人类学学报 ›› 2022, Vol. 41 ›› Issue (05): 862-874.doi: 10.16359/j.1000-3193/AAS.2021.0062cstr: 32091.14.j.1000-3193/AAS.2021.0062
收稿日期:2021-01-27
修回日期:2021-05-08
出版日期:2022-10-15
发布日期:2022-10-14
通讯作者:
黄大元
作者简介:李文琴,硕士研究生,主要从事体质人类学、分子人类学研究。Email: 基金资助:
LI Wenqin(
), QIN Dabao, XIONG Jian, ZHANG Huijuan, HUANG Dayuan(
)
Received:2021-01-27
Revised:2021-05-08
Online:2022-10-15
Published:2022-10-14
Contact:
HUANG Dayuan
摘要:
本项目对1896例腊尔山区6~16岁苗族学生(男919例,女977例)进行了人体测量,测量了10项头面部形态指标,并根据公式计算13项头面部指数值。结果表明,苗族学生头面部各指标均值随年龄增长而增加,同年龄段头面部各指标均值男生一般高于女生,且多数年龄段差异有统计学意义;男性的头长宽的、形态面的、形态上面的、容貌面的、颧额宽的、容貌上面的和容貌上面高的指数以及女性的形态面的、形态上面的、容貌面的、颧下颌宽度的、容貌上面高的指数随年龄增长总体趋势是先增加后递减;男性头面高的以及女性的头长高的、头宽高的和头面宽的指数随年龄增长逐渐增加;男女性之间的头长高的、头宽高的和额顶宽的指数比较显示,多数年龄段差异有统计学意义;苗族学生头型以中头型、高头型、阔头型多见,面型以阔面型、阔上面型为主;相对于其他族群,腊尔山苗族男生面型短而宽,头型偏长,女生面型偏短,头型稍偏长而窄。腊尔山苗族学生头面部特征与融水苗族、土家族等族群较为接近,与哈萨克族、新乡汉族相距较远。
中图分类号:
李文琴, 覃大保, 熊健, 张惠娟, 黄大元. 腊尔山区苗族学生头面部形态特征[J]. 人类学学报, 2022, 41(05): 862-874.
LI Wenqin, QIN Dabao, XIONG Jian, ZHANG Huijuan, HUANG Dayuan. Head facial characteristics of Miao students in Lar Mountain area[J]. Acta Anthropologica Sinica, 2022, 41(05): 862-874.
| 性别Gender | 年龄age | 例数(n) | 头长Head length | 头宽Head breadth | 面宽Face breadth | 额最小宽Minimum breadth of forehead | 下颌角间宽bigonial breadth | 容貌面高I Physiognomic facial height | 形态面高Morphological surface height | 容貌上面高Physiognomic upper facial height | 形态上面高Morphological upper surface height | 头耳高Head and ear height |
|---|---|---|---|---|---|---|---|---|---|---|---|---|
| 男M | 6 | 49 | 17.40±0.45 | 13.71±0.88 | 12.40±0.42* | 11.09±0.60 | 9.61±0.49 | 15.84±0.52 | 9.73±0.55* | 6.40±0.27** | 5.72±0.33* | 10.79±0.46 |
| 7 | 71 | 17.43±0.83 | 13.80±0.75 | 12.60±0.61 | 11.25±0.51 | 9.62±0.61 | 16.02±0.74 | 9.91±0.58 | 6.62±0.44 | 5.87±0.45 | 10.81±0.77 | |
| 8 | 97 | 17.56±0.61* | 14.02±0.63 | 12.42±0.85 | 11.26±0.57 | 9.73±0.53** | 16.08±0.80* | 9.94±0.56** | 6.70±0.51** | 5.92±0.48** | 10.90±0.71 | |
| 9 | 82 | 17.75±0.61 | 14.06±0.78 | 12.59±0.94 | 11.28±0.60 | 10.07±0.44 | 16.37±0.78 | 10.04±0.58* | 6.96±0.47 | 6.21±0.47 | 11.08±0.63 | |
| 10 | 82 | 17.81±0.79 | 14.11±0.54 | 12.78±0.71** | 11.33±0.62* | 10.10±0.44 | 16.59±0.80* | 10.47±0.63 | 7.00±0.49 | 6.26±0.47 | 11.13±0.65 | |
| 11 | 98 | 17.92±0.66 | 14.13±0.63 | 13.08±0.64* | 11.54±0.69 | 10.22±0.49* | 16.84±0.76** | 10.57±0.60* | 7.03±0.47* | 6.32±0.49 | 11.14±0.73 | |
| 12 | 120 | 17.96±0.70 | 14.14±0.60 | 13.25±0.60 | 11.62±0.60* | 10.39±0.52* | 17.22±0.89 | 10.74±0.64 | 7.18±0.45 | 6.37±0.46* | 11.17±0.72 | |
| 13 | 97 | 18.04±0.73 | 14.16±0.70* | 13.41±0.68** | 11.81±0.73** | 10.54±0.47** | 17.36±0.80** | 10.74±0.65** | 7.13±0.44** | 6.49±0.43 | 11.20±0.67 | |
| 14 | 77 | 18.21±0.69* | 14.39±0.64 | 13.86±0.61 | 12.11±0.64 | 10.84±0.54 | 17.74±0.82 | 11.15±0.66 | 7.35±0.47 | 6.52±0.43 | 11.22±0.84 | |
| 15 | 83 | 18.45±0.68 | 14.42±0.60 | 13.94±0.54* | 12.13±0.60 | 10.91±0.49** | 17.88±0.84 | 10.94±0.53* | 7.46±0.44 | 6.48±0.42* | 11.33±0.78 | |
| 16 | 63 | 18.46±0.66 | 14.48±0.80 | 14.19±0.59 | 12.15±0.66 | 11.17±0.48 | 18.09±0.95 | 11.32±0.54 | 7.48±0.40 | 6.62±0.38 | 11.58±0.79 | |
| 女F | 6 | 47 | 16.83±0.54*+ | 13.41±0.86 | 12.15±0.51# | 10.84±0.68** | 9.26±0.45+ | 15.67±0.58 | 9.57±0.52# | 6.24±0.32**+ | 5.59±0.31*# | 10.07±0.93+ |
| 7 | 69 | 17.11±0.69# | 13.58±0.77 | 12.32±0.66# | 11.19±0.63 | 9.36±0.51**+ | 15.76±0.80*# | 9.58±0.50**+ | 6.55±0.51 | 5.78±0.53 | 10.27±0.86+ | |
| 8 | 72 | 17.25±0.57+ | 13.59±0.82+ | 12.31±0.84* | 11.22±0.60 | 9.62±0.60* | 16.03±0.85* | 9.86±0.53 | 6.58±0.40 | 5.83±0.38* | 10.41±0.90*+ | |
| 9 | 93 | 17.27±0.57+ | 13.64±0.64+ | 12.54±0.55 | 11.21±0.65 | 9.81±0.53+ | 16.32±0.65** | 9.95±0.51* | 6.70±0.49*+ | 5.98±0.52*+ | 10.74±0.78*+ | |
| 10 | 132 | 17.28±0.67+ | 13.77±0.60+ | 12.67±0.74 | 11.24±0.58 | 9.91±0.48*+ | 16.63±0.86* | 10.16±0.59*+ | 6.86±0.45# | 6.11±0.44# | 10.96±0.78 | |
| 11 | 115 | 17.40±0.68*+ | 13.82±0.70+ | 12.69±0.80**+ | 11.31±0.62**# | 10.06±0.44**# | 16.87±0.76* | 10.34±0.63**+ | 6.86±0.43**+ | 6.16±0.42# | 11.13±0.72 | |
| 12 | 111 | 17.60±0.69+ | 13.84±0.87+ | 13.00±0.69*+ | 11.65±0.71* | 10.24±0.48**# | 17.14±0.78 | 10.62±0.67# | 7.09±0.43 | 6.17±0.38+ | 11.19±0.83 | |
| 13 | 99 | 17.73±0.62+ | 13.88±0.81# | 13.22±0.75** | 11.91±0.82 | 10.56±0.63 | 17.18±0.84 | 10.73±0.49 | 7.14±0.39 | 6.25±0.39+ | 11.27±0.71 | |
| 14 | 89 | 17.76±0.69+ | 13.97±0.85+ | 13.65±0.57# | 12.02±0.64 | 10.72±0.53 | 17.40±1.07# | 10.80±0.48+ | 7.07±0.40+ | 6.32±0.37+ | 11.39±0.92 | |
| 15 | 80 | 17.84±0.55+ | 14.05±0.65+ | 13.70±0.62+ | 12.17±0.69 | 10.78±0.51 | 17.47±0.63+ | 10.81±0.60# | 7.12±0.46**+ | 6.40±0.41* | 11.42±0.80 | |
| 16 | 70 | 17.85±0.53+ | 14.07±0.65+ | 13.83±0.63+ | 12.18±0.55 | 10.86±0.54+ | 17.68±0.73+ | 10.97±0.68+ | 7.35±0.37 | 6.57±0.41 | 11.49±0.83 |
表1 苗族学生头面部指标测量值
Tab.1 Measurement results of head and face of Miao students (cm)
| 性别Gender | 年龄age | 例数(n) | 头长Head length | 头宽Head breadth | 面宽Face breadth | 额最小宽Minimum breadth of forehead | 下颌角间宽bigonial breadth | 容貌面高I Physiognomic facial height | 形态面高Morphological surface height | 容貌上面高Physiognomic upper facial height | 形态上面高Morphological upper surface height | 头耳高Head and ear height |
|---|---|---|---|---|---|---|---|---|---|---|---|---|
| 男M | 6 | 49 | 17.40±0.45 | 13.71±0.88 | 12.40±0.42* | 11.09±0.60 | 9.61±0.49 | 15.84±0.52 | 9.73±0.55* | 6.40±0.27** | 5.72±0.33* | 10.79±0.46 |
| 7 | 71 | 17.43±0.83 | 13.80±0.75 | 12.60±0.61 | 11.25±0.51 | 9.62±0.61 | 16.02±0.74 | 9.91±0.58 | 6.62±0.44 | 5.87±0.45 | 10.81±0.77 | |
| 8 | 97 | 17.56±0.61* | 14.02±0.63 | 12.42±0.85 | 11.26±0.57 | 9.73±0.53** | 16.08±0.80* | 9.94±0.56** | 6.70±0.51** | 5.92±0.48** | 10.90±0.71 | |
| 9 | 82 | 17.75±0.61 | 14.06±0.78 | 12.59±0.94 | 11.28±0.60 | 10.07±0.44 | 16.37±0.78 | 10.04±0.58* | 6.96±0.47 | 6.21±0.47 | 11.08±0.63 | |
| 10 | 82 | 17.81±0.79 | 14.11±0.54 | 12.78±0.71** | 11.33±0.62* | 10.10±0.44 | 16.59±0.80* | 10.47±0.63 | 7.00±0.49 | 6.26±0.47 | 11.13±0.65 | |
| 11 | 98 | 17.92±0.66 | 14.13±0.63 | 13.08±0.64* | 11.54±0.69 | 10.22±0.49* | 16.84±0.76** | 10.57±0.60* | 7.03±0.47* | 6.32±0.49 | 11.14±0.73 | |
| 12 | 120 | 17.96±0.70 | 14.14±0.60 | 13.25±0.60 | 11.62±0.60* | 10.39±0.52* | 17.22±0.89 | 10.74±0.64 | 7.18±0.45 | 6.37±0.46* | 11.17±0.72 | |
| 13 | 97 | 18.04±0.73 | 14.16±0.70* | 13.41±0.68** | 11.81±0.73** | 10.54±0.47** | 17.36±0.80** | 10.74±0.65** | 7.13±0.44** | 6.49±0.43 | 11.20±0.67 | |
| 14 | 77 | 18.21±0.69* | 14.39±0.64 | 13.86±0.61 | 12.11±0.64 | 10.84±0.54 | 17.74±0.82 | 11.15±0.66 | 7.35±0.47 | 6.52±0.43 | 11.22±0.84 | |
| 15 | 83 | 18.45±0.68 | 14.42±0.60 | 13.94±0.54* | 12.13±0.60 | 10.91±0.49** | 17.88±0.84 | 10.94±0.53* | 7.46±0.44 | 6.48±0.42* | 11.33±0.78 | |
| 16 | 63 | 18.46±0.66 | 14.48±0.80 | 14.19±0.59 | 12.15±0.66 | 11.17±0.48 | 18.09±0.95 | 11.32±0.54 | 7.48±0.40 | 6.62±0.38 | 11.58±0.79 | |
| 女F | 6 | 47 | 16.83±0.54*+ | 13.41±0.86 | 12.15±0.51# | 10.84±0.68** | 9.26±0.45+ | 15.67±0.58 | 9.57±0.52# | 6.24±0.32**+ | 5.59±0.31*# | 10.07±0.93+ |
| 7 | 69 | 17.11±0.69# | 13.58±0.77 | 12.32±0.66# | 11.19±0.63 | 9.36±0.51**+ | 15.76±0.80*# | 9.58±0.50**+ | 6.55±0.51 | 5.78±0.53 | 10.27±0.86+ | |
| 8 | 72 | 17.25±0.57+ | 13.59±0.82+ | 12.31±0.84* | 11.22±0.60 | 9.62±0.60* | 16.03±0.85* | 9.86±0.53 | 6.58±0.40 | 5.83±0.38* | 10.41±0.90*+ | |
| 9 | 93 | 17.27±0.57+ | 13.64±0.64+ | 12.54±0.55 | 11.21±0.65 | 9.81±0.53+ | 16.32±0.65** | 9.95±0.51* | 6.70±0.49*+ | 5.98±0.52*+ | 10.74±0.78*+ | |
| 10 | 132 | 17.28±0.67+ | 13.77±0.60+ | 12.67±0.74 | 11.24±0.58 | 9.91±0.48*+ | 16.63±0.86* | 10.16±0.59*+ | 6.86±0.45# | 6.11±0.44# | 10.96±0.78 | |
| 11 | 115 | 17.40±0.68*+ | 13.82±0.70+ | 12.69±0.80**+ | 11.31±0.62**# | 10.06±0.44**# | 16.87±0.76* | 10.34±0.63**+ | 6.86±0.43**+ | 6.16±0.42# | 11.13±0.72 | |
| 12 | 111 | 17.60±0.69+ | 13.84±0.87+ | 13.00±0.69*+ | 11.65±0.71* | 10.24±0.48**# | 17.14±0.78 | 10.62±0.67# | 7.09±0.43 | 6.17±0.38+ | 11.19±0.83 | |
| 13 | 99 | 17.73±0.62+ | 13.88±0.81# | 13.22±0.75** | 11.91±0.82 | 10.56±0.63 | 17.18±0.84 | 10.73±0.49 | 7.14±0.39 | 6.25±0.39+ | 11.27±0.71 | |
| 14 | 89 | 17.76±0.69+ | 13.97±0.85+ | 13.65±0.57# | 12.02±0.64 | 10.72±0.53 | 17.40±1.07# | 10.80±0.48+ | 7.07±0.40+ | 6.32±0.37+ | 11.39±0.92 | |
| 15 | 80 | 17.84±0.55+ | 14.05±0.65+ | 13.70±0.62+ | 12.17±0.69 | 10.78±0.51 | 17.47±0.63+ | 10.81±0.60# | 7.12±0.46**+ | 6.40±0.41* | 11.42±0.80 | |
| 16 | 70 | 17.85±0.53+ | 14.07±0.65+ | 13.83±0.63+ | 12.18±0.55 | 10.86±0.54+ | 17.68±0.73+ | 10.97±0.68+ | 7.35±0.37 | 6.57±0.41 | 11.49±0.83 |
图1 苗族学生头面部测量指标的年龄变化曲线 A. 头长(Head length, lh)、头宽(Head breadth, bh)、面宽(Face breadth, bf)和容貌面高(Physiognomic facial height, hpf); B. 形态面高(Morphological surface height, hmf)、头耳高(Auricular height, ha)和额最小宽(Minimum breadth of forehead, bfm);C. 形态上面高(Morphological upper surface height, hmuf)、容貌上面高(Physiognomic upper facial height, hpuf)和下颌角间宽(bigonial breadth, bb)
Fig.1 Age change curve of anthropometry of the head and face of Miao students
| 性别Gender | 年龄age (a) | 头长宽指数Length-breadth index of head (bh/lh) | 头长高指数Length-Height index of head (ha/lh) | 头宽高指数Breadth-Height index of head (ha/bh) | 额顶宽指数 Transverse Frontoparietal index (bfm/bh) | 头面宽指数 Head - Face breadth index (bf/bh) | 形态面指数Morphological index (hmf/bf) | 形态上面指数Morphological upper facial index (hmf/bf) | 容貌面指数 physiognomic facial index (hpf/bf) | 颧下颌宽度指数Zygomatic mandibular index (bb/bf) | 颧额宽指数Zygomatic frontal breadth index (bfm /bf) | 容貌上面指数Physiognomic upper facial height index (hpuf /bf) | 容貌上面高指数Physiognomic upper facial height index (hph /hhe) | 头面高指数Vertical cephalo facial index (hmf /ha) |
|---|---|---|---|---|---|---|---|---|---|---|---|---|---|---|
| Male | 6 | 78.79±5.25 | 62.05±3.16 | 79.07±6.26 | 81.11±5.23 | 90.80±6.18 | 78.52±2.99 | 46.17±2.96 | 127.91±6.10 | 77.51±3.59 | 89.47±4.53 | 51.69±2.56 | 40.49±2.57 | 90.34±5.69 |
| 7 | 79.37±5.61 | 62.09±4.55 | 78.46±6.30 | 81.72±5.31 | 91.57±6.39 | 78.72±4.41 | 46.68±3.96 | 127.29±6.70 | 76.47±5.39 | 89.41±4.78 | 52.61±4.32 | 41.33±2.47 | 92.25±9.52 | |
| 8 | 79.89±4.30 | 62.13±4.67 | 77.91±6.12 | 80.45±4.92 | 88.80±7.38 | 80.38±7.09 | 47.91±5.32 | 130.15±11.20 | 78.74±7.60 | 91.15±8.77 | 54.28±6.25 | 41.70±2.83 | 91.62±8.61 | |
| 9 | 79.33±5.24 | 62.54±4.33 | 79.06±6.51 | 80.43±6.22 | 89.84±8.53 | 81.81±8.12 | 49.65±5.99 | 130.78±12.20 | 80.40±6.60 | 90.00±7.53 | 55.65±6.16 | 42.57±2.95 | 92.68±7.35 | |
| 10 | 79.36±4.36 | 62.55±4.24 | 78.94±5.42 | 80.37±4.36 | 90.74±5.03 | 82.03±5.69 | 49.03±4.25 | 129.98±7.88 | 79.05±3.92 | 88.68±4.10 | 54.87±4.47 | 42.29±3.41 | 94.43±7.43 | |
| 11 | 78.97±4.49 | 62.24±4.27 | 79.00±6.26 | 81.73±4.49 | 92.70±5.14 | 80.97±5.74 | 48.38±4.28 | 128.98±7.58 | 78.21±3.94 | 88.31±5.12 | 53.90±4.58 | 41.80±2.59 | 95.21±7.29 | |
| 12 | 78.83±4.28 | 62.28±4.70 | 79.13±6.05 | 82.25±4.23 | 93.79±4.01 | 81.17±4.81 | 48.13±3.99 | 130.11±7.45 | 78.48±3.98 | 87.74±3.77 | 54.30±4.06 | 41.76±2.45 | 96.52±7.74 | |
| 13 | 78.59±4.53 | 62.21±4.46 | 79.30±5.95 | 83.50±4.48 | 94.88±5.30 | 80.25±5.53 | 48.54±4.11 | 129.65±7.71 | 78.74±4.55 | 88.22±6.35 | 53.29±4.08 | 41.12±2.29 | 96.21±7.65 | |
| 14 | 79.13±4.08 | 61.65±4.65 | 78.04±6.30 | 84.25±4.31 | 96.41±4.56 | 80.14±4.40 | 47.05±2.97 | 128.15±6.13 | 78.26±3.50 | 87.46±4.04 | 53.12±3.57 | 41.46±2.20 | 99.42±8.52 | |
| 15 | 78.25±3.75 | 61.50±4.49 | 78.68±5.79 | 84.16±4.22 | 96.76±3.79 | 79.90±3.88 | 46.53±3.59 | 128.38±6.42 | 78.30±3.47 | 87.00±3.39 | 53.53±3.20 | 41.74±2.36 | 98.63±7.83 | |
| 16 | 78.54±5.36 | 62.78±4.50 | 80.21±7.03 | 84.04±4.45 | 98.25±5.67 | 79.90±4.97 | 46.73±3.18 | 127.64±7.76 | 78.81±3.54 | 85.68±4.62 | 52.77±3.29 | 41.41±2.33 | 98.09±6.44 | |
| Female | 6 | 79.74±5.34 | 59.79±4.74** | 75.24±7.06** | 80.95±4.60 | 90.83±5.28 | 78.86±4.77 | 46.05±3.08 | 129.07±3.20 | 76.31±3.41 | 89.26±4.68 | 51.42±3.12 | 39.85±2.30 | 95.82±10.28** |
| 7 | 79.49±5.02 | 60.10±5.58* | 75.81±7.59* | 82.62±6.47 | 90.98±6.51 | 77.92±5.51 | 47.00±4.75 | 128.10±7.71 | 76.18±5.72 | 90.95±5.64 | 53.25±4.80 | 41.57±2.90 | 93.81±7.76 | |
| 8 | 78.79±4.92 | 60.40±5.41* | 76.91±7.97 | 82.79±5.62** | 90.97±8.63 | 80.39±6.28 | 47.54±4.35 | 130.73±9.48 | 78.52±7.87 | 91.67±9.65 | 53.73±5.01 | 41.12±2.73 | 95.33±9.43* | |
| 9 | 79.03±4.20 | 62.24±5.01 | 78.90±6.80 | 82.33±5.19* | 92.04±4.45* | 79.91±4.67 | 47.79±4.63* | 130.33±6.38 | 78.26±3.73* | 89.49±4.46 | 53.56±4.43* | 41.09±2.70** | 93.59±7.58 | |
| 10 | 79.78±4.57 | 63.51±4.91 | 79.76±6.49 | 81.72±4.62* | 92.18±6.49 | 80.58±6.19 | 48.45±4.70 | 131.74±9.89 | 78.50±5.33 | 88.98±6.86 | 54.37±4.80 | 41.31±2.68* | 93.20±7.56 | |
| 11 | 79.51±4.56 | 64.09±4.77** | 80.74±6.06* | 81.98±5.08 | 92.13±7.57 | 81.79±6.70 | 48.74±4.94 | 133.42±10.84** | 79.51±5.39* | 89.40±7.07 | 54.31±5.28 | 40.73±2.47** | 93.26±7.56 | |
| 12 | 78.67±4.52 | 63.63±4.62* | 81.13±7.44* | 84.41±5.51** | 94.25±6.94 | 82.06±5.68 | 47.57±3.80 | 132.08±7.65* | 78.95±4.85 | 89.80±5.86** | 54.72±4.32 | 41.43±2.20 | 95.58±8.38 | |
| 13 | 78.32±4.54 | 63.59±3.98* | 81.43±6.49* | 85.89±5.46** | 95.44±7.26 | 81.47±5.63 | 47.47±3.78 | 130.40±8.35 | 80.11±5.66 | 90.29±6.44* | 54.24±4.13 | 41.65±2.67 | 95.50±6.70 | |
| 14 | 78.74±4.88 | 64.25±5.88** | 81.73±7.40** | 86.29±6.31* | 97.91±5.72 | 79.27±4.73 | 46.36±3.04 | 127.67±8.32 | 78.59±3.47 | 88.15±4.59 | 51.90±3.38* | 40.75±2.85 | 95.53±10.44* | |
| 15 | 78.80±4.37 | 64.05±4.47** | 81.44±6.16** | 86.75±5.62** | 97.64±5.28 | 79.01±5.10 | 46.78±3.29 | 127.81±6.95 | 78.82±3.61 | 88.93±4.93** | 52.05±3.69** | 40.75±2.42** | 94.96±7.68** | |
| 16 | 78.85±3.97 | 64.35±4.31* | 81.79±6.69 | 86.68±4.38** | 98.44±5.03 | 79.38±5.53 | 47.56±3.23 | 127.97±5.37 | 78.60±3.38 | 88.25±6.00** | 53.21±3.09 | 41.61±2.27 | 95.91±8.87 |
表2 苗族6-16岁男生与女生头面部指数值
Tab.2 Index values of head and face of Miao male and female students aged 6-16
| 性别Gender | 年龄age (a) | 头长宽指数Length-breadth index of head (bh/lh) | 头长高指数Length-Height index of head (ha/lh) | 头宽高指数Breadth-Height index of head (ha/bh) | 额顶宽指数 Transverse Frontoparietal index (bfm/bh) | 头面宽指数 Head - Face breadth index (bf/bh) | 形态面指数Morphological index (hmf/bf) | 形态上面指数Morphological upper facial index (hmf/bf) | 容貌面指数 physiognomic facial index (hpf/bf) | 颧下颌宽度指数Zygomatic mandibular index (bb/bf) | 颧额宽指数Zygomatic frontal breadth index (bfm /bf) | 容貌上面指数Physiognomic upper facial height index (hpuf /bf) | 容貌上面高指数Physiognomic upper facial height index (hph /hhe) | 头面高指数Vertical cephalo facial index (hmf /ha) |
|---|---|---|---|---|---|---|---|---|---|---|---|---|---|---|
| Male | 6 | 78.79±5.25 | 62.05±3.16 | 79.07±6.26 | 81.11±5.23 | 90.80±6.18 | 78.52±2.99 | 46.17±2.96 | 127.91±6.10 | 77.51±3.59 | 89.47±4.53 | 51.69±2.56 | 40.49±2.57 | 90.34±5.69 |
| 7 | 79.37±5.61 | 62.09±4.55 | 78.46±6.30 | 81.72±5.31 | 91.57±6.39 | 78.72±4.41 | 46.68±3.96 | 127.29±6.70 | 76.47±5.39 | 89.41±4.78 | 52.61±4.32 | 41.33±2.47 | 92.25±9.52 | |
| 8 | 79.89±4.30 | 62.13±4.67 | 77.91±6.12 | 80.45±4.92 | 88.80±7.38 | 80.38±7.09 | 47.91±5.32 | 130.15±11.20 | 78.74±7.60 | 91.15±8.77 | 54.28±6.25 | 41.70±2.83 | 91.62±8.61 | |
| 9 | 79.33±5.24 | 62.54±4.33 | 79.06±6.51 | 80.43±6.22 | 89.84±8.53 | 81.81±8.12 | 49.65±5.99 | 130.78±12.20 | 80.40±6.60 | 90.00±7.53 | 55.65±6.16 | 42.57±2.95 | 92.68±7.35 | |
| 10 | 79.36±4.36 | 62.55±4.24 | 78.94±5.42 | 80.37±4.36 | 90.74±5.03 | 82.03±5.69 | 49.03±4.25 | 129.98±7.88 | 79.05±3.92 | 88.68±4.10 | 54.87±4.47 | 42.29±3.41 | 94.43±7.43 | |
| 11 | 78.97±4.49 | 62.24±4.27 | 79.00±6.26 | 81.73±4.49 | 92.70±5.14 | 80.97±5.74 | 48.38±4.28 | 128.98±7.58 | 78.21±3.94 | 88.31±5.12 | 53.90±4.58 | 41.80±2.59 | 95.21±7.29 | |
| 12 | 78.83±4.28 | 62.28±4.70 | 79.13±6.05 | 82.25±4.23 | 93.79±4.01 | 81.17±4.81 | 48.13±3.99 | 130.11±7.45 | 78.48±3.98 | 87.74±3.77 | 54.30±4.06 | 41.76±2.45 | 96.52±7.74 | |
| 13 | 78.59±4.53 | 62.21±4.46 | 79.30±5.95 | 83.50±4.48 | 94.88±5.30 | 80.25±5.53 | 48.54±4.11 | 129.65±7.71 | 78.74±4.55 | 88.22±6.35 | 53.29±4.08 | 41.12±2.29 | 96.21±7.65 | |
| 14 | 79.13±4.08 | 61.65±4.65 | 78.04±6.30 | 84.25±4.31 | 96.41±4.56 | 80.14±4.40 | 47.05±2.97 | 128.15±6.13 | 78.26±3.50 | 87.46±4.04 | 53.12±3.57 | 41.46±2.20 | 99.42±8.52 | |
| 15 | 78.25±3.75 | 61.50±4.49 | 78.68±5.79 | 84.16±4.22 | 96.76±3.79 | 79.90±3.88 | 46.53±3.59 | 128.38±6.42 | 78.30±3.47 | 87.00±3.39 | 53.53±3.20 | 41.74±2.36 | 98.63±7.83 | |
| 16 | 78.54±5.36 | 62.78±4.50 | 80.21±7.03 | 84.04±4.45 | 98.25±5.67 | 79.90±4.97 | 46.73±3.18 | 127.64±7.76 | 78.81±3.54 | 85.68±4.62 | 52.77±3.29 | 41.41±2.33 | 98.09±6.44 | |
| Female | 6 | 79.74±5.34 | 59.79±4.74** | 75.24±7.06** | 80.95±4.60 | 90.83±5.28 | 78.86±4.77 | 46.05±3.08 | 129.07±3.20 | 76.31±3.41 | 89.26±4.68 | 51.42±3.12 | 39.85±2.30 | 95.82±10.28** |
| 7 | 79.49±5.02 | 60.10±5.58* | 75.81±7.59* | 82.62±6.47 | 90.98±6.51 | 77.92±5.51 | 47.00±4.75 | 128.10±7.71 | 76.18±5.72 | 90.95±5.64 | 53.25±4.80 | 41.57±2.90 | 93.81±7.76 | |
| 8 | 78.79±4.92 | 60.40±5.41* | 76.91±7.97 | 82.79±5.62** | 90.97±8.63 | 80.39±6.28 | 47.54±4.35 | 130.73±9.48 | 78.52±7.87 | 91.67±9.65 | 53.73±5.01 | 41.12±2.73 | 95.33±9.43* | |
| 9 | 79.03±4.20 | 62.24±5.01 | 78.90±6.80 | 82.33±5.19* | 92.04±4.45* | 79.91±4.67 | 47.79±4.63* | 130.33±6.38 | 78.26±3.73* | 89.49±4.46 | 53.56±4.43* | 41.09±2.70** | 93.59±7.58 | |
| 10 | 79.78±4.57 | 63.51±4.91 | 79.76±6.49 | 81.72±4.62* | 92.18±6.49 | 80.58±6.19 | 48.45±4.70 | 131.74±9.89 | 78.50±5.33 | 88.98±6.86 | 54.37±4.80 | 41.31±2.68* | 93.20±7.56 | |
| 11 | 79.51±4.56 | 64.09±4.77** | 80.74±6.06* | 81.98±5.08 | 92.13±7.57 | 81.79±6.70 | 48.74±4.94 | 133.42±10.84** | 79.51±5.39* | 89.40±7.07 | 54.31±5.28 | 40.73±2.47** | 93.26±7.56 | |
| 12 | 78.67±4.52 | 63.63±4.62* | 81.13±7.44* | 84.41±5.51** | 94.25±6.94 | 82.06±5.68 | 47.57±3.80 | 132.08±7.65* | 78.95±4.85 | 89.80±5.86** | 54.72±4.32 | 41.43±2.20 | 95.58±8.38 | |
| 13 | 78.32±4.54 | 63.59±3.98* | 81.43±6.49* | 85.89±5.46** | 95.44±7.26 | 81.47±5.63 | 47.47±3.78 | 130.40±8.35 | 80.11±5.66 | 90.29±6.44* | 54.24±4.13 | 41.65±2.67 | 95.50±6.70 | |
| 14 | 78.74±4.88 | 64.25±5.88** | 81.73±7.40** | 86.29±6.31* | 97.91±5.72 | 79.27±4.73 | 46.36±3.04 | 127.67±8.32 | 78.59±3.47 | 88.15±4.59 | 51.90±3.38* | 40.75±2.85 | 95.53±10.44* | |
| 15 | 78.80±4.37 | 64.05±4.47** | 81.44±6.16** | 86.75±5.62** | 97.64±5.28 | 79.01±5.10 | 46.78±3.29 | 127.81±6.95 | 78.82±3.61 | 88.93±4.93** | 52.05±3.69** | 40.75±2.42** | 94.96±7.68** | |
| 16 | 78.85±3.97 | 64.35±4.31* | 81.79±6.69 | 86.68±4.38** | 98.44±5.03 | 79.38±5.53 | 47.56±3.23 | 127.97±5.37 | 78.60±3.38 | 88.25±6.00** | 53.21±3.09 | 41.61±2.27 | 95.91±8.87 |
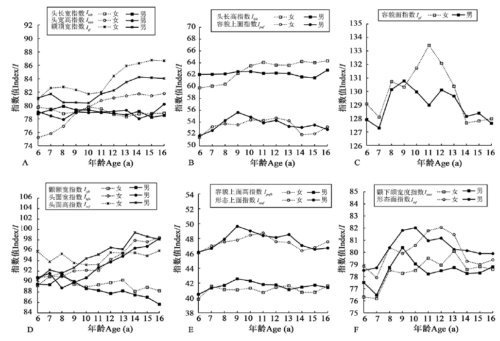
图2 苗族学生头面部指数的年龄变化曲线 A.头长宽指数(Length-breadth index of head, Ihlb)、头宽高指数(Breadth-height index of head, Ihbh)和额顶宽指数(Transverse Frontoparietal index, Itf);B.头长高指数(Length-height index of head, Ihlh)和容貌上面指数(physiognomic upper facial index, Ipuf);C.容貌面指数(physiognomic facial index, Ipf);D.颧额宽指数(zygomatic frontal breadth index, Izfb)、头面宽指数(Head-face breadth index, Ihfb)和头面高指数(Vertical cephalo facial index, Ivcf);E.容貌上面高指数(Physiognomic upper facial height index, Ipufh)和形态上面指数(Morphological upper facial index, Imuf);F.颧下颌宽度指数(zygomatic mandibular index, Izmb)和形态面指数(Morphological index, Imf)
Fig.2 Age change curve of head and face indices of Miao students
| 指数 index | 类型type | 6 a | 7 a | 8 a | 9 a | 10 a | 11 a | 12 a | 13 a | 14 a | 15 a | 16 a | 总体 total |
|---|---|---|---|---|---|---|---|---|---|---|---|---|---|
| 头长宽指数 Length-breadth index of head | 特长hyperdolichocephaly (X~70.9) | 6.1% | 5.6% | 1.0% | 1.2% | 3.7% | 1.0% | 0.8% | 3.1% | 2.6% | 7.9% | 2.6% | |
| 长 dolichocephaly (71.0~75.9) | 20.4% | 25.4% | 13.4% | 25.6% | 17.1% | 20.4% | 28.3% | 24.7% | 18.2% | 28.9% | 20.6% | 22.3% | |
| 中 mesocephaly (76.0~80.9) | 32.7% | 29.6% | 49.5% | 43.9% | 47.6% | 51.0% | 36.7% | 42.3% | 50.6% | 49.4% | 42.9% | 43.7% | |
| 圆brachycephaly(81.0~85.4) | 30.6% | 25.4% | 28.9% | 13.4% | 22.0% | 18.4% | 25.0% | 23.7% | 18.2% | 18.1% | 17.5% | 21.9% | |
| 特圆hyperbrachycephaly (85.5~90.9) | 10.2% | 11.3% | 6.2% | 12.2% | 8.5% | 7.1% | 9.2% | 4.1% | 10.4% | 3.6% | 11.1% | 8.3% | |
| 超圆头型ultrabrachycephaly (91.0~X) | 2.8% | 1.0% | 3.7% | 1.2% | 2.0% | 2.1% | 1.2% | ||||||
| 头长高指数Length-height index of head | 低chamaecephalic (X~57.6) | 10.2% | 14.1% | 18.6% | 14.6% | 12.2% | 13.3% | 17.5% | 18.6% | 20.8% | 14.5% | 9.5% | 15.3% |
| 正orthocephalic (57.7~62.5) | 46.9% | 45.1% | 35.1% | 30.5% | 47.6% | 36.7% | 34.2% | 36.1% | 37.7% | 47.0% | 46.0% | 39.4% | |
| 高hypsicephalic (62.6~X) | 42.9% | 40.8% | 46.4% | 54.9% | 40.2% | 50.0% | 48.3% | 45.4% | 41.6% | 38.6% | 44.4% | 45.3% | |
| 头宽高指数Breadth-height index of head | 阔tapeinocephalic (X~78.9) | 49.0% | 52.1% | 61.9% | 54.9% | 52.4% | 50.0% | 50.0% | 45.4% | 51.9% | 50.6% | 55.6% | 52.1% |
| 中metriocephalic (79.0~84.9) | 38.8% | 36.6% | 26.8% | 24.4% | 34.1% | 32.7% | 31.7% | 37.1% | 29.9% | 36.1% | 22.2% | 31.8% | |
| 狭acrocephalic (85.0~X) | 12.2% | 11.3% | 11.3% | 20.7% | 13.4% | 17.3% | 18.3% | 17.5% | 18.2% | 13.3% | 22.2% | 16.1% | |
| 形态面指数Morphological index | 超阔hypereuryprosopy (X~78.9) | 51.0% | 50.7% | 46.4% | 43.9% | 35.4% | 33.7% | 30.8% | 42.3% | 44.2% | 43.4% | 42.9% | 41.2% |
| 阔euryprosopy (79.0~83.9) | 49.0% | 39.4% | 38.1% | 25.6% | 28.0% | 46.9% | 45.0% | 35.1% | 35.1% | 36.1% | 33.3% | 37.5% | |
| 中mesoprosopy (84.0~87.9) | 8.5% | 6.2% | 13.4% | 19.5% | 11.2% | 15.0% | 17.5% | 18.2% | 19.3% | 17.5% | 13.7% | ||
| 狭leptoprosopy (88.0~92.9) | 1.4% | 5.2% | 7.3% | 14.6% | 5.1% | 8.3% | 4.1% | 1.3% | 1.2% | 6.3% | 5.3% | ||
| 超狭hyperleptoprosopy (93.0~X) | 4.1% | 9.8% | 2.4% | 3.1% | 0.8% | 1.0% | 1.3% | 2.2% | |||||
| 形态上面指数Morphological upper facial index | 超阔hypereuryen (X~42.9) | 12.2% | 12.7% | 9.3% | 7.3% | 8.5% | 10.2% | 10.0% | 7.2% | 5.2% | 15.7% | 14.3% | 10.0% |
| 阔euryen (43.0~47.9) | 65.3% | 53.5% | 53.6% | 37.8% | 30.5% | 37.8% | 40.0% | 30.9% | 59.7% | 53.0% | 47.6% | 44.9% | |
| 中mesen (48.0~52.9) | 20.4% | 25.4% | 23.7% | 28.0% | 42.7% | 36.7% | 40.0% | 52.6% | 31.2% | 26.5% | 36.5% | 34.1% | |
| 狭lepten (53.0~56.9) | 2.0% | 4.2% | 7.2% | 12.2% | 15.9% | 14.3% | 8.3% | 7.2% | 3.9% | 4.8% | 1.6% | 7.9% | |
| 超狭hyperlepten (57.0~X) | 4.2% | 6.2% | 14.6% | 2.4% | 1.0% | 1.7% | 2.1% | 3.0% |
表3 苗族男生各年龄组头面部指数分型
Tab.3 Classification of index of head and face of Miao male students in different age groups
| 指数 index | 类型type | 6 a | 7 a | 8 a | 9 a | 10 a | 11 a | 12 a | 13 a | 14 a | 15 a | 16 a | 总体 total |
|---|---|---|---|---|---|---|---|---|---|---|---|---|---|
| 头长宽指数 Length-breadth index of head | 特长hyperdolichocephaly (X~70.9) | 6.1% | 5.6% | 1.0% | 1.2% | 3.7% | 1.0% | 0.8% | 3.1% | 2.6% | 7.9% | 2.6% | |
| 长 dolichocephaly (71.0~75.9) | 20.4% | 25.4% | 13.4% | 25.6% | 17.1% | 20.4% | 28.3% | 24.7% | 18.2% | 28.9% | 20.6% | 22.3% | |
| 中 mesocephaly (76.0~80.9) | 32.7% | 29.6% | 49.5% | 43.9% | 47.6% | 51.0% | 36.7% | 42.3% | 50.6% | 49.4% | 42.9% | 43.7% | |
| 圆brachycephaly(81.0~85.4) | 30.6% | 25.4% | 28.9% | 13.4% | 22.0% | 18.4% | 25.0% | 23.7% | 18.2% | 18.1% | 17.5% | 21.9% | |
| 特圆hyperbrachycephaly (85.5~90.9) | 10.2% | 11.3% | 6.2% | 12.2% | 8.5% | 7.1% | 9.2% | 4.1% | 10.4% | 3.6% | 11.1% | 8.3% | |
| 超圆头型ultrabrachycephaly (91.0~X) | 2.8% | 1.0% | 3.7% | 1.2% | 2.0% | 2.1% | 1.2% | ||||||
| 头长高指数Length-height index of head | 低chamaecephalic (X~57.6) | 10.2% | 14.1% | 18.6% | 14.6% | 12.2% | 13.3% | 17.5% | 18.6% | 20.8% | 14.5% | 9.5% | 15.3% |
| 正orthocephalic (57.7~62.5) | 46.9% | 45.1% | 35.1% | 30.5% | 47.6% | 36.7% | 34.2% | 36.1% | 37.7% | 47.0% | 46.0% | 39.4% | |
| 高hypsicephalic (62.6~X) | 42.9% | 40.8% | 46.4% | 54.9% | 40.2% | 50.0% | 48.3% | 45.4% | 41.6% | 38.6% | 44.4% | 45.3% | |
| 头宽高指数Breadth-height index of head | 阔tapeinocephalic (X~78.9) | 49.0% | 52.1% | 61.9% | 54.9% | 52.4% | 50.0% | 50.0% | 45.4% | 51.9% | 50.6% | 55.6% | 52.1% |
| 中metriocephalic (79.0~84.9) | 38.8% | 36.6% | 26.8% | 24.4% | 34.1% | 32.7% | 31.7% | 37.1% | 29.9% | 36.1% | 22.2% | 31.8% | |
| 狭acrocephalic (85.0~X) | 12.2% | 11.3% | 11.3% | 20.7% | 13.4% | 17.3% | 18.3% | 17.5% | 18.2% | 13.3% | 22.2% | 16.1% | |
| 形态面指数Morphological index | 超阔hypereuryprosopy (X~78.9) | 51.0% | 50.7% | 46.4% | 43.9% | 35.4% | 33.7% | 30.8% | 42.3% | 44.2% | 43.4% | 42.9% | 41.2% |
| 阔euryprosopy (79.0~83.9) | 49.0% | 39.4% | 38.1% | 25.6% | 28.0% | 46.9% | 45.0% | 35.1% | 35.1% | 36.1% | 33.3% | 37.5% | |
| 中mesoprosopy (84.0~87.9) | 8.5% | 6.2% | 13.4% | 19.5% | 11.2% | 15.0% | 17.5% | 18.2% | 19.3% | 17.5% | 13.7% | ||
| 狭leptoprosopy (88.0~92.9) | 1.4% | 5.2% | 7.3% | 14.6% | 5.1% | 8.3% | 4.1% | 1.3% | 1.2% | 6.3% | 5.3% | ||
| 超狭hyperleptoprosopy (93.0~X) | 4.1% | 9.8% | 2.4% | 3.1% | 0.8% | 1.0% | 1.3% | 2.2% | |||||
| 形态上面指数Morphological upper facial index | 超阔hypereuryen (X~42.9) | 12.2% | 12.7% | 9.3% | 7.3% | 8.5% | 10.2% | 10.0% | 7.2% | 5.2% | 15.7% | 14.3% | 10.0% |
| 阔euryen (43.0~47.9) | 65.3% | 53.5% | 53.6% | 37.8% | 30.5% | 37.8% | 40.0% | 30.9% | 59.7% | 53.0% | 47.6% | 44.9% | |
| 中mesen (48.0~52.9) | 20.4% | 25.4% | 23.7% | 28.0% | 42.7% | 36.7% | 40.0% | 52.6% | 31.2% | 26.5% | 36.5% | 34.1% | |
| 狭lepten (53.0~56.9) | 2.0% | 4.2% | 7.2% | 12.2% | 15.9% | 14.3% | 8.3% | 7.2% | 3.9% | 4.8% | 1.6% | 7.9% | |
| 超狭hyperlepten (57.0~X) | 4.2% | 6.2% | 14.6% | 2.4% | 1.0% | 1.7% | 2.1% | 3.0% |
| 指数index | 类型type | 6 a | 7 a | 8 a | 9 a | 10 a | 11 a | 12 a | 13 a | 14 a | 15 a | 16 a | 总体total |
|---|---|---|---|---|---|---|---|---|---|---|---|---|---|
| 头长宽指数 Length-breadth index of head | 特长hyperdolichocephaly (X~70.9) | 2.9% | 6.9% | 3.2% | 0.8% | 1.7% | 4.5% | 2.0% | 1.1% | 2.1% | |||
| 长dolichocephaly (71.0~75.9) | 29.8% | 14.5% | 22.2% | 19.4% | 19.7% | 18.3% | 21.6% | 28.3% | 29.2% | 32.5% | 22.9% | 23.0 % | |
| 中mesocephaly (76.0~80.9) | 34.0% | 49.3% | 33.3% | 40.9% | 40.2% | 46.1% | 44.1% | 43.4% | 38.2% | 37.5% | 51.4% | 42.0% | |
| 圆brachycephaly (81.0~85.4) | 21.3% | 18.8% | 29.2% | 32.3% | 25.8% | 22.6% | 22.5% | 20.2% | 28.1% | 22.5% | 18.6% | 24.1% | |
| 特圆hyperbrachycephaly (85.5~90.9) | 14.9% | 11.6% | 8.3% | 4.3% | 12.1% | 9.6% | 7.2% | 5.1% | 1.1% | 7.5% | 7.1% | 7.9% | |
| 超圆ultrabrachycephaly (91.0~X) | 2.9% | 1.5% | 1.7% | 1.0% | 2.2% | 0.9% | |||||||
| 头长高指数Length-height index of head | 低chamaecephalic (X~57.6) | 40.4% | 33.3% | 33.3% | 17.2% | 7.6% | 7.8% | 12.6% | 5.1% | 11.2% | 7.5% | 8.6% | 14.5% |
| 正orthocephalic (57.7~62.5) | 31.9% | 29.0% | 30.6% | 36.6% | 39.4% | 32.2% | 26.1% | 38.4% | 27.0% | 33.8% | 27.1% | 32.4% | |
| 高hypsicephalic (62.6~X) | 27.7% | 37.7% | 36.1% | 46.2% | 53.0% | 60.0% | 61.3% | 56.6% | 61.8% | 58.8% | 64.3% | 53.0% | |
| 头宽高指数 Breadth-Height index of head | 阔tapeinocephalic (X~78.9) | 70.2% | 65.2% | 55.6% | 54.8% | 50.8% | 44.3% | 43.2% | 38.4% | 34.8% | 32.5% | 35.7% | 46.6% |
| 中metriocephalic (79.0~84.9) | 17.0% | 20.3% | 29.2% | 28.0% | 26.5% | 31.3% | 25.2% | 29.3% | 31.5% | 37.5% | 34.3% | 28.6% | |
| 狭acrocephalic (85.0~X) | 12.8% | 14.5% | 15.3% | 17.2% | 22.7% | 24.3% | 31.5% | 32.3% | 33.7% | 30.0% | 30.0% | 24.9% | |
| 形态面指数Morphological index | 超阔hypereuryprosopy (X~76.9) | 38.3% | 39.1% | 26.4% | 30.1% | 25.8% | 21.7% | 17.1% | 22.2% | 33.7% | 35.0% | 32.9% | 27.9% |
| 阔euryprosopy (77.0~80.9) | 29.8% | 37.7% | 36.1% | 30.1% | 37.1% | 31.3% | 25.2% | 27.3% | 34.8% | 37.5% | 35.7% | 32.8% | |
| 中mesoprosopy (81.0~84.9) | 21.3% | 11.6% | 18.1% | 24.7% | 15.9% | 28.7% | 31.5% | 30.3% | 15.7% | 15.0% | 17.1% | 21.6% | |
| 狭leptoprosopy (85.0~89.9) | 6.4% | 8.7% | 12.5% | 14.0% | 10.6% | 12.2% | 18.9% | 14.1% | 14.6% | 7.5% | 10.0% | 12.3% | |
| 超狭hyperleptoprosopy (90.0~X) | 4.3% | 2.9% | 6.9% | 1.1% | 10.6% | 6.1% | 7.2% | 6.1% | 1.1% | 5.0% | 4.3% | 5.4% | |
| 形态上面指数Morphological upper facial index | 超阔hypereuryen (X~42.9) | 17.0% | 17.4% | 12.5% | 18.3% | 7.6% | 7.0% | 8.1% | 8.1% | 11.2% | 11.3% | 4.3% | 10.5% |
| 阔euryen (43.0~47.9) | 59.6% | 39.1% | 43.1% | 30.1% | 44.7% | 41.7% | 50.5% | 54.5% | 60.7% | 51.3% | 58.6% | 47.8% | |
| 中mesen (48.0~52.9) | 23.4% | 31.9% | 36.1% | 35.5% | 34.8% | 40.0% | 35.1% | 27.3% | 24.7% | 32.5% | 31.4% | 32.8% | |
| 狭lepten (53.0~56.9) | 11.6% | 6.9% | 14.0% | 9.8% | 6.1% | 5.4% | 9.1% | 3.4% | 5.0% | 4.3% | 7.3% | ||
| 超狭hyperlepten (57.0~X) | 1.4% | 2.2% | 3.0% | 5.2% | 0.9% | 1.0% | 1.4% | 1.6% |
表4 苗族女生各年龄组头面部指数分型
Tab.4 Classification of index of head and face of Miao female students in different age groups
| 指数index | 类型type | 6 a | 7 a | 8 a | 9 a | 10 a | 11 a | 12 a | 13 a | 14 a | 15 a | 16 a | 总体total |
|---|---|---|---|---|---|---|---|---|---|---|---|---|---|
| 头长宽指数 Length-breadth index of head | 特长hyperdolichocephaly (X~70.9) | 2.9% | 6.9% | 3.2% | 0.8% | 1.7% | 4.5% | 2.0% | 1.1% | 2.1% | |||
| 长dolichocephaly (71.0~75.9) | 29.8% | 14.5% | 22.2% | 19.4% | 19.7% | 18.3% | 21.6% | 28.3% | 29.2% | 32.5% | 22.9% | 23.0 % | |
| 中mesocephaly (76.0~80.9) | 34.0% | 49.3% | 33.3% | 40.9% | 40.2% | 46.1% | 44.1% | 43.4% | 38.2% | 37.5% | 51.4% | 42.0% | |
| 圆brachycephaly (81.0~85.4) | 21.3% | 18.8% | 29.2% | 32.3% | 25.8% | 22.6% | 22.5% | 20.2% | 28.1% | 22.5% | 18.6% | 24.1% | |
| 特圆hyperbrachycephaly (85.5~90.9) | 14.9% | 11.6% | 8.3% | 4.3% | 12.1% | 9.6% | 7.2% | 5.1% | 1.1% | 7.5% | 7.1% | 7.9% | |
| 超圆ultrabrachycephaly (91.0~X) | 2.9% | 1.5% | 1.7% | 1.0% | 2.2% | 0.9% | |||||||
| 头长高指数Length-height index of head | 低chamaecephalic (X~57.6) | 40.4% | 33.3% | 33.3% | 17.2% | 7.6% | 7.8% | 12.6% | 5.1% | 11.2% | 7.5% | 8.6% | 14.5% |
| 正orthocephalic (57.7~62.5) | 31.9% | 29.0% | 30.6% | 36.6% | 39.4% | 32.2% | 26.1% | 38.4% | 27.0% | 33.8% | 27.1% | 32.4% | |
| 高hypsicephalic (62.6~X) | 27.7% | 37.7% | 36.1% | 46.2% | 53.0% | 60.0% | 61.3% | 56.6% | 61.8% | 58.8% | 64.3% | 53.0% | |
| 头宽高指数 Breadth-Height index of head | 阔tapeinocephalic (X~78.9) | 70.2% | 65.2% | 55.6% | 54.8% | 50.8% | 44.3% | 43.2% | 38.4% | 34.8% | 32.5% | 35.7% | 46.6% |
| 中metriocephalic (79.0~84.9) | 17.0% | 20.3% | 29.2% | 28.0% | 26.5% | 31.3% | 25.2% | 29.3% | 31.5% | 37.5% | 34.3% | 28.6% | |
| 狭acrocephalic (85.0~X) | 12.8% | 14.5% | 15.3% | 17.2% | 22.7% | 24.3% | 31.5% | 32.3% | 33.7% | 30.0% | 30.0% | 24.9% | |
| 形态面指数Morphological index | 超阔hypereuryprosopy (X~76.9) | 38.3% | 39.1% | 26.4% | 30.1% | 25.8% | 21.7% | 17.1% | 22.2% | 33.7% | 35.0% | 32.9% | 27.9% |
| 阔euryprosopy (77.0~80.9) | 29.8% | 37.7% | 36.1% | 30.1% | 37.1% | 31.3% | 25.2% | 27.3% | 34.8% | 37.5% | 35.7% | 32.8% | |
| 中mesoprosopy (81.0~84.9) | 21.3% | 11.6% | 18.1% | 24.7% | 15.9% | 28.7% | 31.5% | 30.3% | 15.7% | 15.0% | 17.1% | 21.6% | |
| 狭leptoprosopy (85.0~89.9) | 6.4% | 8.7% | 12.5% | 14.0% | 10.6% | 12.2% | 18.9% | 14.1% | 14.6% | 7.5% | 10.0% | 12.3% | |
| 超狭hyperleptoprosopy (90.0~X) | 4.3% | 2.9% | 6.9% | 1.1% | 10.6% | 6.1% | 7.2% | 6.1% | 1.1% | 5.0% | 4.3% | 5.4% | |
| 形态上面指数Morphological upper facial index | 超阔hypereuryen (X~42.9) | 17.0% | 17.4% | 12.5% | 18.3% | 7.6% | 7.0% | 8.1% | 8.1% | 11.2% | 11.3% | 4.3% | 10.5% |
| 阔euryen (43.0~47.9) | 59.6% | 39.1% | 43.1% | 30.1% | 44.7% | 41.7% | 50.5% | 54.5% | 60.7% | 51.3% | 58.6% | 47.8% | |
| 中mesen (48.0~52.9) | 23.4% | 31.9% | 36.1% | 35.5% | 34.8% | 40.0% | 35.1% | 27.3% | 24.7% | 32.5% | 31.4% | 32.8% | |
| 狭lepten (53.0~56.9) | 11.6% | 6.9% | 14.0% | 9.8% | 6.1% | 5.4% | 9.1% | 3.4% | 5.0% | 4.3% | 7.3% | ||
| 超狭hyperlepten (57.0~X) | 1.4% | 2.2% | 3.0% | 5.2% | 0.9% | 1.0% | 1.4% | 1.6% |
| 年龄 age | 族群 ethnic group | 头长lh | 头宽bh | 面宽bf | 容貌面高Ⅰhpf | 形态面高hmf | |||||
|---|---|---|---|---|---|---|---|---|---|---|---|
| 男性 male | 女性 female | 男性 male | 女性 female | 男性 male | 女性 female | 男性 male | 女性 female | 男性 male | 女性 female | ||
| 7 a | 腊尔山苗族 Lar mountain Miao | 17.43 | 17.11 | 13.80 | 13.58 | 12.60 | 12.32 | 16.02 | 15.76 | 9.91 | 9.58 |
| 土家族 Tujia[ | 17.53 | 17.26 | 15.11 | 14.64 | 12.39 | 12.17 | 16.08 | 16.06 | 10.11 | 9.77 | |
| 侗族 Dong[ | 17.12 | 17.43 | 14.87 | 14.43 | 12.50 | 12.18 | 15.40 | 15.40 | 9.15 | 8.80 | |
| 玉林汉族 Yulin Han[ | 16.11 | 16.09 | 14.97 | 14.37 | 12.28 | 11.98 | 16.02 | 15.81 | 10.06 | 9.77 | |
| 融水苗族 Rongshui Miao[ | 16.47 | 16.26 | 14.68 | 14.30 | 12.49 | 12.33 | 15.63 | 15.55 | 10.01 | 10.00 | |
| 哈萨克族 Kazak[ | 16.64 | 16.48 | 15.31 | 14.76 | 12.81 | 12.36 | 16.82 | 16.66 | 10.33 | 10.09 | |
| 新乡汉族 Xinxiang Han[ | 16.71 | 16.64 | 14.78 | 14.54 | 11.58 | 11.43 | 16.06 | 16.14 | 10.03 | 10.01 | |
| 16 a | 腊尔山苗族 Lar mountain Miao | 18.46 | 17.85 | 14.48 | 14.07 | 14.19 | 13.83 | 18.09 | 17.68 | 11.32 | 10.97 |
| 土家族 Tujia[ | 18.76 | 18.17 | 15.79 | 15.23 | 13.98 | 13.68 | 18.49 | 17.86 | 11.73 | 11.11 | |
| 侗族 Dong[ | 18.90 | 18.30 | 15.36 | 15.08 | 14.44 | 13.80 | 17.90 | 17.13 | 11.22 | 10.46 | |
| 玉林汉族 Yulin Han[ | 18.17 | 17.65 | 14.78 | 14.29 | 13.40 | 12.84 | 17.84 | 17.58 | 11.86 | 11.54 | |
| 融水苗族 Rongshui Miao[ | 18.37 | 17.41 | 14.91 | 14.55 | 14.04 | 13.65 | 17.96 | 17.38 | 12.15 | 11.63 | |
| 哈萨克族 Kazak[ | 17.94 | 17.48 | 15.99 | 15.47 | 14.17 | 13.93 | 19.18 | 18.64 | 12.18 | 11.60 | |
| 回族 Hui[ | 17.64 | 17.15 | 15.59 | 15.17 | 12.91 | 13.03 | 17.71 | 17.60 | 12.32 | 12.24 | |
表5 腊尔山苗族与其他族群头面部指标测量数据
Tab.5 Head and face measurements of Lar mountain Miao and other ethnic groups (cm)
| 年龄 age | 族群 ethnic group | 头长lh | 头宽bh | 面宽bf | 容貌面高Ⅰhpf | 形态面高hmf | |||||
|---|---|---|---|---|---|---|---|---|---|---|---|
| 男性 male | 女性 female | 男性 male | 女性 female | 男性 male | 女性 female | 男性 male | 女性 female | 男性 male | 女性 female | ||
| 7 a | 腊尔山苗族 Lar mountain Miao | 17.43 | 17.11 | 13.80 | 13.58 | 12.60 | 12.32 | 16.02 | 15.76 | 9.91 | 9.58 |
| 土家族 Tujia[ | 17.53 | 17.26 | 15.11 | 14.64 | 12.39 | 12.17 | 16.08 | 16.06 | 10.11 | 9.77 | |
| 侗族 Dong[ | 17.12 | 17.43 | 14.87 | 14.43 | 12.50 | 12.18 | 15.40 | 15.40 | 9.15 | 8.80 | |
| 玉林汉族 Yulin Han[ | 16.11 | 16.09 | 14.97 | 14.37 | 12.28 | 11.98 | 16.02 | 15.81 | 10.06 | 9.77 | |
| 融水苗族 Rongshui Miao[ | 16.47 | 16.26 | 14.68 | 14.30 | 12.49 | 12.33 | 15.63 | 15.55 | 10.01 | 10.00 | |
| 哈萨克族 Kazak[ | 16.64 | 16.48 | 15.31 | 14.76 | 12.81 | 12.36 | 16.82 | 16.66 | 10.33 | 10.09 | |
| 新乡汉族 Xinxiang Han[ | 16.71 | 16.64 | 14.78 | 14.54 | 11.58 | 11.43 | 16.06 | 16.14 | 10.03 | 10.01 | |
| 16 a | 腊尔山苗族 Lar mountain Miao | 18.46 | 17.85 | 14.48 | 14.07 | 14.19 | 13.83 | 18.09 | 17.68 | 11.32 | 10.97 |
| 土家族 Tujia[ | 18.76 | 18.17 | 15.79 | 15.23 | 13.98 | 13.68 | 18.49 | 17.86 | 11.73 | 11.11 | |
| 侗族 Dong[ | 18.90 | 18.30 | 15.36 | 15.08 | 14.44 | 13.80 | 17.90 | 17.13 | 11.22 | 10.46 | |
| 玉林汉族 Yulin Han[ | 18.17 | 17.65 | 14.78 | 14.29 | 13.40 | 12.84 | 17.84 | 17.58 | 11.86 | 11.54 | |
| 融水苗族 Rongshui Miao[ | 18.37 | 17.41 | 14.91 | 14.55 | 14.04 | 13.65 | 17.96 | 17.38 | 12.15 | 11.63 | |
| 哈萨克族 Kazak[ | 17.94 | 17.48 | 15.99 | 15.47 | 14.17 | 13.93 | 19.18 | 18.64 | 12.18 | 11.60 | |
| 回族 Hui[ | 17.64 | 17.15 | 15.59 | 15.17 | 12.91 | 13.03 | 17.71 | 17.60 | 12.32 | 12.24 | |
| [1] | 邓文涛, 姜东, 席焕久, 等. 辽宁锡伯族成人头面部体质特征[J]. 解剖学杂志, 2019, 42(2): 177-182 |
| [2] |
Bahşi I, Orhan M, Kervancioğlu P, et al. Craniofacial anthropometry of healthy Turkish young adults: analysis of head and face[J/OL]. J Craniofac Surg, 2020, doi: 10.1097/scs.0000000000007219
doi: 10.1097/scs.0000000000007219 |
| [3] |
Li YL, Zheng LB, Yu KL, et al. Variation of head and facial morphological characteristics with increased age of Han in Southern China[J]. Chinese Science Bulletin, 2013, 58(4): 517-524
doi: 10.1007/s11434-012-5644-7 URL |
| [4] | 刘小元, 温有锋, 叶丽平, 等. 满-通古斯语族人群头面部特征比较[J]. 解剖学报, 2018, 49(2): 251-257 |
| [5] |
Pavlica TM, Rakić RS, Božić-Krstić VS, et al. Secular trend of head and face shape in adult population of Vojvodina (Serbia)[J]. Annals of Human Biology, 2018, 45(4): 330-336
doi: 10.1080/03014460.2018.1452981 pmid: 29534623 |
| [6] | 李玉玲, 季成叶, 刘燕, 等. 学龄双生子儿童头面部特征的遗传学分析[J]. 人类学学报, 2013, 32(1): 93-100 |
| [7] |
Akinbami BO. Measurement of cephalic indices in older children and adolescents of a Nigerian population[J/OL]. Biomed Res Int, 2014: 527473, doi: 10.1155/2014/527473
doi: 10.1155/2014/527473 |
| [8] | Fu F, Luximon Y. Head and Face Anthropometric Study for Chinese Children[J]. Industrial Engineering & Management Systems, 2019, 18(4): 619-629 |
| [9] | 钟涛. 中国苗族(上)[M]. 贵阳: 贵州民族出版社, 2018, 2-17 |
| [10] | 李咏兰, 刘璐. 中国蒙古族头面部的体质人类学特征[J]. 解剖学报, 2019, 50(1): 98-106 |
| [11] | 席焕久, 陈昭. 人体测量方法[M]. 北京: 科学出版社, 2010, 145-153 |
| [12] |
Hanihara T. Craniofacial affinities of Mariana Islanders and circum-Pacific peoples[J]. Am J Phys Anthropol, 1997, 104(3): 411-425
doi: 10.1002/(SICI)1096-8644(199711)104:3<411::AID-AJPA10>3.0.CO;2-2 pmid: 9408545 |
| [13] | 黄大元, 张惠娟, 石慧娟, 等. 土家族儿童少年头面部的体质特征[J]. 解剖学报, 2013, 44(6): 843-850 |
| [14] | 周丽宁, 魏博源, 邓祥发, 等. 广西三江侗族儿童青少年头面部发育指标分析[J]. 人类学学报, 2002, 21(4): 273-278 |
| [15] | 周丽宁, 魏博源, 莫世泰, 等. 广西玉林地区汉族儿童青少年头面部发育特征[J]. 人类学学报, 2002, 21(3): 225-229 |
| [16] | 阙玉玲, 李日伦, 王丹阳, 等. 广西融水苗族儿童青少年头面部发育指标分析[J]. 解剖学杂志, 2010, 33(6): 806-810 |
| [17] | 艾琼华, 肖辉, 许煜和, 等. 哈萨克族青少年的体质发育调查[J]. 人类学学报, 1993, 12(2): 130-136 |
| [18] | 包月昭, 张文学, 张顺利, 等. 河南新乡地区儿童头面部测量[J]. 人类学学报, 1995, 14(1): 63-70 |
| [19] | 韩希昌, 魏锁成, 马力扬. 临夏回族青少年体质发育特征研究[J]. 人类学学报, 1995, 14(1): 75-81 |
| [20] |
Farkas LG, Posnick JC, Hreczko TM. Anthropometric growth study of the head[J]. Cleft Palate Craniofac J, 1992, 29(4):303-308
doi: 10.1597/1545-1569_1992_029_0303_agsoth_2.3.co_2 URL |
| [21] |
Purkait R. Growth of cranial volume: an anthropometric study[J]. J Plast Reconstr Aesthet Surg, 2011, 64(5): e115-117
doi: 10.1016/j.bjps.2011.01.005 URL |
| [22] | Eboh DE, Okoro EC, Iteire KA. A Cross-sectional Anthropometric Study of Cranial Capacity among Ukwuani People of South Nigeria[J]. Malays J Med Sci, 2016, 23(5): 72-82 |
| [23] | 黄大元, 张惠娟, 吴国运, 等. 武陵山区苗族儿童少年体质发育[J]. 人类学学报, 2013, 32(2): 193-203 |
| [24] |
Fatemeh P, Eftekhar-Vaghefi SH, Salehinejad P. Anthropometric Analysis of Cephalofacial Dimensions in Kerman, Iran[J]. Acta Medica Iranica, 2017, 55(4): 241-248
pmid: 28532135 |
| [25] |
Zheng LB, Li YL, Lu SH, et al. Physical characteristics of Chinese Hakka[J]. Sci China Life Sci, 2013, 56(6): 541-551
doi: 10.1007/s11427-013-4471-7 pmid: 23576182 |
| [26] |
Miyazato E, Yamaguchi K, Fukase H, et al. Comparative analysis of facial morphology between Okinawa Islanders and mainland Japanese using three-dimensional images[J]. Am J Hum Biol, 2014, 26(4): 538-548
doi: 10.1002/ajhb.22560 pmid: 24838439 |
| [27] |
Li HJ, Wu XZ, Zhang YD, et al. Morphometric analysis of the facial profile: contour of the side face and its variations[J]. J Craniofac Surg, 2018, 29(7): 1928-1933
doi: 10.1097/SCS.0000000000005053 pmid: 30222686 |
| [28] |
Arya R, Duggirala R, Comuzzie AG, et al. Heritability of anthropometric phenotypes in caste populations of Visakhapatnam, India[J]. Hum Biol, 2002, 74(3): 325-344
pmid: 12180759 |
| [29] | 张兴华, 宇克莉, 郑连斌. 中国14个特殊旁系族群的头面部特征比较[J]. 人类学学报, 2021, 40(02): 226-238 |
| [1] | 王旭, 万腾淑, 刘雪敏, 李孟思, 翟家淇, 赵春旺. 河南汉族儿童头面部的形态特征[J]. 人类学学报, 2024, 43(05): 813-827. |
| [2] | 吕婧祎, 肖瑶, 宇克莉, 程智, 聂浩波, 高新颖, 姚玥彤, 包金萍, 郑连斌, 张兴华. 中国黄衣佤族的体质特征[J]. 人类学学报, 2024, 43(04): 549-560. |
| [3] | 张兴华, 肖瑶, 岩坎翁, 玉应香, 高雯芳, 包金萍, 程智, 高新颖, 姚玥彤, 刘鑫, 宇克莉. 中国曼咪人的体质特征[J]. 人类学学报, 2024, 43(04): 561-573. |
| [4] | 宇克莉, 张兴华, 程智, 郑连斌. 中国不同人群的头面部特征及其差异[J]. 人类学学报, 2024, 43(04): 574-585. |
| [5] | 李欣, 姜帅, 黄婷, 钟华, 温有锋. 内蒙古与新疆达斡尔族头面部特征比较[J]. 人类学学报, 2024, 43(04): 586-596. |
| [6] | 李咏兰, 于会新, 张兴华, 宇克莉, 包金萍, 郑连斌. 中国不同地理分区人群的头面部特征[J]. 人类学学报, 2023, 42(06): 793-806. |
| [7] | 张咸鹏, 温有锋, 李文慧, 李欣, 曲泉颖, 徐国昌. 中国阿尔泰语系人群头面部的表型特征[J]. 人类学学报, 2023, 42(03): 342-358. |
| [8] | 李咏兰, 张兴华, 孙泽阳, 宇克莉, 包金萍, 郑连斌. 中国人的头面部形态特征[J]. 人类学学报, 2022, 41(03): 450-462. |
| [9] | 宇克莉, 向小雪, 李咏兰, 张洪明, 杜慧敏. 中国夏尔巴人的体质特征研究[J]. 人类学学报, 2021, 40(05): 801-810. |
| [10] | 黄大元, 张惠娟, 田淼, 覃大保, 梁成青. 湖南土家族成人的皮褶厚度和体成分分析[J]. 人类学学报, 2021, 40(05): 857-866. |
| [11] | 张兴华, 宇克莉, 郑连斌. 中国14个特殊旁系族群的头面部特征比较[J]. 人类学学报, 2021, 40(02): 226-238. |
| [12] | 包金萍, 郑连斌, 宇克莉, 贾亚兰. 基诺族体质特征及35年来体质的变化[J]. 人类学学报, 2021, 40(02): 261-271. |
| [13] | Francesc Ribot Trafí;Mario García Bartual;王谦. 人属先驱种的系统位置——头面骨关键性状的比较研究[J]. 人类学学报, 2018, 37(03): 352-370. |
| [14] | 李咏兰;郑连斌;宇克莉. 从体质特征看中国南方汉族的人种归属[J]. 人类学学报, 2017, 36(02): 248-259. |
| [15] | 李玉玲; 季成叶; 刘燕; 丁一; 栾天抒; 赵曼; 郑玉娜. 学龄双生子儿童头面部特征的遗传学分析[J]. 人类学学报, 2013, 32(01): 93-100. |
| 阅读次数 | ||||||
|
全文 |
|
|||||
|
摘要 |
|
|||||
京ICP证05002819号-3