人类学学报 ›› 2025, Vol. 44 ›› Issue (01): 66-77.doi: 10.16359/j.1000-3193/AAS.2024.0056cstr: 32091.14.j.1000-3193/AAS.2024.0056

• 研究论文 • 上一篇    下一篇

陕西洛川月家庄墓地人类颅骨的形态学

凌亮优1,2(), 孙战伟3, 李楠4, 成芷菡1,2, 冉智宇1,2, 何嘉宁1,2()   

  1. 1.北京大学考古文博学院,北京 100871
    2.北京大学中国考古学研究中心,北京 100871
    3.陕西省考古研究院,西安 710054
    4.国家文物局考古研究中心,北京 100013
  • 收稿日期:2023-07-13 修回日期:2024-02-19 出版日期:2025-02-15 发布日期:2025-02-13
  • 通讯作者: 何嘉宁,副教授,主要从事旧石器时代考古学、人类骨骼考古学研究。E-mail: hejianing@pku.edu.cn
  • 作者简介:凌亮优,博士研究生,主要从事人类骨骼考古学研究。E-mail: linglykg@163.com
  • 基金资助:
    东赵遗址出土人骨的生物考古学研究;平城与北魏丝绸之路与民族融合的科技考古研究(21-4-15-1400-107)

Skull morphology of the residents from the Yuejiazhuang cemetery in Luochuan, Shaanxi

LING Liangyou1,2(), SUN Zhanwei3, LI Nan4, CHENG Zhihan1,2, RAN Zhiyu1,2, HE Jianing1,2()   

  1. 1. School of Archaeology and Museology, Peking University, Beijing 100871
    2. Center for the Study of Chinese Archaeology, Peking University, Beijing 100871
    3. Shaanxi Provincial Institute of Archaeology, Xi’an 710054
    4. National Centre for Archaeology, Beijing 100013
  • Received:2023-07-13 Revised:2024-02-19 Online:2025-02-15 Published:2025-02-13

摘要:

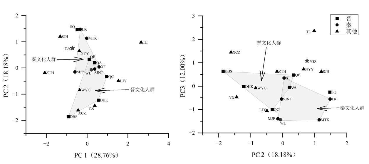
月家庄墓地位于陕西省洛川县月家庄村东南,该墓地共发掘363座战国中晚期墓葬,是目前陕西发现的、地理位置最北的、一处以秦文化为主的大型公共墓地。该墓地出土的141例颅骨表现为中颅、圆颅、高颅、阔面、狭额、中鼻、中眶等颅面特征。综合主成分分析和聚类分析,发现月家庄居民与蒙古人种东亚类型最为接近,与近现代中国东北居民也最为相似;与青铜时代人群相比,月家庄居民与关中秦人亲缘关系最为接近。多元统计分析表明,战国时期秦晋人群存在一定的颅骨形态差异。月家庄居民的主体遗传因素应主要来源于战国中晚期自关中地区迁入的秦人。月家庄墓地出土人骨的颅骨形态、文化因素与文献记载共同支持战国中晚期秦国向新地“徙民”以稳固统治。

关键词: 墓地, 秦人, 颅骨, 形态学

Abstract:

Located on the southern edge of the Loess Plateau in Shaanxi Province, the Yuejiazhuang cemetery stands out as the northernmost burial site for Qin residents and thus holds profound significance. In this research endeavor, the craniofacial traits of human skulls unearthed from this cemetery were meticulously analyzed by employing the methodologies delineated in the “Anthropometric Manual”. Through painstaking measurement and close observation of 141 skull specimens, we successfully deciphered the craniofacial morphology characteristic of the Yuejiazhuang inhabitants. The analytical outcomes disclosed a blend of medium and high cranial forms, narrow frontal aspects, medium to wide facial configurations, medium nasal shapes, as well as medium orbital features. Notwithstanding this discovery, the morphological analysis based on multivariate statistical techniques ascertained that the Yuejiazhuang residents were affiliated with the East Asian Mongolian ethnic group. Further comparative studies were conducted with individuals from the Bronze Age by means of principal component analysis and hierarchical cluster analysis. These investigations demonstrated that the Yuejiazhuang residents exhibited closer genetic affinities with those in the central Shaanxi Plain and more remote connections with their counterparts in southern Shanxi Province. Additionally, the multivariate statistical analysis hinted at the presence of specific cranial morphological discrepancies among the populations of the Qin and Jin regions during the Warring States period. Moreover, the flexed-burial customs and the accompanying grave goods discovered at the Yuejiazhuang cemetery vividly and typically mirrored the cultural elements of the Qin Dynasty. Historical records also attest that since the mid-Warring States period, the Qin state had frequently implemented population relocation policies, transplanting inhabitants to newly conquered areas to augment political governance. By integrating these elements, it can be deduced that the principal genetic constituents of the Yuejiazhuang residents predominantly stemmed from the Qin people who migrated from the Central Shaanxi Plain during the middle to late Warring States period. The Yuejiazhuang Cemetery offers invaluable perspectives into the cultural and genetic fabric of the Qin population throughout the Warring States era. Furthermore, the practice of flexed burials and the variety of artifacts interred with the deceased at Yuejiazhuang furnish additional corroboration for the historical accounts of Qin migration and resettlement strategies. These policies were presumably part of a more extensive blueprint designed to fortify Qin’s dominion over newly acquired lands by assimilating the local populace with Qin settlers, thereby safeguarding political and social stability. The genetic evidence gleaned from the Yuejiazhuang cemetery, when combined with archaeological and historical data, paints a comprehensive tableau of population migrations and cultural amalgamation during the Warring States period. It accentuates the pivotal role of state policies in molding the demographic panorama of ancient China, especially through the migration and settlement of Qin people from the central plains to peripheral regions. This synthesis of genetic, archaeological, and historical proof enriches our comprehension of the intricate social dynamics and interactions that typified the Warring States period, spotlighting the profound impact of migration on the cultural and genetic constitution of ancient Chinese populations.

Key words: cemetery, Qin residents, skull, morphology

中图分类号: