人类学学报 ›› 2024, Vol. 43 ›› Issue (02): 233-246.doi: 10.16359/j.1000-3193/AAS.2023.0030cstr: 32091.14.j.1000-3193/AAS.2023.0030
收稿日期:2021-03-10
修回日期:2021-12-16
出版日期:2024-04-15
发布日期:2024-04-02
作者简介:周亚威,教授,主要从事体质人类学研究。E-mail: zhouyawei469@163.com
基金资助:
ZHOU Yawei1(
), WANG Yu1, HOU Xiaogang2, LI Shuyun2
Received:2021-03-10
Revised:2021-12-16
Online:2024-04-15
Published:2024-04-02
摘要:
本文对金茂园遗址人颅骨形态学的研究后发现,该墓地居民颅骨特征属于现代亚洲蒙古人种的范畴,并表现出不同程度与东亚和东北亚类型接近的特点。种系纯度检验显示,男女两性均有同种系倾向,但女性各项指标变异范围更大。金茂园组与华南组、华北组关系最近,与通古斯组关系最远。在与古代组比较中,金茂园与以东亚类型为主的新丰组、水泊寺组等古代人群接近,与以北亚类型为主的东大井组、叭沟组等古代人群距离较远。金茂园遗址代表的北魏平城时期人群应是继承了大同地区原住民的遗传学特征,同时也受到了来自北方人群交流与迁徙的影响,尤其在金茂园女性人群中的表现似乎更加强烈。北魏平城时期是我国历史上各民族融合的重要阶段,北魏孝文帝主动汉化的举措,极大程度地推进了拓跋鲜卑与汉族的融合,对大同地区考古遗址出土人骨的研究有助于我们认识鲜卑人群的汉化进程。
中图分类号:
周亚威, 王煜, 侯晓刚, 李树云. 山西大同金茂园遗址人群颅骨的形态学[J]. 人类学学报, 2024, 43(02): 233-246.
ZHOU Yawei, WANG Yu, HOU Xiaogang, LI Shuyun. Morphology of the people's skulls from the Jinmaoyuan site in Datong, Shanxi Province[J]. Acta Anthropologica Sinica, 2024, 43(02): 233-246.
| 编号No. | 项目名称Name | 男Male | 女Female | 出现率 P | |||||||||
|---|---|---|---|---|---|---|---|---|---|---|---|---|---|
| RL | RO | OL | OO | n | RL | RO | OL | OO | n | ||||
| 1 | 前囟骨 Bregmatic bone | 0 | 0 | 0 | 10 | 10 | 0 | 0 | 0 | 9 | 9 | 0 | |
| 2 | 冠状缝小骨 Coronal ossicle | 0 | 1 | 0 | 9 | 10 | 0 | 2 | 1 | 6 | 9 | 21.05% | |
| 3 | 矢状缝小骨 Sagittal suture ossicle | 0 | 0 | 0 | 10 | 10 | 0 | 0 | 0 | 9 | 9 | 0 | |
| 4 | 人字点小骨 Ossicle at lambda | 0 | 0 | 0 | 11 | 11 | 0 | 0 | 0 | 9 | 9 | 0 | |
| 5 | 人字缝小骨 Lambdoid ossicle | 1 | 1 | 2 | 7 | 11 | 3 | 2 | 3 | 1 | 9 | 60.00% | |
| 6 | 印加骨 Inca bone | 0 | 0 | 0 | 11 | 11 | 0 | 0 | 0 | 9 | 9 | 0.00 | |
| 7 | 星点小骨 Ossicle at asterion | 1 | 0 | 1 | 9 | 11 | 0 | 0 | 3 | 7 | 10 | 23.81% | |
| 8 | 顶切迹骨 Parietal notch bone | 0 | 1 | 1 | 9 | 11 | 1 | 0 | 0 | 9 | 10 | 14.29% | |
| 9 | 枕乳缝间骨 Occicle at asterion | 1 | 1 | 0 | 9 | 11 | 1 | 1 | 1 | 7 | 10 | 23.81% | |
| 10 | 额切迹Frontal norch | 1 | 1 | 1 | 8 | 11 | 0 | 1 | 2 | 7 | 10 | 28.57% | |
| 11 | 额切孔Frontal foremen | 0 | 0 | 0 | 11 | 11 | 0 | 0 | 0 | 10 | 10 | 0 | |
| 12 | 额中缝 Metopic suture | 0 | 0 | 0 | 11 | 11 | 0 | 0 | 0 | 10 | 10 | 0 | |
| 13 | 眶上孔 Supraorbital foramen | 2 | 1 | 2 | 6 | 11 | 2 | 4 | 0 | 4 | 10 | 52.38% | |
| 14 | 副眶下孔 Accessory infraorbital foramen | 2 | 2 | 0 | 7 | 11 | 0 | 1 | 2 | 7 | 10 | 33.33% | |
| 15 | 眶下孔缝 Infraorbital suture | 0 | 1 | 0 | 10 | 11 | 2 | 0 | 0 | 8 | 10 | 14.29% | |
| 16 | 上颌圆枕 Maxillary torus | 0 | 0 | 0 | 11 | 11 | 0 | 0 | 0 | 10 | 10 | 0 | |
| 17 | 腭圆枕 Palatine torus | 2 | 0 | 0 | 9 | 11 | 7 | 0 | 0 | 3 | 10 | 42.86% | |
| 18 | 内侧腭管 Medial palatine | 2 | 0 | 0 | 9 | 11 | 1 | 0 | 0 | 9 | 10 | 14.29% | |
| 19 | 副腭小孔 Accessory lesser palatine foramen | 5 | 4 | 0 | 2 | 11 | 3 | 2 | 1 | 4 | 10 | 71.43% | |
| 20 | 颧面孔缺如 Zygomatic-facial foramen absent | 0 | 0 | 1 | 10 | 11 | 0 | 1 | 0 | 9 | 10 | 9.52% | |
| 21 | 副颧面孔Accessory zygo-facial foramen | 4 | 1 | 1 | 5 | 11 | 4 | 2 | 2 | 2 | 10 | 66.67% | |
| 22 | 外耳道骨肿 Auditory exostosis | 0 | 0 | 0 | 11 | 11 | 0 | 0 | 0 | 10 | 10 | 0 | |
| 23 | 顶孔缺如 Parietal foramen absent | 2 | 1 | 5 | 3 | 11 | 1 | 2 | 3 | 2 | 8 | 73.68% | |
| 24 | 颧横缝痕迹 Trace of transverse zygomatic suture | 0 | 0 | 0 | 11 | 11 | 0 | 1 | 0 | 9 | 10 | 4.76% | |
| 25 | 枕横缝残存 Remain of biasterionic suture | 1 | 2 | 0 | 8 | 11 | 1 | 0 | 1 | 8 | 10 | 23.81% | |
| 26 | 二分舌下神经管 Hypoglossal canal bridging | 0 | 0 | 1 | 10 | 11 | 0 | 1 | 0 | 9 | 10 | 9.52% | |
| 27 | 卵圆孔棘孔交通Ovale-spinosum confluence | 0 | 3 | 0 | 8 | 11 | 0 | 0 | 0 | 10 | 10 | 14.29% | |
| 28 | 颈静脉孔骨桥 Jugular foramen bridging | 0 | 1 | 0 | 10 | 11 | 0 | 0 | 1 | 9 | 10 | 9.52% | |
| 29 | 下颌圆枕 Mandibular torus | 2 | 1 | 1 | 5 | 9 | 4 | 0 | 0 | 4 | 8 | 47.06% | |
| 30 | 下颌舌骨沟骨桥 Mylohyoid bridging | 0 | 0 | 0 | 9 | 9 | 0 | 0 | 0 | 10 | 10 | 0 | |
| 31 | 副颏孔 Accessory mental foramen | 0 | 0 | 0 | 6 | 6 | 0 | 1 | 0 | 9 | 10 | 6.25% | |
| 32 | 额颞结合 Fronto-temporal articulation | 0 | 0 | 0 | 11 | 11 | 0 | 1 | 1 | 8 | 10 | 9.52% | |
| 33 | 旁髁突 Paracondylar process | 0 | 0 | 0 | 11 | 11 | 0 | 0 | 0 | 10 | 10 | 0 | |
| 34 | 翼上骨 Epipteric bone | 0 | 0 | 1 | 10 | 11 | 2 | 1 | 1 | 6 | 10 | 23.81% | |
| 35 | 棘孔开放 Foramen spinosum open | 1 | 2 | 0 | 8 | 11 | 2 | 2 | 0 | 6 | 10 | 33.33% | |
| 36 | 翼棘孔 Pterygospinous foramen | 0 | 1 | 2 | 8 | 11 | 0 | 3 | 2 | 5 | 10 | 38.10% | |
| 37 | 卵圆孔不全 Foramen ovale incomplete | 0 | 0 | 0 | 11 | 11 | 0 | 0 | 0 | 10 | 10 | 0 | |
| 38 | 维萨里孔 Foramen petrosum | 0 | 0 | 4 | 7 | 11 | 1 | 0 | 2 | 7 | 10 | 33.33% | |
| 39 | 日本人骨Os Japonicus | 0 | 0 | 0 | 11 | 11 | 0 | 0 | 0 | 10 | 10 | 0 | |
| 40 | 咽窝 Pharyngeal fossa | 7 | 0 | 0 | 4 | 11 | 1 | 0 | 0 | 9 | 10 | 38.10% | |
| 41 | 鼓板裂孔Dehiscence | 0 | 1 | 0 | 10 | 11 | 0 | 0 | 0 | 10 | 10 | 4.76% | |
| 42 | 髁前结节Precondylar tubercle | 4 | 0 | 0 | 7 | 11 | 2 | 2 | 0 | 6 | 10 | 38.10% | |
| 43 | 髁后孔Condylar canal patent | 2 | 3 | 1 | 5 | 11 | 4 | 3 | 3 | 0 | 10 | 76.19% | |
| 44 | 成对髁突面Double condylar facet | 0 | 0 | 0 | 11 | 11 | 0 | 0 | 0 | 10 | 10 | 0 | |
| 45 | 颊骨后裂Transverse zygomatic suture vestige | 0 | 1 | 0 | 10 | 11 | 0 | 3 | 2 | 5 | 10 | 28.57% | |
| 46 | 颞鳞骨Temporo-Squamous ossicle | 0 | 1 | 1 | 9 | 11 | 0 | 0 | 0 | 10 | 10 | 9.52% | |
表1 金茂园非连续性性状统计
Tab.1 The statistics of discontinuous morphological traits
| 编号No. | 项目名称Name | 男Male | 女Female | 出现率 P | |||||||||
|---|---|---|---|---|---|---|---|---|---|---|---|---|---|
| RL | RO | OL | OO | n | RL | RO | OL | OO | n | ||||
| 1 | 前囟骨 Bregmatic bone | 0 | 0 | 0 | 10 | 10 | 0 | 0 | 0 | 9 | 9 | 0 | |
| 2 | 冠状缝小骨 Coronal ossicle | 0 | 1 | 0 | 9 | 10 | 0 | 2 | 1 | 6 | 9 | 21.05% | |
| 3 | 矢状缝小骨 Sagittal suture ossicle | 0 | 0 | 0 | 10 | 10 | 0 | 0 | 0 | 9 | 9 | 0 | |
| 4 | 人字点小骨 Ossicle at lambda | 0 | 0 | 0 | 11 | 11 | 0 | 0 | 0 | 9 | 9 | 0 | |
| 5 | 人字缝小骨 Lambdoid ossicle | 1 | 1 | 2 | 7 | 11 | 3 | 2 | 3 | 1 | 9 | 60.00% | |
| 6 | 印加骨 Inca bone | 0 | 0 | 0 | 11 | 11 | 0 | 0 | 0 | 9 | 9 | 0.00 | |
| 7 | 星点小骨 Ossicle at asterion | 1 | 0 | 1 | 9 | 11 | 0 | 0 | 3 | 7 | 10 | 23.81% | |
| 8 | 顶切迹骨 Parietal notch bone | 0 | 1 | 1 | 9 | 11 | 1 | 0 | 0 | 9 | 10 | 14.29% | |
| 9 | 枕乳缝间骨 Occicle at asterion | 1 | 1 | 0 | 9 | 11 | 1 | 1 | 1 | 7 | 10 | 23.81% | |
| 10 | 额切迹Frontal norch | 1 | 1 | 1 | 8 | 11 | 0 | 1 | 2 | 7 | 10 | 28.57% | |
| 11 | 额切孔Frontal foremen | 0 | 0 | 0 | 11 | 11 | 0 | 0 | 0 | 10 | 10 | 0 | |
| 12 | 额中缝 Metopic suture | 0 | 0 | 0 | 11 | 11 | 0 | 0 | 0 | 10 | 10 | 0 | |
| 13 | 眶上孔 Supraorbital foramen | 2 | 1 | 2 | 6 | 11 | 2 | 4 | 0 | 4 | 10 | 52.38% | |
| 14 | 副眶下孔 Accessory infraorbital foramen | 2 | 2 | 0 | 7 | 11 | 0 | 1 | 2 | 7 | 10 | 33.33% | |
| 15 | 眶下孔缝 Infraorbital suture | 0 | 1 | 0 | 10 | 11 | 2 | 0 | 0 | 8 | 10 | 14.29% | |
| 16 | 上颌圆枕 Maxillary torus | 0 | 0 | 0 | 11 | 11 | 0 | 0 | 0 | 10 | 10 | 0 | |
| 17 | 腭圆枕 Palatine torus | 2 | 0 | 0 | 9 | 11 | 7 | 0 | 0 | 3 | 10 | 42.86% | |
| 18 | 内侧腭管 Medial palatine | 2 | 0 | 0 | 9 | 11 | 1 | 0 | 0 | 9 | 10 | 14.29% | |
| 19 | 副腭小孔 Accessory lesser palatine foramen | 5 | 4 | 0 | 2 | 11 | 3 | 2 | 1 | 4 | 10 | 71.43% | |
| 20 | 颧面孔缺如 Zygomatic-facial foramen absent | 0 | 0 | 1 | 10 | 11 | 0 | 1 | 0 | 9 | 10 | 9.52% | |
| 21 | 副颧面孔Accessory zygo-facial foramen | 4 | 1 | 1 | 5 | 11 | 4 | 2 | 2 | 2 | 10 | 66.67% | |
| 22 | 外耳道骨肿 Auditory exostosis | 0 | 0 | 0 | 11 | 11 | 0 | 0 | 0 | 10 | 10 | 0 | |
| 23 | 顶孔缺如 Parietal foramen absent | 2 | 1 | 5 | 3 | 11 | 1 | 2 | 3 | 2 | 8 | 73.68% | |
| 24 | 颧横缝痕迹 Trace of transverse zygomatic suture | 0 | 0 | 0 | 11 | 11 | 0 | 1 | 0 | 9 | 10 | 4.76% | |
| 25 | 枕横缝残存 Remain of biasterionic suture | 1 | 2 | 0 | 8 | 11 | 1 | 0 | 1 | 8 | 10 | 23.81% | |
| 26 | 二分舌下神经管 Hypoglossal canal bridging | 0 | 0 | 1 | 10 | 11 | 0 | 1 | 0 | 9 | 10 | 9.52% | |
| 27 | 卵圆孔棘孔交通Ovale-spinosum confluence | 0 | 3 | 0 | 8 | 11 | 0 | 0 | 0 | 10 | 10 | 14.29% | |
| 28 | 颈静脉孔骨桥 Jugular foramen bridging | 0 | 1 | 0 | 10 | 11 | 0 | 0 | 1 | 9 | 10 | 9.52% | |
| 29 | 下颌圆枕 Mandibular torus | 2 | 1 | 1 | 5 | 9 | 4 | 0 | 0 | 4 | 8 | 47.06% | |
| 30 | 下颌舌骨沟骨桥 Mylohyoid bridging | 0 | 0 | 0 | 9 | 9 | 0 | 0 | 0 | 10 | 10 | 0 | |
| 31 | 副颏孔 Accessory mental foramen | 0 | 0 | 0 | 6 | 6 | 0 | 1 | 0 | 9 | 10 | 6.25% | |
| 32 | 额颞结合 Fronto-temporal articulation | 0 | 0 | 0 | 11 | 11 | 0 | 1 | 1 | 8 | 10 | 9.52% | |
| 33 | 旁髁突 Paracondylar process | 0 | 0 | 0 | 11 | 11 | 0 | 0 | 0 | 10 | 10 | 0 | |
| 34 | 翼上骨 Epipteric bone | 0 | 0 | 1 | 10 | 11 | 2 | 1 | 1 | 6 | 10 | 23.81% | |
| 35 | 棘孔开放 Foramen spinosum open | 1 | 2 | 0 | 8 | 11 | 2 | 2 | 0 | 6 | 10 | 33.33% | |
| 36 | 翼棘孔 Pterygospinous foramen | 0 | 1 | 2 | 8 | 11 | 0 | 3 | 2 | 5 | 10 | 38.10% | |
| 37 | 卵圆孔不全 Foramen ovale incomplete | 0 | 0 | 0 | 11 | 11 | 0 | 0 | 0 | 10 | 10 | 0 | |
| 38 | 维萨里孔 Foramen petrosum | 0 | 0 | 4 | 7 | 11 | 1 | 0 | 2 | 7 | 10 | 33.33% | |
| 39 | 日本人骨Os Japonicus | 0 | 0 | 0 | 11 | 11 | 0 | 0 | 0 | 10 | 10 | 0 | |
| 40 | 咽窝 Pharyngeal fossa | 7 | 0 | 0 | 4 | 11 | 1 | 0 | 0 | 9 | 10 | 38.10% | |
| 41 | 鼓板裂孔Dehiscence | 0 | 1 | 0 | 10 | 11 | 0 | 0 | 0 | 10 | 10 | 4.76% | |
| 42 | 髁前结节Precondylar tubercle | 4 | 0 | 0 | 7 | 11 | 2 | 2 | 0 | 6 | 10 | 38.10% | |
| 43 | 髁后孔Condylar canal patent | 2 | 3 | 1 | 5 | 11 | 4 | 3 | 3 | 0 | 10 | 76.19% | |
| 44 | 成对髁突面Double condylar facet | 0 | 0 | 0 | 11 | 11 | 0 | 0 | 0 | 10 | 10 | 0 | |
| 45 | 颊骨后裂Transverse zygomatic suture vestige | 0 | 1 | 0 | 10 | 11 | 0 | 3 | 2 | 5 | 10 | 28.57% | |
| 46 | 颞鳞骨Temporo-Squamous ossicle | 0 | 1 | 1 | 9 | 11 | 0 | 0 | 0 | 10 | 10 | 9.52% | |
| 比较项 | 金茂园 JMY | 华北 Huabei | 太原 Taiyuan | 中国南方South | 蒙古 Mongolians | 布里亚特Buryats | 阿穆尔河Amur | 楚克奇 Chukchis | 哈萨克 Kazakhs | 爪哇 Javanese | 菲律宾 Philippines | |||||||||||
|---|---|---|---|---|---|---|---|---|---|---|---|---|---|---|---|---|---|---|---|---|---|---|
| N | P | N | P | N | P | N | P | N | P | N | P | N | P | N | P | N | P | N | P | N | P | |
| OSSL | 20 | 0.0125 | 139 | 0.0576 | 150 | 0.0783 | 86 | 0.2326 | 178 | 0.1236 | 147 | 0.1293 | 155 | 0.0387 | 73 | 0.0548 | 114 | 0.1667 | 133 | 0.0526 | 216 | 0.1204 |
| PANB | 21 | 0.1429 | 143 | 0.1399 | 150 | 0.1391 | 85 | 0.4353 | 181 | 0.2486 | 142 | 0.1549 | 162 | 0.1481 | 73 | 0.2603 | 119 | 0.1681 | 134 | 0.2836 | 218 | 0.3119 |
| ASTB | 21 | 0.2381 | 141 | 0.1277 | 150 | 0.1478 | 86 | 0.3372 | 181 | 0.1326 | 144 | 0.1319 | 160 | 0.2063 | 73 | 0.1644 | 120 | 0.1833 | 134 | 0.291 | 219 | 0.2785 |
| OCMB | 21 | 0.2381 | 140 | 0.1214 | 150 | 0.1565 | 86 | 0.3256 | 181 | 0.1326 | 137 | 0.1387 | 148 | 0.1622 | 67 | 0.2687 | 115 | 0.1217 | 134 | 0.2463 | 219 | 0.3105 |
| HYCB | 21 | 0.0952 | 143 | 0.2168 | 150 | 0.1739 | 92 | 0.1087 | 181 | 0.1934 | 151 | 0.2185 | 165 | 0.2303 | 73 | 0.2603 | 120 | 0.3083 | 135 | 0.2 | 214 | 0.2009 |
| PRET | 21 | 0.381 | 144 | 0.1181 | 150 | 0.0522 | 80 | 0.1625 | 180 | 0.1278 | 148 | 0.1824 | 159 | 0.044 | 66 | 0.0455 | 120 | 0.15 | 130 | 0.0615 | 206 | 0.0631 |
| MYLB | 19 | 0.0132 | 129 | 0.062 | 95 | 0.0737 | 46 | 0.087 | 107 | 0.0748 | 124 | 0.1371 | 105 | 0.0762 | 27 | 0.3333 | 118 | 0.1017 | 116 | 0.1207 | 83 | 0.0602 |
| TYMD | 21 | 0.0476 | 140 | 0.1429 | 150 | 0.1826 | 93 | 0.3656 | 183 | 0.3934 | 150 | 0.58 | 164 | 0.3232 | 73 | 0.4247 | 120 | 0.4 | 136 | 0.3824 | 219 | 0.347 |
| METO | 21 | 0.0119 | 144 | 0.0486 | 150 | 0.1217 | 93 | 0.086 | 183 | 0.0492 | 151 | 0.053 | 166 | 0.0015 | 74 | 0.027 | 120 | 0.0333 | 137 | 0.0584 | 217 | 0.0276 |
| BIAS | 21 | 0.2381 | 144 | 0.0278 | 150 | 0.2087 | 86 | 0.2442 | 183 | 0.1694 | 148 | 0.1622 | 164 | 0.1037 | 74 | 0.1216 | 120 | 0.075 | 134 | 0.1269 | 218 | 0.2018 |
| SUNF | 16 | 0.5238 | 141 | 0.6383 | 150 | 0.6348 | 92 | 0.5652 | 183 | 0.5683 | 151 | 0.702 | 166 | 0.7048 | 74 | 0.7973 | 120 | 0.6 | 137 | 0.4964 | 218 | 0.4495 |
| ACIF | 21 | 0.3333 | 144 | 0.0903 | 150 | 0.2348 | 93 | 0.3871 | 177 | 0.1808 | 150 | 0.1533 | 155 | 0.2516 | 70 | 0.3143 | 120 | 0.1917 | 132 | 0.303 | 218 | 0.2706 |
| ACMF | 16 | 0.0625 | 129 | 0.031 | 95 | 0.0737 | 46 | 0.087 | 108 | 0.2407 | 124 | 0.1855 | 104 | 0.1923 | 27 | 0.1852 | 118 | 0.3136 | 115 | 0.0696 | 83 | 0.1084 |
表2 金茂园13项颅骨非连续性形态特征与其他10组人群的比较
Tab.2 Comparison of the 13 nonmetric cranial traits with other 10 populations
| 比较项 | 金茂园 JMY | 华北 Huabei | 太原 Taiyuan | 中国南方South | 蒙古 Mongolians | 布里亚特Buryats | 阿穆尔河Amur | 楚克奇 Chukchis | 哈萨克 Kazakhs | 爪哇 Javanese | 菲律宾 Philippines | |||||||||||
|---|---|---|---|---|---|---|---|---|---|---|---|---|---|---|---|---|---|---|---|---|---|---|
| N | P | N | P | N | P | N | P | N | P | N | P | N | P | N | P | N | P | N | P | N | P | |
| OSSL | 20 | 0.0125 | 139 | 0.0576 | 150 | 0.0783 | 86 | 0.2326 | 178 | 0.1236 | 147 | 0.1293 | 155 | 0.0387 | 73 | 0.0548 | 114 | 0.1667 | 133 | 0.0526 | 216 | 0.1204 |
| PANB | 21 | 0.1429 | 143 | 0.1399 | 150 | 0.1391 | 85 | 0.4353 | 181 | 0.2486 | 142 | 0.1549 | 162 | 0.1481 | 73 | 0.2603 | 119 | 0.1681 | 134 | 0.2836 | 218 | 0.3119 |
| ASTB | 21 | 0.2381 | 141 | 0.1277 | 150 | 0.1478 | 86 | 0.3372 | 181 | 0.1326 | 144 | 0.1319 | 160 | 0.2063 | 73 | 0.1644 | 120 | 0.1833 | 134 | 0.291 | 219 | 0.2785 |
| OCMB | 21 | 0.2381 | 140 | 0.1214 | 150 | 0.1565 | 86 | 0.3256 | 181 | 0.1326 | 137 | 0.1387 | 148 | 0.1622 | 67 | 0.2687 | 115 | 0.1217 | 134 | 0.2463 | 219 | 0.3105 |
| HYCB | 21 | 0.0952 | 143 | 0.2168 | 150 | 0.1739 | 92 | 0.1087 | 181 | 0.1934 | 151 | 0.2185 | 165 | 0.2303 | 73 | 0.2603 | 120 | 0.3083 | 135 | 0.2 | 214 | 0.2009 |
| PRET | 21 | 0.381 | 144 | 0.1181 | 150 | 0.0522 | 80 | 0.1625 | 180 | 0.1278 | 148 | 0.1824 | 159 | 0.044 | 66 | 0.0455 | 120 | 0.15 | 130 | 0.0615 | 206 | 0.0631 |
| MYLB | 19 | 0.0132 | 129 | 0.062 | 95 | 0.0737 | 46 | 0.087 | 107 | 0.0748 | 124 | 0.1371 | 105 | 0.0762 | 27 | 0.3333 | 118 | 0.1017 | 116 | 0.1207 | 83 | 0.0602 |
| TYMD | 21 | 0.0476 | 140 | 0.1429 | 150 | 0.1826 | 93 | 0.3656 | 183 | 0.3934 | 150 | 0.58 | 164 | 0.3232 | 73 | 0.4247 | 120 | 0.4 | 136 | 0.3824 | 219 | 0.347 |
| METO | 21 | 0.0119 | 144 | 0.0486 | 150 | 0.1217 | 93 | 0.086 | 183 | 0.0492 | 151 | 0.053 | 166 | 0.0015 | 74 | 0.027 | 120 | 0.0333 | 137 | 0.0584 | 217 | 0.0276 |
| BIAS | 21 | 0.2381 | 144 | 0.0278 | 150 | 0.2087 | 86 | 0.2442 | 183 | 0.1694 | 148 | 0.1622 | 164 | 0.1037 | 74 | 0.1216 | 120 | 0.075 | 134 | 0.1269 | 218 | 0.2018 |
| SUNF | 16 | 0.5238 | 141 | 0.6383 | 150 | 0.6348 | 92 | 0.5652 | 183 | 0.5683 | 151 | 0.702 | 166 | 0.7048 | 74 | 0.7973 | 120 | 0.6 | 137 | 0.4964 | 218 | 0.4495 |
| ACIF | 21 | 0.3333 | 144 | 0.0903 | 150 | 0.2348 | 93 | 0.3871 | 177 | 0.1808 | 150 | 0.1533 | 155 | 0.2516 | 70 | 0.3143 | 120 | 0.1917 | 132 | 0.303 | 218 | 0.2706 |
| ACMF | 16 | 0.0625 | 129 | 0.031 | 95 | 0.0737 | 46 | 0.087 | 108 | 0.2407 | 124 | 0.1855 | 104 | 0.1923 | 27 | 0.1852 | 118 | 0.3136 | 115 | 0.0696 | 83 | 0.1084 |
| JMY | NCh | TY | NCh | Mon | Bur | Amu | Chu | Kaz | Jav | Phi | |
|---|---|---|---|---|---|---|---|---|---|---|---|
| 金茂园JMY | 0.000 | ||||||||||
| 华北NCh | 0.017 | 0.000 | |||||||||
| 太原TY | 0.001 | 0.007 | 0.000 | ||||||||
| 中国南方SCh | 0.034 | 0.107 | 0.059 | 0.000 | |||||||
| 蒙古Mon | 0.038 | 0.035 | 0.020 | 0.045 | 0.000 | ||||||
| 布里亚特Bur | 0.089 | 0.065 | 0.052 | 0.078 | 0.009 | 0.000 | |||||
| 阿穆尔河Amu | 0.033 | 0.020 | 0.008 | 0.064 | 0.009 | 0.023 | 0.000 | ||||
| 楚克奇Chu | 0.089 | 0.070 | 0.044 | 0.057 | 0.032 | 0.012 | 0.012 | 0.000 | |||
| 哈萨克Kaz | 0.060 | 0.042 | 0.038 | 0.072 | 0.000 | 0.010 | 0.008 | 0.030 | 0.000 | ||
| 爪哇Jav | 0.027 | 0.048 | 0.024 | 0.013 | 0.018 | 0.045 | 0.018 | 0.028 | 0.033 | 0.000 | |
| 菲律宾Phi | 0.025 | 0.061 | 0.032 | 0.007 | 0.020 | 0.060 | 0.032 | 0.051 | 0.041 | 0.000 | 0.000 |
表3 金茂园与其他10组人群MMD值的对比
Tab.3 Mean measure of divergence based on 13 non-metric cranial traits with other 10 populations
| JMY | NCh | TY | NCh | Mon | Bur | Amu | Chu | Kaz | Jav | Phi | |
|---|---|---|---|---|---|---|---|---|---|---|---|
| 金茂园JMY | 0.000 | ||||||||||
| 华北NCh | 0.017 | 0.000 | |||||||||
| 太原TY | 0.001 | 0.007 | 0.000 | ||||||||
| 中国南方SCh | 0.034 | 0.107 | 0.059 | 0.000 | |||||||
| 蒙古Mon | 0.038 | 0.035 | 0.020 | 0.045 | 0.000 | ||||||
| 布里亚特Bur | 0.089 | 0.065 | 0.052 | 0.078 | 0.009 | 0.000 | |||||
| 阿穆尔河Amu | 0.033 | 0.020 | 0.008 | 0.064 | 0.009 | 0.023 | 0.000 | ||||
| 楚克奇Chu | 0.089 | 0.070 | 0.044 | 0.057 | 0.032 | 0.012 | 0.012 | 0.000 | |||
| 哈萨克Kaz | 0.060 | 0.042 | 0.038 | 0.072 | 0.000 | 0.010 | 0.008 | 0.030 | 0.000 | ||
| 爪哇Jav | 0.027 | 0.048 | 0.024 | 0.013 | 0.018 | 0.045 | 0.018 | 0.028 | 0.033 | 0.000 | |
| 菲律宾Phi | 0.025 | 0.061 | 0.032 | 0.007 | 0.020 | 0.060 | 0.032 | 0.051 | 0.041 | 0.000 | 0.000 |
| 组别Groups | 男性Male | 女性Female | ||||||
|---|---|---|---|---|---|---|---|---|
| 颅长Length | 颅宽Breadth | 颅指Index | 颅长Length | 颅宽Breadth | 颅指Index | |||
| 皮尔逊 Karl Pearson | 阿伊努组Ainos | 5.94 | 3.90 | - | - | - | - | |
| 巴伐利亚组Bavarians | 6.09 | 5.85 | - | - | - | - | ||
| 帕里西安组Parisians | 5.94 | 5.21 | - | - | - | - | ||
| 纳夸达组Napadas | 5.72 | 4.62 | - | - | - | - | ||
| 英国组English | 6.09 | 4.80 | - | - | - | - | ||
| 莫兰特 Morant GM | 埃及E组Egyptians E | 5.73 | 4.76 | 2.67 | - | - | - | |
| 纳夸达组Napadas | 6.03 | 4.6 | 2.88 | - | - | - | ||
| 维特卡普组Whitechapel English | 6.17 | 5.28 | 2.97 | - | - | - | ||
| 莫菲儿德组Moorfields English | 5.9 | 5.31 | 3.27 | - | - | - | ||
| 刚果尼格鲁组Congo Negroes | 6.55 | 5 | 2.88 | - | - | - | ||
| 中国China | 殷代祭祀坑组Sacrifice pits in Yinxu | 6.2 | 5.9 | 3.98 | - | - | - | |
| 殷墟中小墓组Tombs in Yinxu | 5.79 | 4.44 | 2.85 | 5.91 | 3.79 | 2.34 | ||
| 姜家梁组Jiangjialiang | 7.16 | 5.09 | 4.98 | 6.66 | 9.17 | 7.05 | ||
| 浮山桥北组Fushan Qiaobei | 6.78 | 8.29 | 4.26 | 4.33 | 3.76 | 1.69 | ||
| 金茂园组Jinmaoyuan | 4.65 | 4.65 | 2.89 | 3.6 | 4.27 | 1.85 | ||
表4 金茂园组颅长、颅宽、颅指数标准差与其他组之比较
Tab.4 Comparison of cranial length, cranial width and cranial index standard deviation between Jinmaoyuan group and other groups
| 组别Groups | 男性Male | 女性Female | ||||||
|---|---|---|---|---|---|---|---|---|
| 颅长Length | 颅宽Breadth | 颅指Index | 颅长Length | 颅宽Breadth | 颅指Index | |||
| 皮尔逊 Karl Pearson | 阿伊努组Ainos | 5.94 | 3.90 | - | - | - | - | |
| 巴伐利亚组Bavarians | 6.09 | 5.85 | - | - | - | - | ||
| 帕里西安组Parisians | 5.94 | 5.21 | - | - | - | - | ||
| 纳夸达组Napadas | 5.72 | 4.62 | - | - | - | - | ||
| 英国组English | 6.09 | 4.80 | - | - | - | - | ||
| 莫兰特 Morant GM | 埃及E组Egyptians E | 5.73 | 4.76 | 2.67 | - | - | - | |
| 纳夸达组Napadas | 6.03 | 4.6 | 2.88 | - | - | - | ||
| 维特卡普组Whitechapel English | 6.17 | 5.28 | 2.97 | - | - | - | ||
| 莫菲儿德组Moorfields English | 5.9 | 5.31 | 3.27 | - | - | - | ||
| 刚果尼格鲁组Congo Negroes | 6.55 | 5 | 2.88 | - | - | - | ||
| 中国China | 殷代祭祀坑组Sacrifice pits in Yinxu | 6.2 | 5.9 | 3.98 | - | - | - | |
| 殷墟中小墓组Tombs in Yinxu | 5.79 | 4.44 | 2.85 | 5.91 | 3.79 | 2.34 | ||
| 姜家梁组Jiangjialiang | 7.16 | 5.09 | 4.98 | 6.66 | 9.17 | 7.05 | ||
| 浮山桥北组Fushan Qiaobei | 6.78 | 8.29 | 4.26 | 4.33 | 3.76 | 1.69 | ||
| 金茂园组Jinmaoyuan | 4.65 | 4.65 | 2.89 | 3.6 | 4.27 | 1.85 | ||
| 测量项Characters | 欧系σ(Europe) | 金茂园男JMY male | 金茂园女JMY female | |||
|---|---|---|---|---|---|---|
| σ | R | σ | R | |||
| 颅长 L(Maximum cranial) | 6.09 | 4.65 | 76.35 % | 3.6 | 59.11% | |
| 颅宽 b(Maximum cranial) | 5.03 | 4.65 | 92.45% | 4.27 | 84.89% | |
| 颅高 h(Basion-bregm) | 5.12 | 4.69 | 91.60% | 4.87 | 95.12% | |
| 耳上颅高 h(Auricular ) | 4.24 | 4.02 | 94.81% | 5.16 | 121.70% | |
| 全面高 h(Mophological facial) | 6.33 | 8.4 | 132.70% | 6.23 | 98.42% | |
| 最小额宽 b(Minimum frontal) | 4.32 | 4.45 | 103.01% | 3.81 | 88.19% | |
| 颅基底长L(Basi-nasal) | 4.22 | 3.78 | 89.57% | 5.16 | 122.27% | |
| 颅周长 C(Cranial horizontal) | 14.14 | 10.35 | 73.20% | 11.27 | 79.70% | |
| 颅横弧 L(Cranial transverse arc) | 10.02 | 13.74 | 137.13% | 25.28 | 252.30% | |
| 颅失状弧 L(Cranial sagittal arc) | 12.71 | 14.22 | 111.88% | 5.85 | 46.03% | |
| 额失状弧 L(Frontal arc) | 6.01 | 9.11 | 151.58% | 4.92 | 81.86% | |
| 顶失状弧 L(Parietal arc) | 7.65 | 5.23 | 68.37% | 7.59 | 99.22% | |
| 枕失状弧 L(Occipital arc) | 7.46 | 5.9 | 79.09% | 4.01 | 53.75% | |
| 面宽 b(Malar) | 5.1 | 4.95 | 97.06% | 3.55 | 69.61% | |
| 上面高 h(Upper facial) | 4.28 | 4.98 | 116.36% | 3.71 | 86.68% | |
| 眶宽b(R Orbital from dacryon) | 1.82 | 1.52 | 83.52% | 1.69 | 92.86% | |
| 眶高h(R Orbital height) | 2.01 | 2.43 | 120.90% | 1.61 | 80.10% | |
| 鼻宽 b(Nasal) | 1.81 | 1.04 | 57.46% | 1.14 | 62.98% | |
| 鼻高L(ns Nasal) | 3.03 | 3.38 | 111.55% | 2.94 | 97.03% | |
| 颚长 L(Palatal) | 2.93 | 2.35 | 80.20% | 3.18 | 108.53% | |
| 腭宽 b(Palatal) | 3.19 | 2.97 | 93.10% | 3.49 | 109.40% | |
| 下颌髁间宽b(Bicondylar) | 5.58 | 9.12 | 163.44% | 4.32 | 77.42% | |
| 下颌角间宽 b(Bigonial) | 6.62 | 6.01 | 90.79% | 3.39 | 51.21% | |
| 下颌联合高 h(Symphysis) | 2.84 | 3.85 | 135.56% | 2.81 | 98.94% | |
| 下颌支最小宽 bmin(Mandibular ramus) | 2.71 | 2.69 | 99.26% | 1.94 | 71.59% | |
| 颅长宽指数 Ib/L(Cranial) | 3.22 | 2.89 | 89.75% | 1.86 | 57.76% | |
| 颅长高指数Ih/L(Cranial) | 3.05 | 2.78 | 91.15% | 2.82 | 92.46% | |
| 颅宽高指数 Ih/b(Basin bregmatic) | 4.61 | 3.86 | 83.73% | 3.31 | 71.80% | |
| 额宽指数 Ib(Fronto-parietal) | 3.23 | 3.24 | 100.31% | 1.36 | 42.11% | |
| 上面指数 I (Upper facial) | 3.3 | 3.62 | 109.70% | 2.96 | 89.70% | |
| 眶指数I (R Orbital index) | 5.33 | 4.58 | 85.93% | 5 | 93.81% | |
| 鼻指数I (Nasal) | 4.49 | 3.44 | 76.61% | 3.91 | 87.08% | |
| 腭指数 I (Palatal) | 6.61 | 7.84 | 118.61% | 12.27 | 185.63% | |
表5 金茂园组颅骨参数的标准差及在欧洲同种系标准差中所占百分比
Tab.5 Comparison of the standard deviation of skull data in Jinmaoyuan group and the percentage standard deviation of the same species in Europe
| 测量项Characters | 欧系σ(Europe) | 金茂园男JMY male | 金茂园女JMY female | |||
|---|---|---|---|---|---|---|
| σ | R | σ | R | |||
| 颅长 L(Maximum cranial) | 6.09 | 4.65 | 76.35 % | 3.6 | 59.11% | |
| 颅宽 b(Maximum cranial) | 5.03 | 4.65 | 92.45% | 4.27 | 84.89% | |
| 颅高 h(Basion-bregm) | 5.12 | 4.69 | 91.60% | 4.87 | 95.12% | |
| 耳上颅高 h(Auricular ) | 4.24 | 4.02 | 94.81% | 5.16 | 121.70% | |
| 全面高 h(Mophological facial) | 6.33 | 8.4 | 132.70% | 6.23 | 98.42% | |
| 最小额宽 b(Minimum frontal) | 4.32 | 4.45 | 103.01% | 3.81 | 88.19% | |
| 颅基底长L(Basi-nasal) | 4.22 | 3.78 | 89.57% | 5.16 | 122.27% | |
| 颅周长 C(Cranial horizontal) | 14.14 | 10.35 | 73.20% | 11.27 | 79.70% | |
| 颅横弧 L(Cranial transverse arc) | 10.02 | 13.74 | 137.13% | 25.28 | 252.30% | |
| 颅失状弧 L(Cranial sagittal arc) | 12.71 | 14.22 | 111.88% | 5.85 | 46.03% | |
| 额失状弧 L(Frontal arc) | 6.01 | 9.11 | 151.58% | 4.92 | 81.86% | |
| 顶失状弧 L(Parietal arc) | 7.65 | 5.23 | 68.37% | 7.59 | 99.22% | |
| 枕失状弧 L(Occipital arc) | 7.46 | 5.9 | 79.09% | 4.01 | 53.75% | |
| 面宽 b(Malar) | 5.1 | 4.95 | 97.06% | 3.55 | 69.61% | |
| 上面高 h(Upper facial) | 4.28 | 4.98 | 116.36% | 3.71 | 86.68% | |
| 眶宽b(R Orbital from dacryon) | 1.82 | 1.52 | 83.52% | 1.69 | 92.86% | |
| 眶高h(R Orbital height) | 2.01 | 2.43 | 120.90% | 1.61 | 80.10% | |
| 鼻宽 b(Nasal) | 1.81 | 1.04 | 57.46% | 1.14 | 62.98% | |
| 鼻高L(ns Nasal) | 3.03 | 3.38 | 111.55% | 2.94 | 97.03% | |
| 颚长 L(Palatal) | 2.93 | 2.35 | 80.20% | 3.18 | 108.53% | |
| 腭宽 b(Palatal) | 3.19 | 2.97 | 93.10% | 3.49 | 109.40% | |
| 下颌髁间宽b(Bicondylar) | 5.58 | 9.12 | 163.44% | 4.32 | 77.42% | |
| 下颌角间宽 b(Bigonial) | 6.62 | 6.01 | 90.79% | 3.39 | 51.21% | |
| 下颌联合高 h(Symphysis) | 2.84 | 3.85 | 135.56% | 2.81 | 98.94% | |
| 下颌支最小宽 bmin(Mandibular ramus) | 2.71 | 2.69 | 99.26% | 1.94 | 71.59% | |
| 颅长宽指数 Ib/L(Cranial) | 3.22 | 2.89 | 89.75% | 1.86 | 57.76% | |
| 颅长高指数Ih/L(Cranial) | 3.05 | 2.78 | 91.15% | 2.82 | 92.46% | |
| 颅宽高指数 Ih/b(Basin bregmatic) | 4.61 | 3.86 | 83.73% | 3.31 | 71.80% | |
| 额宽指数 Ib(Fronto-parietal) | 3.23 | 3.24 | 100.31% | 1.36 | 42.11% | |
| 上面指数 I (Upper facial) | 3.3 | 3.62 | 109.70% | 2.96 | 89.70% | |
| 眶指数I (R Orbital index) | 5.33 | 4.58 | 85.93% | 5 | 93.81% | |
| 鼻指数I (Nasal) | 4.49 | 3.44 | 76.61% | 3.91 | 87.08% | |
| 腭指数 I (Palatal) | 6.61 | 7.84 | 118.61% | 12.27 | 185.63% | |
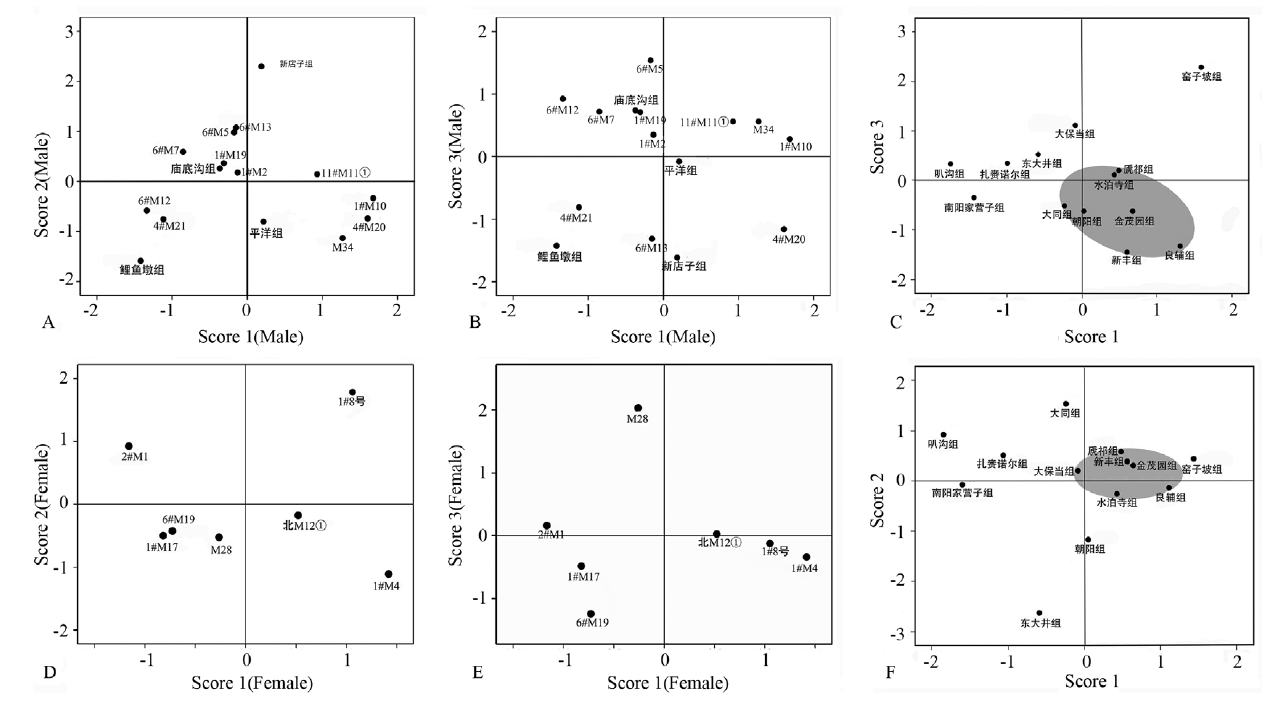
图3 金茂园与几个古代组个体因子分布图 A,B,C,D. 个体因子散点图Scatter diagram of individual factors;E,F.古代因子散点图Scatter diagram of ancient groups factors
Fig.3 Scatter diagram of individual factors and ancient groups factors in Jinmaoyuan
| [1] | 李凯. 大同:民族交融的历史进程与当代趋向[N]. 中国民族报,2017-06-16(8). |
| [2] | 赵文慧, 王海. 论战国秦汉时期代地的历史文化地位:以交通史为视角的考察[J]. 地方文化研究, 2018(3): 56-64. |
| [3] | 杨丽. 秦汉时期雁门郡的交通及其军事战略价值[J]. 内蒙古社会科学(汉文版), 2013, 34(4): 67-70. |
| [4] | 孙靖国. 中古时期桑干河流域农牧环境的变迁:兼论北魏为何定都平城[J]. 南都学坛, 2012, 32(3): 22-32. |
| [5] | 路艳超. 大同地区北魏墓葬的初步研究[D]. 郑州大学硕士学位论文, 2012, 1-4. |
| [6] | 张振标, 宁立新. 大同北魏时期墓葬人骨的种族特征[J]. 文物季刊, 1995(3): 29-32. |
| [7] | 韩巍. 山西大同北魏时期居民的种系类型分析[J]. 边疆考古研究, 2005(1): 270-280. |
| [8] | 王银田. 试论大同南郊北魏墓地的族属[A]. 山西省考古研究所.山西省考古学会. 山西省考古学会论文集[C]. 太原: 山西人民出版社, 2006, 175-181. |
| [9] | 李鹏程. 山西省大同市水泊寺廉租房墓地人骨研究[D]. 辽宁大学硕士学位论文, 2018, 1-51. |
| [10] | 朱泓. 体质人类学[M]. 北京: 高等教育出版社, 2004, 92-106. |
| [11] | Tim D White, Pieter A Folkens. 人骨手册[M]. 杨天潼(译). 北京: 北京科学技术出版社, 2008, 379-402. |
| [12] | 吴汝康, 吴新智, 张振标. 人体测量方法[M]. 北京: 科学出版社, 1984, 11-86. |
| [13] | 邵象清. 人体测量手册[M]. 上海: 上海辞书出版社, 1985, 57-132. |
| [14] | 杨希枚. 卅年来关于殷墟头骨及殷代民族种系的研究[M]. 北京: 文物出版社, 1985, 6-20. |
| [15] | 杨希枚. 河南安阳殷墟墓葬中人体骨骼的整理和研究[M]. 北京: 文物出版社, 1985, 21-49. |
| [16] | 薛薇. 统计分析与SPSS的应用[M]. 北京: 中国人民大学出版社, 2015, 129-134. |
| [17] |
Berry AC, Berry RJ. Epigenetic variation in the human cranium[J]. Journal of anatomy, 1967, 101: 361-379.
pmid: 4227311 |
| [18] | 赵永生. 甘肃临潭磨沟墓地人骨研究[D]. 吉林大学博士学位论文, 2013, 141-146. |
| [19] | 王令红. 华北人头骨非测量性状的观察[J]. 人类学学报, 1988, 7(1): 17-27. |
| [20] | 张银运. 人类头骨非测量性状述评[J]. 人类学学报, 1993, 12(4): 394-397. |
| [21] | 张建波, 巫新华, 李黎明, 等. 新疆于田流水墓地青铜时代人类颅骨的非连续性特征研究[J]. 人类学学报, 2011, 30(4): 379-404 |
| [22] | 李法军. 河北阳原姜家梁新石器时代人骨研究[M]. 北京: 科学出版社, 2018, 88-141. |
| [23] |
Dodo Y. A population study of the jugular foramen bridging of the human cranium[J]. American Journal of Physical Anthropology, 1986, 69(1): 15-19.
doi: 10.1002/ajpa.1330690104 pmid: 3946593 |
| [24] | Ossenberg NS. Discontinuous morphological variation in the human cranium[D]. University of Toronto, 1969 |
| [25] | 王令红, 孙凤喈. 太原地区现代人头骨的研究[J]. 人类学学报, 1988, 7(3): 206-214. |
| [26] | 潘其风, 韩康信. 柳湾墓地的人骨研究[A]. 青海柳湾[R]. 北京: 文物出版社, 1984, 261-303. |
| [27] | 贾莹. 山西浮山桥北及乡宁内阳垣先秦时期人骨研究[D]. 吉林大学博士学位论文, 2006, 98-126. |
| [28] | 原海兵. 殷墟中小墓人骨的综合研究[D]. 吉林大学博士学位论文, 2010, 117-146. |
| [29] | 张全超. 内蒙古和林格尔县新店子墓地人骨研究[D]. 吉林大学博士学位论文, 2005, 39-86. |
| [30] | 韩康信, 潘其风. 陕县庙底沟二期文化墓葬人骨的研究[J]. 考古学报, 1979(2): 255-272. |
| [31] | 李法军, 王明辉, 冯孟钦, 等. 鲤鱼墩新石器时代居民头骨的形态学分析[J]. 人类学学报, 2013, 32(3): 302-318. |
| [32] | 潘其风. 平洋墓葬人骨的研究[A]. 平洋墓葬[C]. 北京: 文物出版社, 1990, 211-212. |
| [33] | 朱泓. 游邀遗址夏代居民的人类学特征.忻州考古队编著. 忻州游邀考古[M].附录二. 北京: 科学出版社, 2004, 188-214. |
| [34] | 潘其风. 天马-曲村遗址西周墓地出土人骨的研究报告. 北京大学考古学系商周组,山西省考古研究所 天马曲村[M]. 北京: 科学出版社, 2000, 1138-1152. |
| [35] | 潘其风. 上马墓地出土人骨的初步研究.山西省考古研究所编著. 上马墓地[M]. 北京: 文物出版社, 1994, 398-483. |
| [36] | 潘其风. 侯马乔村墓地出土人骨的人类学研究.山西省考古研究所编著. 侯马乔村墓地[M]. 北京: 科学出版社, 2004, 1218-1299 |
| [37] | 王伟. 山西绛县衡水西周墓地人骨研究[D]. 吉林大学硕士学位论文, 2012, 63-83. |
| [38] | 郭林. 翼城大河口墓地出土人骨的初步研究[D]. 吉林大学硕士学位论文, 2015, 13-50. |
| [39] | 赵惠杰. 山西绛县雎村墓地人骨研究[D]. 吉林大学硕士学位论文, 2018, 30-53. |
| [40] | 王路思. 侯马公路货运枢纽中心虒祁墓地人骨研究[D]. 吉林大学硕士学位论文, 2014, 12-37. |
| [41] | 原海兵, 王晓毅, 朱泓. 山西省岢岚县窑子坡遗址战国至汉代颅骨的人类学研究[J]. 边疆考古研究, 2012(1):439-461. |
| [42] | 王昉. 陕西神木大保当汉代墓葬人骨再分析[D]. 吉林大学硕士学位论文, 2014, 10-36. |
| [43] | 韩巍. 陕西澄城良辅墓地汉代人骨研究[D]. 吉林大学硕士学位论文, 2006, 21-43. |
| [44] | 邓普迎. 陕西临潼新丰镇秦文化墓葬人骨研究[D]. 西北大学硕士学位论文, 2010, 16-23. |
| [45] | 朱泓. 扎赉诺尔汉代墓葬第三次发掘出土颅骨的初步研究[J]. 人类学学报, 1989, 8(2): 123-200. |
| [46] | 陈靓, 朱泓, 郑丽慧. 内蒙古东大井东汉时期鲜卑墓葬人骨研究[J]. 内蒙古文物考古, 2003(1): 77-86. |
| [47] | 潘其风, 韩康信. 东汉北方草原游牧民族人骨的研究[J]. 考古学报, 1982(1): 117-136. |
| [48] | 朱泓, 刘振陆. 朝阳魏晋时期鲜卑墓葬人骨研究[J]. 辽海文物学刊, 1996(2): 80-91. |
| [49] | 张全超, 周蜜. 内蒙古兴和县叭沟墓地汉魏时期鲜卑族人骨研究[A]. 边疆考古研究(第四辑)[C]. 北京: 科学出版社, 2005, 266-274. |
| [50] | 王蕾. 鲜卑拓跋部政权的建立及发展研究[D]. 重庆师范大学硕士学位论文, 2011, 4-10. |
| [51] | 王利华. 中国农业通史. 魏晋南北朝卷[M]. 北京: 中国农业出版社, 2009, 152-154. |
| [52] | 梁方仲. 中国历代户口、田地、田赋统计[M]. 上海: 上海人民出版社, 1980, 38-59. |
| [53] | 前田正名 日. 平城历史地理学研究[M]. 北京: 书目文献出版社, 1994, 23-85. |
| [54] | 侯亮亮, 古顺芳. 大同地区北魏居民生业经济的考古学观察[J]. 郑州大学学报(哲学社会科学版), 2018, 51(6): 115-157. |
| [55] | 宁立新. 山西省朔县赵十八庄一号汉墓[J]. 考古, 1988(5): 442-487. |
| [56] | 童子敬. 大同地名由来探析[J]. 中国地名, 2012(6): 46. |
| [57] | 山西省考古研究所. 大同南郊北魏墓群发掘简报[J]. 文物, 1992(8): 1-98. |
| [58] | 朱泓. 人种学上的匈奴、鲜卑与契丹[J]. 北方文物, 1994(2): 7-13. |
| [59] | 曹臣明. 平城附近鲜卑及北魏墓分布规律考[J]. 文物, 2016(5): 61-69. |
| [1] | 刘驷统, 顾万发, 吴倩, 周亚威. 河南双槐树遗址人群肱骨肌腱的起止点形变[J]. 人类学学报, 2024, 43(05): 757-766. |
| [2] | 李欣, 姜帅, 黄婷, 钟华, 温有锋. 内蒙古与新疆达斡尔族头面部特征比较[J]. 人类学学报, 2024, 43(04): 586-596. |
| [3] | 祝海歌, 乔辉, 杨晨, 管海娟, 张航, 文少卿, 夏斌, 谭婧泽. 中国汉族、回族、蒙古族、苗族和维吾尔族的牙齿形态[J]. 人类学学报, 2024, 43(04): 613-628. |
| [4] | 李海军, 姚雪纯, 翁敏洁, 杨筱雨. 人类鼻形态研究概述[J]. 人类学学报, 2024, 43(04): 687-700. |
| [5] | 贺乐天, 陈国科, 杨谊时. 甘肃五坝墓地人骨反映的史前人群变迁[J]. 人类学学报, 2024, 43(02): 247-258. |
| [6] | 叶梓琪, 何安益, 梁优, 李法军. 广西灰窑田史前遗址人类髌骨的形态变异[J]. 人类学学报, 2024, 43(02): 259-272. |
| [7] | 吴秀杰. 中更新世晚期许家窑人化石的研究进展[J]. 人类学学报, 2024, 43(01): 5-18. |
| [8] | 李海军, 杨筱雨, 赵钰洁. 人类颅骨厚度研究的概述与展望[J]. 人类学学报, 2023, 42(06): 827-841. |
| [9] | 刘武, 何嘉宁, 严毅, 张梓梁, 陈逸迎, 吴秀杰. 现代人群颅骨梨状孔区域的形态变异[J]. 人类学学报, 2023, 42(04): 445-457. |
| [10] | 孙蕾, 李彦桢, 武志江. 河南郑州站马屯遗址仰韶晚期人骨的颅面形态[J]. 人类学学报, 2023, 42(03): 331-341. |
| [11] | 李海军, 翁敏洁, 段琬琪, 刘力铭. 人类口唇部形态变异的研究进展[J]. 人类学学报, 2023, 42(01): 137-148. |
| [12] | 贺乐天, 王永强, 魏文斌. 新疆哈密拉甫却克墓地人的颅面部测量学特征[J]. 人类学学报, 2022, 41(06): 1017-1027. |
| [13] | 饶慧芸. 古蛋白质分析在东亚古人类演化中的应用前景[J]. 人类学学报, 2022, 41(06): 1083-1096. |
| [14] | 严毅, 赵昱浩, 吴秀杰. 近代人群头骨颞线的分型和变异[J]. 人类学学报, 2022, 41(05): 775-787. |
| [15] | 赵东月, 吕正, 邢福来, 苗轶飞, 陈靓. 统万城遗址出土人骨颅面测量性状[J]. 人类学学报, 2022, 41(05): 816-825. |
| 阅读次数 | ||||||
|
全文 |
|
|||||
|
摘要 |
|
|||||
京ICP证05002819号-3