 1, Ferrassie 1, 2, Fond-de-Forêt 1, Spy 2, Tabun 1 | |
| Q2 | Qafzeh 9, Skhul 4, 5, 6, 7, Cro-Magnon 1, 4322, 4328, Dolní V?stonice 3, Dolní V?stonice 13, Dolní V?stonice 14, Dolní V?stonice 16, Dolní V?stonice 40, Ein Gev 1, Minatogawa 1, Minatogawa 3, Minatogawa 4, Mlade? 27, Nahal ‘En-Gev 1, Ohalo 2, Paviland 1, Pavlov 1, Sunghir 1, 4, Trinil Ⅰ | |
| 50% | Q1 | KNM-ER 736, 737, 803a, 1472, 1481a, 1808mn, BOU_VP_2/15,19/63, Kresna 11 |
| Q21 | A?n Maarouf 1, AT-SH F-IX, X, XIII, XIV, XVI, Gesher-B.-Y. 1, OH28, Trinil II, IV, V, Zhoukoudian 1, 2, 4, 5, 6, | |
| Q23 | Berg Aukas 1, Broken Hill E690, E793, Castel del Guido 1, Ehringsdorf 5, La Chaise-BD 5, Mammolo 1, Tabun E1, Lazeret 15/17, 25, Karain | |
| Nea. | Amud 1, CDV-Tour 1, Chapelle-aux-Saints 1, Feldhofer 1, Ferrassie 1, 2, Fond-de-Forêt 1, Palomas 96, Quina 5, Rochers-de-V. 1, Saint-Césaire 1, Shanidar 4, 5, 6, Spy 2, Tabun 1, 3 | |
| 50% | Q3 | Qafzeh 3, 8, 9, Skhul 3, 4, 5, 6, 7, Arena Candide 1, Barma Grande 2, Cro-Magnon 1, 4322, 4324, Dolní V?stonice 3, 13, 14, 16, 35, Ein Gev 1, Grotte-des-Enfants 4, Minatogawa 1, 2, 3, 4, Mlade? 27, Nahal ‘En-Gev 1, Ohalo 2, Paglicci 25, Paviland 1, Pavlov 1, Rochette 2, Sunghir 1, 4, Veneri 1, 2, Willendorf 1, Zhoukoudian-UC 67, UC 68 |
| 65% | Q1 | KNM-ER 736, 737, 803a, 1472, 1481a, 1808mn, Kresna 11 |
| Q21 | A?n Maarouf 1, AT-SH F-X, XI, XIII, XVI, AT-1020, Gesher-B.-Y. 1, OH 28, Trinil II, III, IV | |
| Q23 | Broken Hill E690, Tabun E1, Karain | |
| Nea. | Amud 1, CDV-Tour 1, Feldhofer 1, Ferrassie 1, 2, Fond-de-Forêt 1, Krapina 257.32, 257.33, Palomas 52, 92, 96, Quina 38, Shanidar 6, Spy 2 | |
| Q3 | Qafzeh 6, 8, 9, Skhul 4, 5, Cro-Magnon 1, 4322, 4324, Dolní V?stonice 3, 13, 14, 16, 41, Eiv Gev 1, Minatogawa 1, 3, 4, Mlade? 27, 28, Nahal ‘En-Gev 1, Ohalo 2, Paviland, Pavlov 1, Sunghir 1, 4, Tianyuan 1, Willendorf 1 | |
| 80% | Q1 | KNM-ER 736, 737, 803a, 1472, 1481a, 1808mn, Kresna 11 |
| Q21 | AT-SH F-X, XI, XIII, XIV, XVI, AT-1020, Gesher-B.-Y. 1, OH 28, Trinil II, III, IV | |
| Q23 | Broken Hill E689, E690, E709, La Chaise-BD 5, Tabun E1 | |
| Nea. | Amud 1, Chapelle-aux-Saints 1, Feldhofer 1, Ferrassie 1, 2, Krapina 213, 214, Saint-Césaire 1, Spy 2, Tabun 1 | |
| Q3 | Qafzeh 8, 9, Skhul 4, 5, 6, 9, Arene Candide 1, Barma Grande 2, Cro-Magnon 1, 4322, Dolní V?stonice 3, 13, 14, 16, 35, Ein Gev 1, Grotte-des-Enfants 4, Minatogawa 1, 2, 3, 4, Mlade? 27, 28, Nahal ‘En-Gev 1, Ohalo 2, Paglicci 25, Paviland 1, Pavlov 1, Rochette 2, Sunghir 1,Tianyuan 1, Veneri 1, 2 |
Tab.1 Comparative Pleistocene Hominin samples for cross-sectional geometry
| 分组 | 标本号 | |
|---|---|---|
| 35% | Q1 | KNM-ER 736, 737, 803a, 1472, 1481a, 1808mn, Kresna 11 |
| Q21 | A?n Maarouf 1, AT-SH F-IX, X, Gesher-B.-Y. 1, OH 28, Trinil II, III, IV, V | |
| Q23 | Broken Hill E690 | |
| Nea. | Amud, Chapelle-aux-Saints 1, Feldhofer 1, Ferrassie 1, 2, Fond-de-Forêt 1, Spy 2, Tabun 1 | |
| Q2 | Qafzeh 9, Skhul 4, 5, 6, 7, Cro-Magnon 1, 4322, 4328, Dolní V?stonice 3, Dolní V?stonice 13, Dolní V?stonice 14, Dolní V?stonice 16, Dolní V?stonice 40, Ein Gev 1, Minatogawa 1, Minatogawa 3, Minatogawa 4, Mlade? 27, Nahal ‘En-Gev 1, Ohalo 2, Paviland 1, Pavlov 1, Sunghir 1, 4, Trinil Ⅰ | |
| 50% | Q1 | KNM-ER 736, 737, 803a, 1472, 1481a, 1808mn, BOU_VP_2/15,19/63, Kresna 11 |
| Q21 | A?n Maarouf 1, AT-SH F-IX, X, XIII, XIV, XVI, Gesher-B.-Y. 1, OH28, Trinil II, IV, V, Zhoukoudian 1, 2, 4, 5, 6, | |
| Q23 | Berg Aukas 1, Broken Hill E690, E793, Castel del Guido 1, Ehringsdorf 5, La Chaise-BD 5, Mammolo 1, Tabun E1, Lazeret 15/17, 25, Karain | |
| Nea. | Amud 1, CDV-Tour 1, Chapelle-aux-Saints 1, Feldhofer 1, Ferrassie 1, 2, Fond-de-Forêt 1, Palomas 96, Quina 5, Rochers-de-V. 1, Saint-Césaire 1, Shanidar 4, 5, 6, Spy 2, Tabun 1, 3 | |
| 50% | Q3 | Qafzeh 3, 8, 9, Skhul 3, 4, 5, 6, 7, Arena Candide 1, Barma Grande 2, Cro-Magnon 1, 4322, 4324, Dolní V?stonice 3, 13, 14, 16, 35, Ein Gev 1, Grotte-des-Enfants 4, Minatogawa 1, 2, 3, 4, Mlade? 27, Nahal ‘En-Gev 1, Ohalo 2, Paglicci 25, Paviland 1, Pavlov 1, Rochette 2, Sunghir 1, 4, Veneri 1, 2, Willendorf 1, Zhoukoudian-UC 67, UC 68 |
| 65% | Q1 | KNM-ER 736, 737, 803a, 1472, 1481a, 1808mn, Kresna 11 |
| Q21 | A?n Maarouf 1, AT-SH F-X, XI, XIII, XVI, AT-1020, Gesher-B.-Y. 1, OH 28, Trinil II, III, IV | |
| Q23 | Broken Hill E690, Tabun E1, Karain | |
| Nea. | Amud 1, CDV-Tour 1, Feldhofer 1, Ferrassie 1, 2, Fond-de-Forêt 1, Krapina 257.32, 257.33, Palomas 52, 92, 96, Quina 38, Shanidar 6, Spy 2 | |
| Q3 | Qafzeh 6, 8, 9, Skhul 4, 5, Cro-Magnon 1, 4322, 4324, Dolní V?stonice 3, 13, 14, 16, 41, Eiv Gev 1, Minatogawa 1, 3, 4, Mlade? 27, 28, Nahal ‘En-Gev 1, Ohalo 2, Paviland, Pavlov 1, Sunghir 1, 4, Tianyuan 1, Willendorf 1 | |
| 80% | Q1 | KNM-ER 736, 737, 803a, 1472, 1481a, 1808mn, Kresna 11 |
| Q21 | AT-SH F-X, XI, XIII, XIV, XVI, AT-1020, Gesher-B.-Y. 1, OH 28, Trinil II, III, IV | |
| Q23 | Broken Hill E689, E690, E709, La Chaise-BD 5, Tabun E1 | |
| Nea. | Amud 1, Chapelle-aux-Saints 1, Feldhofer 1, Ferrassie 1, 2, Krapina 213, 214, Saint-Césaire 1, Spy 2, Tabun 1 | |
| Q3 | Qafzeh 8, 9, Skhul 4, 5, 6, 9, Arene Candide 1, Barma Grande 2, Cro-Magnon 1, 4322, Dolní V?stonice 3, 13, 14, 16, 35, Ein Gev 1, Grotte-des-Enfants 4, Minatogawa 1, 2, 3, 4, Mlade? 27, 28, Nahal ‘En-Gev 1, Ohalo 2, Paglicci 25, Paviland 1, Pavlov 1, Rochette 2, Sunghir 1,Tianyuan 1, Veneri 1, 2 |
| 分组 | 标本号 | |
|---|---|---|
| 50% | Q1 | BOU_VP_2/15,19/63, Kresna 11 |
| Q21 | A?n Maarouf 1, AT-SH F-X, Gesher-B.-Y. 1, OH 28, Zhoukoudian 1, 2, 4, 5, 6 | |
| Q23 | Berg Aukas 1, Broken Hill E690, Ehringsdorf 5, Karain E, La Chaise-BD 5, Lazeret 15/17, 25, Tabun E1, | |
| Nea. | Amud 1, Chapelle-aux-Saints 1, Feldhofer 1, Ferrassie 1, 2, Fond-de-Forêt 1, La Chaise Tour, Palomas 96, Pradelles LP 10-D13 362, Saint-Césaire 1, Shanidar 4, 5, 6, Spy 2, Tabun 1, 3 | |
| Q3 | Qafzeh 3, 8, 9, Skhul 3, 4, 5, 6, 7, Barma Grande 2, Bausu da Ture 1, 2, Cro-Magnon 4322, 4323, 4324, 4325, Dolní V?stonice 3, 13, 14, 16, 35, Grotte-des-Enfants 3, 4, LaRochette, Liujiang, Minatogawa 1, 2, 3, 4, Mlade? 27, Nahal ‘En-Gev 1, Neussing, Ohalo 2, Ostuni 1, Paglicci 25, Parabita 1, 2, Paviland 1, Pavlov 1, Predmosti 3, 4, 14, Rochette 2, Sunghir 1, 4, Ust-lshim 1, Veneri 1, 2, Willendorf 1, Tianyuan 1, Zhoukoudian-UC 67, UC 68 | |
| 80% | Q21 | AT-SH F-X. Gesher-B.-Y. 1, OH 28, Zhoukoudian 1, 4 |
| Q23 | Berg Aukas 1, Broken Hill E689, E690, E709, La Chaise-BD5, Lazeret 15/17, 25, Tabun E1 | |
| Nea. | Amud 1, Chapelle-aux-Saints 1, Feldhofer 1, Ferrassie 1, 2, Krapina 213, 214, Palomas 92, Saint-Césaire 1, Tabun 1 | |
| Q3 | Qafzeh 8, Skhul 4, 5, 6, Arene Candide 1, Bausu da Ture 1, 2, Barma Grande 2, Cro-Magnon 4322, 4323, 4325, Dolní V?stonice 3, 13, 14, 16, 35, Grotte-des-Enfants 3, 4, Liujiang, Minatogawa 1, 2, 3, 4, Mlade? 27, 28, Nahal ‘En-Gev 1, Neuessing, Ohalo 2, Paglicci 25, Parabita 1, 2, Paviland 1, Pavlov 1, Predmosti 3, 4, 9, 10, 14, Rochette 2, Sunghir 1, 4, Tianyuan 1, Ust-lshim 1, Veneri 1, 2, Zhoukoudian-UC 67, UC 68 |
Tab.2 Comparative Pleistocene Hominin samples for Geometric Morphometrics
| 分组 | 标本号 | |
|---|---|---|
| 50% | Q1 | BOU_VP_2/15,19/63, Kresna 11 |
| Q21 | A?n Maarouf 1, AT-SH F-X, Gesher-B.-Y. 1, OH 28, Zhoukoudian 1, 2, 4, 5, 6 | |
| Q23 | Berg Aukas 1, Broken Hill E690, Ehringsdorf 5, Karain E, La Chaise-BD 5, Lazeret 15/17, 25, Tabun E1, | |
| Nea. | Amud 1, Chapelle-aux-Saints 1, Feldhofer 1, Ferrassie 1, 2, Fond-de-Forêt 1, La Chaise Tour, Palomas 96, Pradelles LP 10-D13 362, Saint-Césaire 1, Shanidar 4, 5, 6, Spy 2, Tabun 1, 3 | |
| Q3 | Qafzeh 3, 8, 9, Skhul 3, 4, 5, 6, 7, Barma Grande 2, Bausu da Ture 1, 2, Cro-Magnon 4322, 4323, 4324, 4325, Dolní V?stonice 3, 13, 14, 16, 35, Grotte-des-Enfants 3, 4, LaRochette, Liujiang, Minatogawa 1, 2, 3, 4, Mlade? 27, Nahal ‘En-Gev 1, Neussing, Ohalo 2, Ostuni 1, Paglicci 25, Parabita 1, 2, Paviland 1, Pavlov 1, Predmosti 3, 4, 14, Rochette 2, Sunghir 1, 4, Ust-lshim 1, Veneri 1, 2, Willendorf 1, Tianyuan 1, Zhoukoudian-UC 67, UC 68 | |
| 80% | Q21 | AT-SH F-X. Gesher-B.-Y. 1, OH 28, Zhoukoudian 1, 4 |
| Q23 | Berg Aukas 1, Broken Hill E689, E690, E709, La Chaise-BD5, Lazeret 15/17, 25, Tabun E1 | |
| Nea. | Amud 1, Chapelle-aux-Saints 1, Feldhofer 1, Ferrassie 1, 2, Krapina 213, 214, Palomas 92, Saint-Césaire 1, Tabun 1 | |
| Q3 | Qafzeh 8, Skhul 4, 5, 6, Arene Candide 1, Bausu da Ture 1, 2, Barma Grande 2, Cro-Magnon 4322, 4323, 4325, Dolní V?stonice 3, 13, 14, 16, 35, Grotte-des-Enfants 3, 4, Liujiang, Minatogawa 1, 2, 3, 4, Mlade? 27, 28, Nahal ‘En-Gev 1, Neuessing, Ohalo 2, Paglicci 25, Parabita 1, 2, Paviland 1, Pavlov 1, Predmosti 3, 4, 9, 10, 14, Rochette 2, Sunghir 1, 4, Tianyuan 1, Ust-lshim 1, Veneri 1, 2, Zhoukoudian-UC 67, UC 68 |
Fig.2 Left: Lijiang femur (blue) superimposed onto one complete femur of recent modern human(grey); Right: Femoral diaphyseal cross-sections of Lijiang femur
Fig.3 Landmarks (read point) and semi-landmarks (blue points) of the geometric morphometric analysis on the midshaft (50%, left) and subtrochanteric (80%, right) cross-section contour
| St | Sc | Ix | Iy | Imax | Imin | Zx | Zy | J | Zp | |
|---|---|---|---|---|---|---|---|---|---|---|
| 35% | 607.56 | 339.37 | 23430.29 | 24590.17 | 24814.00 | 23206.45 | 1557.50 | 1608.61 | 48020.46 | 3025.11 |
| 50% | 576.61 | 429.42 | 24544.16 | 25719.01 | 25793.88 | 24469.29 | 1581.44 | 1821.63 | 50263.17 | 3152.13 |
| 65% | 635.80 | 442.18 | 25339.26 | 33490.95 | 33601.56 | 25228.65 | 1775.69 | 2155.66 | 58830.21 | 3741.69 |
| 80% | 683.21 | 417.64 | 22208.13 | 45382.20 | 46303.39 | 21286.95 | 1741.79 | 2485.77 | 67590.33 | 3637.94 |
Tab.3 CSG properties of Lijiang femur PA108
| St | Sc | Ix | Iy | Imax | Imin | Zx | Zy | J | Zp | |
|---|---|---|---|---|---|---|---|---|---|---|
| 35% | 607.56 | 339.37 | 23430.29 | 24590.17 | 24814.00 | 23206.45 | 1557.50 | 1608.61 | 48020.46 | 3025.11 |
| 50% | 576.61 | 429.42 | 24544.16 | 25719.01 | 25793.88 | 24469.29 | 1581.44 | 1821.63 | 50263.17 | 3152.13 |
| 65% | 635.80 | 442.18 | 25339.26 | 33490.95 | 33601.56 | 25228.65 | 1775.69 | 2155.66 | 58830.21 | 3741.69 |
| 80% | 683.21 | 417.64 | 22208.13 | 45382.20 | 46303.39 | 21286.95 | 1741.79 | 2485.77 | 67590.33 | 3637.94 |
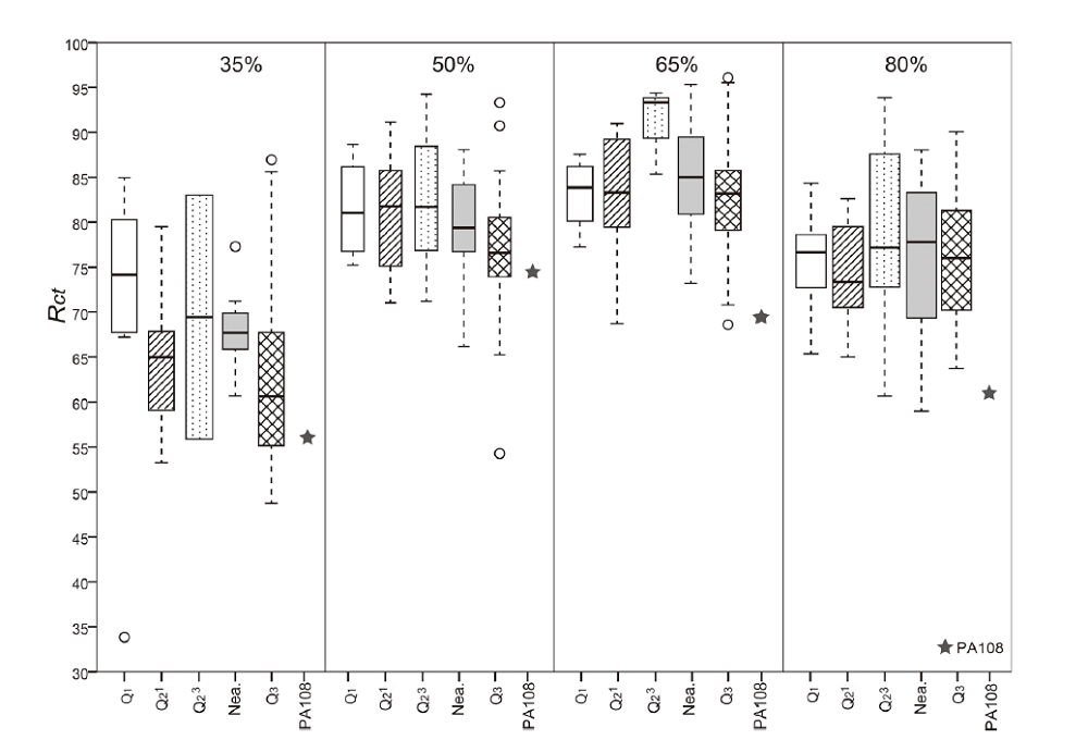
Fig.4 The comparative values of %CA measured at 35%, 50%, 65%, and 80% of the biomechanical length in PA108 and in five Pleistocene hominin groups From left to right Early Pleistocene (Q1), Early Middle Pleistocene (Q21), Late Middle Pleistocene (Q23), Neandertals (Nea.), Late Pleistocene Modern humans (Q3)
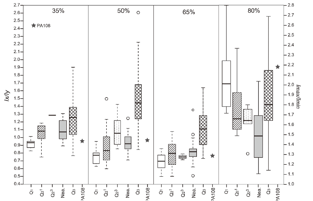
Fig.5 The comparative values of Ix/Iy and Imax/Imin measured at 35%, 50%, 65%, and 80% of the biomechanical length in PA108 and in five Pleistocene hominin groups See Fig.4 caption for definitions of group names associated with abbreviations
Fig.6 The geometric morphometric analysis of femoral midshaft in PA108 and in five Pleistocene hominin groups Confidence ellipse contain 90% of the data points with 0.9 probability, Early Pleistocene (Q1), Early Middle Pleistocene (Q21), Late Middle Pleistocene (Q23), Neanderthals (Nea.), Late Pleistocene Modern humans (Q3), Upper Cave (UC), and Liujiang (LJ)
Fig.7 Shape relationships of midshaft cross-sectional contour among PA108 and Pleistocene hominins Early Pleistocene (Q1), Early Middle Pleistocene (Q21), Late Middle Pleistocene (Q23), Neanderthals (NEA), and Late Pleistocene Modern humans (Q3)
| 分组 | Q1 | Q21 | Q23 | Nea. | Q3组 | PA108 | Total |
|---|---|---|---|---|---|---|---|
| Q1 | 2(66.7%) | 1(33.3% ) | 0 | 0 | 0 | 0 | 3(100.0%) |
| Q21 | 0 | 7(77.8%) | 0 | 2(22.2%) | 0 | 0 | 9(100.0%) |
| Q23 | 0 | 1(12.5%) | 1(12.5%) | 4(50.0%) | 2(25.0%) | 0 | 8(100.0%) |
| Nea. | 0 | 0 | 2(11.1%) | 16(88.9%) | 0 | 0 | 18(100.0%) |
| Q3 | 0 | 0 | 0 | 0 | 57(100%) | 0 | 57(100.0%) |
| PA108 | 0 | 0 | 0 | 0 | 0 | 1(100%) | 1(100.0%) |
Tab.4 The cross-validated results of the CVA at the femoral 50% cross-section
| 分组 | Q1 | Q21 | Q23 | Nea. | Q3组 | PA108 | Total |
|---|---|---|---|---|---|---|---|
| Q1 | 2(66.7%) | 1(33.3% ) | 0 | 0 | 0 | 0 | 3(100.0%) |
| Q21 | 0 | 7(77.8%) | 0 | 2(22.2%) | 0 | 0 | 9(100.0%) |
| Q23 | 0 | 1(12.5%) | 1(12.5%) | 4(50.0%) | 2(25.0%) | 0 | 8(100.0%) |
| Nea. | 0 | 0 | 2(11.1%) | 16(88.9%) | 0 | 0 | 18(100.0%) |
| Q3 | 0 | 0 | 0 | 0 | 57(100%) | 0 | 57(100.0%) |
| PA108 | 0 | 0 | 0 | 0 | 0 | 1(100%) | 1(100.0%) |
Fig.8 The geometric morphometric analysis of femoral subtrochanteric cross-section in PA108 and in five Pleistocene hominin groups Confidence ellipse contain 90% of the data points with 0.9 probability, Early Middle Pleistocene (Q21), Late Middle Pleistocene (Q23), Neanderthals (Nea.), and Late Pleistocene Modern humans (Q3), Liujiang (LJ), Upper Cave (UC), TY (Tianyuan)
| 分组 | Q21 | Q23 | Nea. | Q3 | PA108 | Total |
|---|---|---|---|---|---|---|
| Q21 | 2(40.0%) | 1(20.0%) | 0 | 2(40.0%) | 0 | 5(100.0%) |
| Q23 | 0 | 4(50.0%) | 1(12.5%) | 3(37.5%) | 0 | 8(100.0%) |
| Nea. | 0 | 2(16.7%) | 8(66.7%) | 2(16.7%) | 0 | 12(100.0%) |
| Q3 | 0 | 0 | 0 | 58(100%) | 0 | 58(100.0%) |
| PA108 | 0 | 0 | 0 | 0 | 1(100%) | 1(100.0%) |
Tab.5 The cross-validated results of the CVA at the femoral 80% cross-section
| 分组 | Q21 | Q23 | Nea. | Q3 | PA108 | Total |
|---|---|---|---|---|---|---|
| Q21 | 2(40.0%) | 1(20.0%) | 0 | 2(40.0%) | 0 | 5(100.0%) |
| Q23 | 0 | 4(50.0%) | 1(12.5%) | 3(37.5%) | 0 | 8(100.0%) |
| Nea. | 0 | 2(16.7%) | 8(66.7%) | 2(16.7%) | 0 | 12(100.0%) |
| Q3 | 0 | 0 | 0 | 58(100%) | 0 | 58(100.0%) |
| PA108 | 0 | 0 | 0 | 0 | 1(100%) | 1(100.0%) |
| 分组 | 嵴指数Pilastric index | 扁平指数Platymeric index |
|---|---|---|
| Q1 | 96.7±13.0 (6) | 73.5±4.8 (5) |
| Q2 | 96.5±12.1 (19) | 73.8±7.5 (12) |
| Neandertals | 99.8±7.6 (22) | 80.1±5.2 (27) |
| Q2 MH1 | 124.0±15.6 (12) | 85.8±12.0 (9) |
| E/MUP2 | 115.9±13.0 (56) | 74.9±6.7 (62) |
| LUP3 | 114.5±8.8 (25) | 80.2±12.3 (24) |
| PA108 | 106.4 | 74.8 |
Tab.6 Comparative cross-sectional indices of linear measurement[6, 25]
| 分组 | 嵴指数Pilastric index | 扁平指数Platymeric index |
|---|---|---|
| Q1 | 96.7±13.0 (6) | 73.5±4.8 (5) |
| Q2 | 96.5±12.1 (19) | 73.8±7.5 (12) |
| Neandertals | 99.8±7.6 (22) | 80.1±5.2 (27) |
| Q2 MH1 | 124.0±15.6 (12) | 85.8±12.0 (9) |
| E/MUP2 | 115.9±13.0 (56) | 74.9±6.7 (62) |
| LUP3 | 114.5±8.8 (25) | 80.2±12.3 (24) |
| PA108 | 106.4 | 74.8 |
Fig.9 Morphometric mapping of cortical bone distribution in PA108 and other Pleistocene human specimens Upper line: Neanderthals, bottom line: early modern humans, using global scale. Thickness rendered by chromatic scale increasing from dark blue to red
| [1] | 刘武, 吴秀杰, 邢松, 等. 中国古人类化石[M]. 北京: 科学出版社, 2014, 347-350 |
| [2] | 李有恒. 云南丽江盆地一个第四纪哺乳类化石地点[J]. 古脊椎动物与古人类, 1961(2):143-149 |
| [3] | 云南省博物馆. 云南丽江人类头骨的初步研究[J]. 古脊椎动物与古人类, 1977,15(2):157-161 |
| [4] | 吴新智. 现代人起源的多地区进化学说在中国的实证[J]. 第四纪研究, 2006,26(5):702-709 |
| [5] |
Puymerail L, Ruff CB, Bondioli L, et al. Structural analysis of the Kresna 11 Homo erectus femoral shaft (Sangiran, Java)[J]. Journal of Human Evolution, 2012,63:741-749
doi: 10.1016/j.jhevol.2012.08.003 URL pmid: 23036460 |
| [6] | Trinkaus E, Ruff CB. Femoral and tibial diaphyseal cross-Sectional geometry in Pleistocene Homo[J]. PaleoAnthropology, 2012, 13-62 |
| [7] |
Chevalier T, Özçelik K, Lumley M-A. et al. The endostructural pattern of a middle pleistocene human femoral diaphysis from the Karain E site (Southern Anatolia, Turkey)[J]. American Journal of Physical Anthropology, 2015,157:648-658
URL pmid: 26059778 |
| [8] |
Ruff CB, Puymerail L, Macchiarelli R, et al. Structure and composition of the Trinil femora: Functional and taxonomic implications[J]. Journal of Human Evolution, 2015,80:147-158
doi: 10.1016/j.jhevol.2014.12.004 URL pmid: 25681015 |
| [9] |
Rodríguez L, Carretero J.M, García-González R, et al. Cross-sectional properties of the lower limb long bones in the Middle Pleistocene Sima de los Huesos sample (Sierra de Atapuerca, Spain)[J]. Journal of Human Evolution, 2018,117:1-12
doi: 10.1016/j.jhevol.2017.11.007 URL pmid: 29544620 |
| [10] |
Bondioli L, Bayle P, Dean C, et al. Technical note: Morphometric maps of long bone shafts and dental roots for imaging topographic thickness variation[J]. American Journal of Physical Anthropology, 2010,142:328-334
URL pmid: 20229503 |
| [11] | Puymerail L, Volpato V, Debénath A, et al. Neanderthal partial femora diaphysis from the “Grotte de la Tour”, La Chaise-de-Vouthon (Charente, France) : Outer morphology and endostructural organization[J]. Comptes Rendus Palevol, 2012,11:581-593 |
| [12] | Puymerail L, Condemi S, Debénath A. Analyse comparative structurale des diaphyses fémorales néandertaliennes BD 5 (MIS 5e) et CDV-Tour 1 (MIS 3) de La Chaise-de-Vouthon, Charente, France[J]. PALEO. Revue d’archéologie préhistorique, 2013,24:257-270 |
| [13] |
Wei P, Wallace IJ, Jashashvili T, et al. Structural analysis of the femoral diaphyses of an early modern human from Tianyuan Cave, China[J]. Quaternary International, 2017,434:48-56
doi: 10.1016/j.quaint.2015.10.099 URL |
| [14] | Steele DG, MeKern TW. A method for assessment of maximum long bone length and living stature from fragmentary long bones[J]. American Journal of Physical Anthropology, 1969,31(2):215-227 |
| [15] |
Trinkaus E. Epipaleolithic human appendicular remains from Ein Gev I, Israel[J]. Comptes Rendus Palevol, 2018,17(8):616-627
doi: 10.1016/j.crpv.2018.03.002 URL |
| [16] |
Ruff CB. Long bone articular and diaphyseal structural in old world monkeys and apes. I: Locomotor effect[J]. American Journal of Physical Anthropology, 2002,119:305-342
doi: 10.1002/ajpa.10117 URL pmid: 12448016 |
| [17] |
Ruff CB, Hayes WC. Cross-sectional geometry of Pecos Pueblo femora and tibiae-A biomechanical investigation: I. Method and general patterns of variation[J]. American Journal of Physical Anthropology, 1983,60:359-381
doi: 10.1002/ajpa.1330600308 URL pmid: 6846510 |
| [18] |
Ruff CB, Trinkaus E, Walker A, et al. Postcranial robusticity in Homo. I: Temporal trends and mechanical interpretation[J]. American Journal of Physical Anthropology, 1993,91:21-53.
doi: 10.1002/ajpa.1330910103 URL pmid: 8512053 |
| [19] | Ruff CB. Biomechanical analyses of archaeological human skeletons[A]. In: Katzenberg MA, Saunders SR, editors. Biological Anthropology of the Human Skeleton. Second Edi. Hoboken. New Jersey: John Wiley & Sons, Inc. 2008, 183-206 |
| [20] | Shang H, Trinkaus E. The early modern human from Tianyuan Cave, China[M]. Texas A&M University Press, College Station, 2010, 96-131 |
| [21] | Rohlf FJ. TpsDig2, digitize landmarks and outlines, version 2.10[CP/OL]. Department of Ecology and Evolution, State University of New York at Stony Brook, NY Available, 2006 |
| [22] | Adams DC, Collyer M, Kaliontzopoulou A. Geometric Morphometric Analyses of 2D/3D Landmark Data[CP/OL], 2020 |
| [23] | 吴汝康, 吴新智, 张振标. 人体测量方法[M]. 北京: 科学出版社, 1984, 61-64 |
| [24] | Bräuer G. Anthropologie[A]. In: Knussman R(Ed.). Anthropologie. Fischer Verlag, Stuttgart, 1988, 160-232 |
| [25] | Trinkaus E. The Appendicular Skeletal Remains of Oberkassel 1 and 2[A]. L Giemsch, RW Schmitz (Eds.), The Late Glacial Burial from Oberkassel Revisited. Verlag Phillip von Zabern, Darmstadt, 2015, 75-132 |
| [26] |
Haapasalo H, Kontulainem S, Sievänen H, et al. Exercise-induced bone gain is due to enlargement in bone size without a change in volumetric bone density: A peripheral quantitative computed tomography study of the upper arms of male tennis players[J]. Bone, 2000,27:351-357
doi: 10.1016/s8756-3282(00)00331-8 URL pmid: 10962345 |
| [27] |
Warden SJ, Mantila SM, Kersh ME, et al. Physical activity when young provides lifelong benefits to cortical bone size and strength in men[J]. Proceedings of the National Academy of Sciences, 2014,111:5337-5342
doi: 10.1073/pnas.1321605111 URL |
| [28] |
Weatherholt AM, Warden SJ. Tibial bone strength is enhanced in the jump leg of collegiate-level jumping athletes: A within-subject controlled cross-sectional study[J]. Calcified Tissue International, 2016,98:129-139
URL pmid: 26543032 |
| [29] |
Morimoto N, Ponce de Leon MS, Zollikofer CP. Exploring femoral diaphyseal shape variation in wild and captive chimpanzees by means of morphometric mapping: A test of Wolff’s law[J]. The Anatomical Record, 2011,294:589-609
URL pmid: 21328564 |
| [30] | Trinkaus E. Early Modern Humans[J]. Annual Review of Anthropology, 2005,34:207-230 |
| [31] | Trinkaus E. Modern Human versus Neandertal Evolutionary Distinctiveness[J]. Current Anthropology, 2006,47:597-620 |
| [32] | 魏偏偏. 周口店田园洞古人类股骨形态功能分析[D]. 北京:中国科学院古脊椎动物与古人类研究所, 2016, 93-96 |
| [33] |
Alexander G, Robling PhD, Felicia MH, et al. Improved Bone Structure and Strength After Long-Term Mechanical Loading Is Greatest if Loading Is Separated Into Short Bouts[J]. Journal of Bone and Mineral Research, 2002,17(8):1545-1554
URL pmid: 12162508 |
| [34] | Stock JT, Pfeiffer SK. Long bone robusticity and subsistence behaviour among Later Stone Age foragers of the forest and fynbos biomes of South Africa[J]. Journal of Archaeological Science, 2004,31(7):999-1013 |
| [35] |
Ruff CB. Biomechanics of the hip and birth in early Homo[J]. American Journal of Physical Anthropology, 1995,98(4):527-574
doi: 10.1002/ajpa.1330980412 URL pmid: 8599386 |
| [1] | REN Jincheng, LI Feng, CHEN Fuyou, GAO Xing. Core reduction technology of stone artifacts unearthed in 2015 from the Banjingzi site in Nihewan Basin [J]. Acta Anthropologica Sinica, 2024, 43(05): 712-726. |
| [2] | WANG Jiaqi, ZHANG Xuewei, WANG Chunxue, SHENG Lishuang. A preliminary report of the 2021 excavation at the Taiziling locality in Jizhou County, Tianjin City [J]. Acta Anthropologica Sinica, 2024, 43(03): 440-447. |
| [3] | ZHOU Yawei, WANG Yu, HOU Xiaogang, LI Shuyun. Morphology of the people's skulls from the Jinmaoyuan site in Datong, Shanxi Province [J]. Acta Anthropologica Sinica, 2024, 43(02): 233-246. |
| [4] | YE Ziqi, HE Anyi, LIANG You, LI Fajun. Three-dimensional geometric morphometric analysis of patella morphology of the Neolithic people from Huiyaotian site in South China [J]. Acta Anthropologica Sinica, 2024, 43(02): 259-272. |
| [5] | WEI Tianxu, WANG Chunxue, ZHANG Xuewei, WANG Jiaqi, SHENG Lishuang. A preliminary report of the excavation of Chaoyang Cave 2 in Jizhou County, Tianjin City [J]. Acta Anthropologica Sinica, 2024, 43(02): 314-320. |
| [6] | WU Xiujie. Research progress on human fossils from the Xujiayao site in late Middle Pleistocene [J]. Acta Anthropologica Sinica, 2024, 43(01): 5-18. |
| [7] | FENG Yue, MEI Huijie, XIE Fei, SUN Xiuli, WANG Youping. Preliminary Results of the 1997-1998 Excavation of the Ma’anshan Site in Yangyuan, Hebei [J]. Acta Anthropologica Sinica, 2024, 43(01): 67-80. |
| [8] | ZHAO Qinpo, ZHANG Shuimu, SU Kai, MA Huanhuan, CHEN Jun, XU Yonghua. Discovery and preliminary study of the Wenquan Paleolithic site in Ruzhou, Henan [J]. Acta Anthropologica Sinica, 2023, 42(05): 616-625. |
| [9] | HONG Xiaoru, CHEN Wei, YU Guanyue, LI Jiali, YANG Yuchun, LYU Hongliang, XIANG Fang, CHEN Huixin. Newly discovered Paleolithic artifacts from the southern Chengdu Plain [J]. Acta Anthropologica Sinica, 2023, 42(05): 667-678. |
| [10] | ZHAN Shijia, DONG Zhe, QIAN Yaopeng. A preliminary report of the 2020 Paleolithic survey of the middle to lower reaches of the Jinghe River [J]. Acta Anthropologica Sinica, 2023, 42(05): 679-686. |
| [11] | MEI Huijie, ZHANG Bei, LEI Huarui, TONG Haowen. Antler fossil of Sinomegaceros ordosianus from Nanbaishan site of Late Pleistocene age in Yüxian, Hebei Province [J]. Acta Anthropologica Sinica, 2023, 42(02): 225-237. |
| [12] | TONG Guang, LI Feng, GAO Xing. Review and prospective of the experimental study on the simulated flaking of wedge-shaped microblade cores in Northeast Asia [J]. Acta Anthropologica Sinica, 2023, 42(01): 129-136. |
| [13] | RAO Huiyun. An application prospect of paleoproteomic analysis in the evolution of East Asian populations [J]. Acta Anthropologica Sinica, 2022, 41(06): 1083-1096. |
| [14] | ZHANG Xuewei, WANG Chunxue, LI Youqian. Core reduction and modification of stone artifacts from Chahayang farm, Heilongjiang [J]. Acta Anthropologica Sinica, 2022, 41(06): 967-981. |
| [15] | XIA Wenting, WANG Shejiang, WANG Xianyan, LU Huayu, XIA Nan, ZHANG Gaike, BIE Jingjing, YANG Xun, WU Jiang. A preliminary report on the Fanba paleolithic site at Yangxian County, Hanzhong Basin, central China [J]. Acta Anthropologica Sinica, 2022, 41(03): 381-393. |
| Viewed | ||||||
|
Full text |
|
|||||
|
Abstract |
|
|||||
