人类学学报 ›› 2024, Vol. 43 ›› Issue (04): 561-573.doi: 10.16359/j.1000-3193/AAS.2024.0051cstr: 32091.14.j.1000-3193/AAS.2024.0051
张兴华1(
), 肖瑶1, 岩坎翁2, 玉应香3, 高雯芳1, 包金萍4, 程智1, 高新颖1, 姚玥彤1, 刘鑫1, 宇克莉1(
)
收稿日期:2023-10-08
修回日期:2024-03-25
出版日期:2024-08-15
发布日期:2024-08-13
通讯作者:
宇克莉,教授,主要从事体质人类学研究。E-mail: hsxyykl@126.com作者简介:张兴华,高级实验师,主要从事体质人类学研究。E-mail: zxhwf1981@126.com
基金资助:
ZHANG Xinghua1(
), XIAO Yao1, YAN Kanweng2, YU Yingxiang3, GAO Wenfang1, BAO Jinping4, CHENG Zhi1, GAO Xinying1, YAO Yuetong1, LIU Xin1, YU Keli1(
)
Received:2023-10-08
Revised:2024-03-25
Online:2024-08-15
Published:2024-08-13
摘要:
研究组在云南省西双版纳测量、调查了曼咪人121例成年人的61项体质指标、20项体质指数与13项观察指标,研究结果显示:曼咪人身高、头长等56项指标值性别间差异具有统计学意义;除女性大腿围大于男性外,其余55项指标值均男性大于女性。曼咪人男女性上眼睑皱褶出现率男性为94.3%,女性为85.3%;蒙古褶率男性为28.3%,女性为33.8%。曼咪人眼外角多高于眼内角,鼻背侧面观以直型为主,耳垂多为圆形。曼咪人男女性均以圆头型、高头型、超阔面型、中鼻型、宽胸型、宽肩型、宽骨盆型出现率最高。与国内族群比较,曼咪人男女体质特征与布朗族、基诺族接近,属于南方族群体质特征。与国外族群比较,曼咪人男性头面部特征与泰国人最为接近,女性则与越南人最为接近。
中图分类号:
张兴华, 肖瑶, 岩坎翁, 玉应香, 高雯芳, 包金萍, 程智, 高新颖, 姚玥彤, 刘鑫, 宇克莉. 中国曼咪人的体质特征[J]. 人类学学报, 2024, 43(04): 561-573.
ZHANG Xinghua, XIAO Yao, YAN Kanweng, YU Yingxiang, GAO Wenfang, BAO Jinping, CHENG Zhi, GAO Xinying, YAO Yuetong, LIU Xin, YU Keli. Physical characteristics of the Manmi people in China[J]. Acta Anthropologica Sinica, 2024, 43(04): 561-573.
| 指标Parameter | 男性Male | 女性Female | t | p | |||
|---|---|---|---|---|---|---|---|
| 均值Mean | 标准差SD | 均值Mean | 标准差SD | ||||
| 头长Head length, la/mm | 185.8 | 6.8 | 175.7 | 5.4 | 9.197** | 0 | |
| 头宽Head breadth, ba/mm | 155.3 | 5.5 | 148.6 | 4.8 | 7.220** | 0 | |
| 额最小宽Minimum frontal breadth, bb/mm | 116.8 | 4.6 | 110.8 | 5.1 | 6.643** | 0 | |
| 面宽Face breadth, bc/mm | 142.5 | 6.2 | 134.1 | 5.9 | 7.587** | 0 | |
| 下颌角间宽Bigonial breadth, bd/mm | 113.2 | 6.6 | 106.8 | 6.6 | 5.255** | 0 | |
| 眼内角间宽Interocular breadth, be/mm | 35.2 | 2.8 | 34.9 | 3.3 | 0.396 | 0.693 | |
| 眼外角间宽External binocular breadth, bf/mm | 91.4 | 4.8 | 87.3 | 4.5 | 4.924** | 0 | |
| 鼻宽Nose breadth, bg/mm | 39.7 | 3.5 | 36.4 | 2.6 | 5.867** | 0 | |
| 口裂宽Mouth breadth, bh/mm | 55.2 | 3.9 | 51.0 | 4.0 | 5.748** | 0 | |
| 容貌面高Physiognomic facial height, ha/mm | 191.2 | 9.6 | 175.2 | 8.2 | 9.879** | 0 | |
| 形态面高Morphological facial height, hb/mm | 112.2 | 6.6 | 101.9 | 5.7 | 9.012** | 0 | |
| 鼻高Nasal height, hc/mm | 49.2 | 3.6 | 45.5 | 3.1 | 6.145** | 0 | |
| 鼻长Nasal length, lb/mm | 44.5 | 4.0 | 40.1 | 3.8 | 6.136** | 0 | |
| 鼻翼高Nasal alar height, hd/mm | 14.5 | 2.1 | 12.7 | 1.3 | 5.432** | 0 | |
| 鼻下颏点高Subnasale to gnathion distance, he/mm | 66.9 | 5.3 | 60.3 | 4.7 | 7.127** | 0 | |
| 上唇皮肤部高度Upper lip height, hf/mm | 15.8 | 2.9 | 14.9 | 2.8 | 1.760 | 0.081 | |
| 唇高Lip height, hg/mm | 20.3 | 4.3 | 17.9 | 4.2 | 3.189** | 0.002 | |
| 上红唇厚度Red lip thickness, hi/mm | 9.9 | 2.1 | 8.8 | 2.1 | 2.938** | 0.004 | |
| 容貌耳长Physiognomic ear length, lb/mm | 67.2 | 3.9 | 64.4 | 5.7 | 3.269** | 0.001 | |
| 容貌耳宽Physiognomic ear breadth, bi/mm | 35.2 | 2.5 | 33.0 | 2.6 | 4.673** | 0 | |
| 身高Stature, hj/mm | 1604.9 | 61.4 | 1489.1 | 56.7 | 10.752** | 0 | |
| 耳屏点高Tragion height, hk/mm | 1482.1 | 61.9 | 1369.6 | 57.2 | 10.356** | 0 | |
| 颏下点高Gnathion height, hl/mm | 1381.5 | 61.3 | 1276.5 | 54.8 | 9.924** | 0 | |
| 肩峰点高Acromion height, hm/mm | 1305.6 | 54.6 | 1209.4 | 50.9 | 9.993** | 0 | |
| 胸上点高Suprasternal height, hn/mm | 1302.1 | 53.6 | 1206.9 | 51.2 | 9.945** | 0 | |
| 桡骨点高Radiale height, ho/mm | 1007.9 | 44.2 | 943.3 | 39.3 | 8.486** | 0 | |
| 桡骨茎突点高Radiale stylion height, hp/mm | 776.9 | 37.2 | 727.4 | 36.5 | 7.347** | 0 | |
| 中指指尖点高Middle finger tip height, hq/mm | 601.1 | 31.8 | 565.0 | 33.1 | 6.050** | 0 | |
| 髂前上棘点高Iliospinale anterior height, hr/mm | 886.2 | 37.9 | 839.7 | 38.6 | 6.627** | 0 | |
| 胫骨上点高Tibial height, hs/mm | 423.9 | 20.9 | 389.5 | 19.1 | 9.412** | 0 | |
| 内踝下点高Height of foot, ht/mm | 61.3 | 5.3 | 53.2 | 5.0 | 8.549** | 0 | |
| 坐高Sitting height, hu/mm | 844.8 | 39.2 | 797.6 | 41.3 | 6.372** | 0 | |
| 肱骨内外上髁间径Biepicondylar breadth of humerus, bj/mm | 68.0 | 3.7 | 59.5 | 3.8 | 12.552** | 0 | |
| 股骨内外上髁间径Biepicondylar breadth of femur, bk/mm | 93.5 | 5.5 | 87.1 | 5.9 | 6.115** | 0 | |
| 足长Foot length, lc/mm | 244.1 | 11.7 | 222.7 | 9.5 | 11.163** | 0 | |
| 足宽Foot breadth, bl/mm | 102.8 | 5.9 | 93.5 | 5.7 | 8.743** | 0 | |
| 手宽Hand breadth, bm/mm | 86.2 | 3.1 | 77.4 | 3.3 | 14.993** | 0 | |
| 肩宽Shoulder breadth, bn/mm | 397.4 | 22.3 | 354.3 | 18.2 | 11.712** | 0 | |
| 骨盆宽Crista iliaca breadth, bo/mm | 289.1 | 18.5 | 289.1 | 17.5 | -0.001 | 0.999 | |
| 头水平围Head circumference, ca/mm | 550.8 | 15.9 | 535.2 | 14.9 | 5.552** | 0 | |
| 平静胸围Chest circumference, cb/mm | 892.5 | 76.4 | 844.4 | 83.0 | 3.274** | 0.001 | |
| 腰围Waist circumference, cc/mm | 797.0 | 102.0 | 741.9 | 93.6 | 3.090** | 0.002 | |
| 腹围Abdominal circumference, cd/mm | 835.1 | 102.4 | 793.5 | 98.8 | 2.260* | 0.026 | |
| 臀围Hip circumference, ce/mm | 925.9 | 84.6 | 927.0 | 104.6 | -0.060 | 0.952 | |
| 大腿围Thigh circumference, cf/mm | 472.0 | 58.9 | 515.1 | 69.2 | -3.621** | 0 | |
| 小腿围Calf circumference, cg/mm | 337.2 | 35.1 | 334.1 | 37.8 | 0.464 | 0.644 | |
| 上臂围Biceps circumference, ch/mm | 269.5 | 32.3 | 256.2 | 37.7 | 2.048* | 0.043 | |
| 上臂最大围Maximum biceps circumference, ci/mm | 303.6 | 37.3 | 281.4 | 40.9 | 3.081** | 0.003 | |
| 前臂围Maximum forearm circumference, cj/mm | 259.9 | 21.4 | 230.5 | 25.3 | 6.788** | 0 | |
| 耳上头高Auricular height, hv/mm | 122.8 | 7.2 | 119.4 | 5.6 | 2.890** | 0.005 | |
| 躯干前高Height of suprasteral notch above sitting plane, hw/mm | 542.0 | 32.7 | 515.4 | 38.0 | 4.050** | 0 | |
| 上肢全长Upper extremity length, ld/mm | 704.5 | 31.2 | 644.4 | 26.1 | 11.536** | 0 | |
| 下肢全长Lower extremity length, le/mm | 855.7 | 35.5 | 816.3 | 36.0 | 6.005** | 0 | |
| 全臂长Total arm length, lf/mm | 528.7 | 24.8 | 482.0 | 21.4 | 11.108** | 0 | |
| 上臂长Upper arm length, lg/mm | 297.7 | 14.9 | 266.1 | 18.9 | 9.996** | 0 | |
| 前臂长Forearm length, lh/mm | 231.0 | 16.2 | 215.9 | 14.2 | 5.467** | 0 | |
| 手长Hand length, li/mm | 175.8 | 11.1 | 162.4 | 10.6 | 6.746** | 0 | |
| 全腿长Total leg length, lj/mm | 792.0 | 34.0 | 755.0 | 36.6 | 5.675** | 0 | |
| 大腿长Thigh length, lk/mm | 430.0 | 27.4 | 418.7 | 27.2 | 2.272* | 0.025 | |
| 小腿长Leg length, ll/mm | 362.6 | 18.4 | 336.3 | 20.4 | 7.345** | 0 | |
| 体重Mass, m/kg | 61.1 | 12.9 | 53.7 | 12.9 | 3.123** | 0.002 | |
表1 中国曼咪人头面部、体部测量数据及其检验结果
Tab.1 The head, face and body parameters of Manmi adults
| 指标Parameter | 男性Male | 女性Female | t | p | |||
|---|---|---|---|---|---|---|---|
| 均值Mean | 标准差SD | 均值Mean | 标准差SD | ||||
| 头长Head length, la/mm | 185.8 | 6.8 | 175.7 | 5.4 | 9.197** | 0 | |
| 头宽Head breadth, ba/mm | 155.3 | 5.5 | 148.6 | 4.8 | 7.220** | 0 | |
| 额最小宽Minimum frontal breadth, bb/mm | 116.8 | 4.6 | 110.8 | 5.1 | 6.643** | 0 | |
| 面宽Face breadth, bc/mm | 142.5 | 6.2 | 134.1 | 5.9 | 7.587** | 0 | |
| 下颌角间宽Bigonial breadth, bd/mm | 113.2 | 6.6 | 106.8 | 6.6 | 5.255** | 0 | |
| 眼内角间宽Interocular breadth, be/mm | 35.2 | 2.8 | 34.9 | 3.3 | 0.396 | 0.693 | |
| 眼外角间宽External binocular breadth, bf/mm | 91.4 | 4.8 | 87.3 | 4.5 | 4.924** | 0 | |
| 鼻宽Nose breadth, bg/mm | 39.7 | 3.5 | 36.4 | 2.6 | 5.867** | 0 | |
| 口裂宽Mouth breadth, bh/mm | 55.2 | 3.9 | 51.0 | 4.0 | 5.748** | 0 | |
| 容貌面高Physiognomic facial height, ha/mm | 191.2 | 9.6 | 175.2 | 8.2 | 9.879** | 0 | |
| 形态面高Morphological facial height, hb/mm | 112.2 | 6.6 | 101.9 | 5.7 | 9.012** | 0 | |
| 鼻高Nasal height, hc/mm | 49.2 | 3.6 | 45.5 | 3.1 | 6.145** | 0 | |
| 鼻长Nasal length, lb/mm | 44.5 | 4.0 | 40.1 | 3.8 | 6.136** | 0 | |
| 鼻翼高Nasal alar height, hd/mm | 14.5 | 2.1 | 12.7 | 1.3 | 5.432** | 0 | |
| 鼻下颏点高Subnasale to gnathion distance, he/mm | 66.9 | 5.3 | 60.3 | 4.7 | 7.127** | 0 | |
| 上唇皮肤部高度Upper lip height, hf/mm | 15.8 | 2.9 | 14.9 | 2.8 | 1.760 | 0.081 | |
| 唇高Lip height, hg/mm | 20.3 | 4.3 | 17.9 | 4.2 | 3.189** | 0.002 | |
| 上红唇厚度Red lip thickness, hi/mm | 9.9 | 2.1 | 8.8 | 2.1 | 2.938** | 0.004 | |
| 容貌耳长Physiognomic ear length, lb/mm | 67.2 | 3.9 | 64.4 | 5.7 | 3.269** | 0.001 | |
| 容貌耳宽Physiognomic ear breadth, bi/mm | 35.2 | 2.5 | 33.0 | 2.6 | 4.673** | 0 | |
| 身高Stature, hj/mm | 1604.9 | 61.4 | 1489.1 | 56.7 | 10.752** | 0 | |
| 耳屏点高Tragion height, hk/mm | 1482.1 | 61.9 | 1369.6 | 57.2 | 10.356** | 0 | |
| 颏下点高Gnathion height, hl/mm | 1381.5 | 61.3 | 1276.5 | 54.8 | 9.924** | 0 | |
| 肩峰点高Acromion height, hm/mm | 1305.6 | 54.6 | 1209.4 | 50.9 | 9.993** | 0 | |
| 胸上点高Suprasternal height, hn/mm | 1302.1 | 53.6 | 1206.9 | 51.2 | 9.945** | 0 | |
| 桡骨点高Radiale height, ho/mm | 1007.9 | 44.2 | 943.3 | 39.3 | 8.486** | 0 | |
| 桡骨茎突点高Radiale stylion height, hp/mm | 776.9 | 37.2 | 727.4 | 36.5 | 7.347** | 0 | |
| 中指指尖点高Middle finger tip height, hq/mm | 601.1 | 31.8 | 565.0 | 33.1 | 6.050** | 0 | |
| 髂前上棘点高Iliospinale anterior height, hr/mm | 886.2 | 37.9 | 839.7 | 38.6 | 6.627** | 0 | |
| 胫骨上点高Tibial height, hs/mm | 423.9 | 20.9 | 389.5 | 19.1 | 9.412** | 0 | |
| 内踝下点高Height of foot, ht/mm | 61.3 | 5.3 | 53.2 | 5.0 | 8.549** | 0 | |
| 坐高Sitting height, hu/mm | 844.8 | 39.2 | 797.6 | 41.3 | 6.372** | 0 | |
| 肱骨内外上髁间径Biepicondylar breadth of humerus, bj/mm | 68.0 | 3.7 | 59.5 | 3.8 | 12.552** | 0 | |
| 股骨内外上髁间径Biepicondylar breadth of femur, bk/mm | 93.5 | 5.5 | 87.1 | 5.9 | 6.115** | 0 | |
| 足长Foot length, lc/mm | 244.1 | 11.7 | 222.7 | 9.5 | 11.163** | 0 | |
| 足宽Foot breadth, bl/mm | 102.8 | 5.9 | 93.5 | 5.7 | 8.743** | 0 | |
| 手宽Hand breadth, bm/mm | 86.2 | 3.1 | 77.4 | 3.3 | 14.993** | 0 | |
| 肩宽Shoulder breadth, bn/mm | 397.4 | 22.3 | 354.3 | 18.2 | 11.712** | 0 | |
| 骨盆宽Crista iliaca breadth, bo/mm | 289.1 | 18.5 | 289.1 | 17.5 | -0.001 | 0.999 | |
| 头水平围Head circumference, ca/mm | 550.8 | 15.9 | 535.2 | 14.9 | 5.552** | 0 | |
| 平静胸围Chest circumference, cb/mm | 892.5 | 76.4 | 844.4 | 83.0 | 3.274** | 0.001 | |
| 腰围Waist circumference, cc/mm | 797.0 | 102.0 | 741.9 | 93.6 | 3.090** | 0.002 | |
| 腹围Abdominal circumference, cd/mm | 835.1 | 102.4 | 793.5 | 98.8 | 2.260* | 0.026 | |
| 臀围Hip circumference, ce/mm | 925.9 | 84.6 | 927.0 | 104.6 | -0.060 | 0.952 | |
| 大腿围Thigh circumference, cf/mm | 472.0 | 58.9 | 515.1 | 69.2 | -3.621** | 0 | |
| 小腿围Calf circumference, cg/mm | 337.2 | 35.1 | 334.1 | 37.8 | 0.464 | 0.644 | |
| 上臂围Biceps circumference, ch/mm | 269.5 | 32.3 | 256.2 | 37.7 | 2.048* | 0.043 | |
| 上臂最大围Maximum biceps circumference, ci/mm | 303.6 | 37.3 | 281.4 | 40.9 | 3.081** | 0.003 | |
| 前臂围Maximum forearm circumference, cj/mm | 259.9 | 21.4 | 230.5 | 25.3 | 6.788** | 0 | |
| 耳上头高Auricular height, hv/mm | 122.8 | 7.2 | 119.4 | 5.6 | 2.890** | 0.005 | |
| 躯干前高Height of suprasteral notch above sitting plane, hw/mm | 542.0 | 32.7 | 515.4 | 38.0 | 4.050** | 0 | |
| 上肢全长Upper extremity length, ld/mm | 704.5 | 31.2 | 644.4 | 26.1 | 11.536** | 0 | |
| 下肢全长Lower extremity length, le/mm | 855.7 | 35.5 | 816.3 | 36.0 | 6.005** | 0 | |
| 全臂长Total arm length, lf/mm | 528.7 | 24.8 | 482.0 | 21.4 | 11.108** | 0 | |
| 上臂长Upper arm length, lg/mm | 297.7 | 14.9 | 266.1 | 18.9 | 9.996** | 0 | |
| 前臂长Forearm length, lh/mm | 231.0 | 16.2 | 215.9 | 14.2 | 5.467** | 0 | |
| 手长Hand length, li/mm | 175.8 | 11.1 | 162.4 | 10.6 | 6.746** | 0 | |
| 全腿长Total leg length, lj/mm | 792.0 | 34.0 | 755.0 | 36.6 | 5.675** | 0 | |
| 大腿长Thigh length, lk/mm | 430.0 | 27.4 | 418.7 | 27.2 | 2.272* | 0.025 | |
| 小腿长Leg length, ll/mm | 362.6 | 18.4 | 336.3 | 20.4 | 7.345** | 0 | |
| 体重Mass, m/kg | 61.1 | 12.9 | 53.7 | 12.9 | 3.123** | 0.002 | |
| 指数Index | 男Male | 女Female | t | p | |||
|---|---|---|---|---|---|---|---|
| 均值Mean | 标准差SD | 均值Mean | 标准差SD | ||||
| 头长宽指数Length-breadth index of head, ia | 83.7 | 3.9 | 84.6 | 3.9 | -1.326 | 0.187 | |
| 头长高指数Length-height index of head, ib | 66.2 | 4.5 | 68.0 | 3.5 | -2.551* | 0.012 | |
| 头宽高指数Breadth-height index of head, ic | 79.1 | 4.2 | 80.4 | 4.1 | -1.796 | 0.075 | |
| 额顶宽指数Transverse frontoparietal index, id | 75.2 | 2.3 | 74.6 | 2.9 | 1.198 | 0.233 | |
| 容貌面指数Physiognomic facial index, ie | 134.4 | 7.9 | 130.9 | 8.7 | 2.256* | 0.026 | |
| 形态面指数Morphological facial index, if | 78.8 | 5.0 | 76.1 | 5.3 | 2.852** | 0.005 | |
| 头面宽指数Transverse cephalo-fcaial index, ig | 91.8 | 3.3 | 90.3 | 3.3 | 2.480* | 0.015 | |
| 头面高指数Vertical cephalo-fcaial index, ih | 91.7 | 7.3 | 85.5 | 5.9 | 5.117** | 0 | |
| 颧额宽指数Zygomatic frontal index, ii | 82.0 | 2.5 | 82.7 | 2.6 | -1.454 | 0.149 | |
| 鼻指数Nasal index, ij | 81.0 | 8.6 | 80.2 | 7.3 | 0.517 | 0.606 | |
| 口指数Lip index, ik | 37.0 | 8.3 | 35.2 | 8.8 | 1.117 | 0.266 | |
| 容貌耳指数Physiognomic index of ear, il | 52.4 | 3.6 | 51.5 | 4.5 | 1.245 | 0.216 | |
| 身高坐高指数Stature-sitting height index, im | 52.6 | 1.5 | 53.6 | 1.7 | -3.077** | 0.003 | |
| 身高体重指数Stature-weight index, in | 379.2 | 72.9 | 359.3 | 79.3 | 1.418 | 0.159 | |
| 身高胸围指数Stature-chest circumference index, io | 55.6 | 4.5 | 56.7 | 5.1 | -1.214 | 0.227 | |
| 身高肩宽指数Stature-shoulder breadth index, ip | 24.8 | 1.0 | 23.8 | 0.9 | 5.461** | 0 | |
| 身高骨盆宽指数Stature-crista iliaca index, iq | 18.0 | 1.1 | 19.4 | 1.0 | -7.031** | 0 | |
| 身高躯干前高指数Stature-height of suprasteral notch above sitting plane index, ir | 33.8 | 1.5 | 34.6 | 1.9 | -2.672** | 0.009 | |
| 肩宽骨盆宽指数Acromio-cristal index, is | 72.9 | 4.8 | 81.7 | 4.3 | -10.641** | 0 | |
| 马氏躯干腿长指数Manouvrier's skelic index, it | 90.1 | 5.4 | 86.9 | 6.1 | 3.026** | 0.003 | |
表2 中国曼咪人头面部与体部指数
Tab.2 The head, face and body indices of Manmi adults
| 指数Index | 男Male | 女Female | t | p | |||
|---|---|---|---|---|---|---|---|
| 均值Mean | 标准差SD | 均值Mean | 标准差SD | ||||
| 头长宽指数Length-breadth index of head, ia | 83.7 | 3.9 | 84.6 | 3.9 | -1.326 | 0.187 | |
| 头长高指数Length-height index of head, ib | 66.2 | 4.5 | 68.0 | 3.5 | -2.551* | 0.012 | |
| 头宽高指数Breadth-height index of head, ic | 79.1 | 4.2 | 80.4 | 4.1 | -1.796 | 0.075 | |
| 额顶宽指数Transverse frontoparietal index, id | 75.2 | 2.3 | 74.6 | 2.9 | 1.198 | 0.233 | |
| 容貌面指数Physiognomic facial index, ie | 134.4 | 7.9 | 130.9 | 8.7 | 2.256* | 0.026 | |
| 形态面指数Morphological facial index, if | 78.8 | 5.0 | 76.1 | 5.3 | 2.852** | 0.005 | |
| 头面宽指数Transverse cephalo-fcaial index, ig | 91.8 | 3.3 | 90.3 | 3.3 | 2.480* | 0.015 | |
| 头面高指数Vertical cephalo-fcaial index, ih | 91.7 | 7.3 | 85.5 | 5.9 | 5.117** | 0 | |
| 颧额宽指数Zygomatic frontal index, ii | 82.0 | 2.5 | 82.7 | 2.6 | -1.454 | 0.149 | |
| 鼻指数Nasal index, ij | 81.0 | 8.6 | 80.2 | 7.3 | 0.517 | 0.606 | |
| 口指数Lip index, ik | 37.0 | 8.3 | 35.2 | 8.8 | 1.117 | 0.266 | |
| 容貌耳指数Physiognomic index of ear, il | 52.4 | 3.6 | 51.5 | 4.5 | 1.245 | 0.216 | |
| 身高坐高指数Stature-sitting height index, im | 52.6 | 1.5 | 53.6 | 1.7 | -3.077** | 0.003 | |
| 身高体重指数Stature-weight index, in | 379.2 | 72.9 | 359.3 | 79.3 | 1.418 | 0.159 | |
| 身高胸围指数Stature-chest circumference index, io | 55.6 | 4.5 | 56.7 | 5.1 | -1.214 | 0.227 | |
| 身高肩宽指数Stature-shoulder breadth index, ip | 24.8 | 1.0 | 23.8 | 0.9 | 5.461** | 0 | |
| 身高骨盆宽指数Stature-crista iliaca index, iq | 18.0 | 1.1 | 19.4 | 1.0 | -7.031** | 0 | |
| 身高躯干前高指数Stature-height of suprasteral notch above sitting plane index, ir | 33.8 | 1.5 | 34.6 | 1.9 | -2.672** | 0.009 | |
| 肩宽骨盆宽指数Acromio-cristal index, is | 72.9 | 4.8 | 81.7 | 4.3 | -10.641** | 0 | |
| 马氏躯干腿长指数Manouvrier's skelic index, it | 90.1 | 5.4 | 86.9 | 6.1 | 3.026** | 0.003 | |
| 观察指标Somatoscopic characteristics | 类型Types | 男Male | 女Female | 卡方值Chi square value | p | |||
|---|---|---|---|---|---|---|---|---|
| n | % | n | % | |||||
| 头发Hair | 直发lissotrichous | 50 | 94.3% | 68 | 100.0% | 3.947* | 0.047 | |
| 波发kymatotrichous | 3 | 5.7% | 0 | 0.0% | ||||
| 上眼睑皱褶 Eyefold of upper eyelid | 无No phenotype | 3 | 5.7% | 10 | 14.7% | 2.541 | 0.111 | |
| 有phenotypic | 50 | 94.3% | 58 | 85.3% | ||||
| 蒙古褶 Mongoloid fold | 无No phenotype | 38 | 71.7% | 45 | 66.2% | 0.422 | 0.516 | |
| 有phenotypic | 15 | 28.3% | 23 | 33.8% | ||||
| 眼裂高度 Opening height of eyeslits | 较宽 wide | 9 | 17.0% | 6 | 8.8% | 7.261* | 0.027 | |
| 中等 middle | 41 | 77.4% | 47 | 69.1% | ||||
| 狭窄 narrow | 3 | 5.7% | 15 | 22.1% | ||||
| 眼裂倾斜度 Direction of eyeslits | 内角高internal angle | 1 | 1.9% | 0 | 0.0% | 1.316 | 0.518 | |
| 水平middle | 5 | 9.4% | 6 | 8.8% | ||||
| 外角高external angle | 47 | 88.7% | 62 | 91.2% | ||||
| 鼻根高度 Nasal root height | 低平low | 2 | 3.8% | 4 | 5.9% | 11.987** | 0.002 | |
| 中等middle | 37 | 69.8% | 61 | 89.7% | ||||
| 较高high | 14 | 26.4% | 3 | 4.4% | ||||
| 鼻背侧面观 Nasal profile | 凹型concave | 3 | 5.7% | 12 | 17.6% | 6.251* | 0.044 | |
| 直型straight | 37 | 69.8% | 48 | 70.6% | ||||
| 凸型protruding | 13 | 24.5% | 8 | 11.8% | ||||
| 鼻基部 Nasal base | 上翘upturned | 33 | 62.3% | 46 | 67.6% | 0.381 | 0.537 | |
| 水平 level | 20 | 37.7% | 22 | 32.4% | ||||
| 鼻孔最大径 Maximal diameter of nostrils | 横 transverse | 1 | 1.9% | 4 | 5.9% | 1.200 | 0.273 | |
| 斜oblique | 52 | 98.1% | 64 | 94.1% | ||||
| 耳垂类型 Lobe types | 方形square | 3 | 5.7% | 5 | 7.4% | 0.592 | 0.744 | |
| 三角形triangle | 13 | 24.5% | 13 | 19.1% | ||||
| 圆形round | 37 | 69.8% | 50 | 73.5% | ||||
| 下颏类型 Type of chin | 后斜型oblique | 15 | 28.3% | 13 | 19.1% | 3.148 | 0.207 | |
| 凸型protruding | 4 | 7.5% | 2 | 2.9% | ||||
| 直型straight | 34 | 64.2% | 53 | 77.9% | ||||
| 上唇皮肤部高度 Upper lip height | 低low | 3 | 5.7% | 3 | 4.4% | 1.313 | 0.519 | |
| 中等middle | 44 | 83.0% | 61 | 89.7% | ||||
| 高high | 6 | 11.3% | 4 | 5.9% | ||||
| 上红唇厚度 Thickness of lips | 薄唇thin | 8 | 15.1% | 18 | 26.5% | 9.822** | 0.007 | |
| 中唇middle | 21 | 39.6% | 37 | 54.4% | ||||
| 厚唇thick | 24 | 45.3% | 13 | 19.1% | ||||
表3 中国曼咪人观察指标出现率
Tab.3 The somatoscopic characteristics of Manmi adults
| 观察指标Somatoscopic characteristics | 类型Types | 男Male | 女Female | 卡方值Chi square value | p | |||
|---|---|---|---|---|---|---|---|---|
| n | % | n | % | |||||
| 头发Hair | 直发lissotrichous | 50 | 94.3% | 68 | 100.0% | 3.947* | 0.047 | |
| 波发kymatotrichous | 3 | 5.7% | 0 | 0.0% | ||||
| 上眼睑皱褶 Eyefold of upper eyelid | 无No phenotype | 3 | 5.7% | 10 | 14.7% | 2.541 | 0.111 | |
| 有phenotypic | 50 | 94.3% | 58 | 85.3% | ||||
| 蒙古褶 Mongoloid fold | 无No phenotype | 38 | 71.7% | 45 | 66.2% | 0.422 | 0.516 | |
| 有phenotypic | 15 | 28.3% | 23 | 33.8% | ||||
| 眼裂高度 Opening height of eyeslits | 较宽 wide | 9 | 17.0% | 6 | 8.8% | 7.261* | 0.027 | |
| 中等 middle | 41 | 77.4% | 47 | 69.1% | ||||
| 狭窄 narrow | 3 | 5.7% | 15 | 22.1% | ||||
| 眼裂倾斜度 Direction of eyeslits | 内角高internal angle | 1 | 1.9% | 0 | 0.0% | 1.316 | 0.518 | |
| 水平middle | 5 | 9.4% | 6 | 8.8% | ||||
| 外角高external angle | 47 | 88.7% | 62 | 91.2% | ||||
| 鼻根高度 Nasal root height | 低平low | 2 | 3.8% | 4 | 5.9% | 11.987** | 0.002 | |
| 中等middle | 37 | 69.8% | 61 | 89.7% | ||||
| 较高high | 14 | 26.4% | 3 | 4.4% | ||||
| 鼻背侧面观 Nasal profile | 凹型concave | 3 | 5.7% | 12 | 17.6% | 6.251* | 0.044 | |
| 直型straight | 37 | 69.8% | 48 | 70.6% | ||||
| 凸型protruding | 13 | 24.5% | 8 | 11.8% | ||||
| 鼻基部 Nasal base | 上翘upturned | 33 | 62.3% | 46 | 67.6% | 0.381 | 0.537 | |
| 水平 level | 20 | 37.7% | 22 | 32.4% | ||||
| 鼻孔最大径 Maximal diameter of nostrils | 横 transverse | 1 | 1.9% | 4 | 5.9% | 1.200 | 0.273 | |
| 斜oblique | 52 | 98.1% | 64 | 94.1% | ||||
| 耳垂类型 Lobe types | 方形square | 3 | 5.7% | 5 | 7.4% | 0.592 | 0.744 | |
| 三角形triangle | 13 | 24.5% | 13 | 19.1% | ||||
| 圆形round | 37 | 69.8% | 50 | 73.5% | ||||
| 下颏类型 Type of chin | 后斜型oblique | 15 | 28.3% | 13 | 19.1% | 3.148 | 0.207 | |
| 凸型protruding | 4 | 7.5% | 2 | 2.9% | ||||
| 直型straight | 34 | 64.2% | 53 | 77.9% | ||||
| 上唇皮肤部高度 Upper lip height | 低low | 3 | 5.7% | 3 | 4.4% | 1.313 | 0.519 | |
| 中等middle | 44 | 83.0% | 61 | 89.7% | ||||
| 高high | 6 | 11.3% | 4 | 5.9% | ||||
| 上红唇厚度 Thickness of lips | 薄唇thin | 8 | 15.1% | 18 | 26.5% | 9.822** | 0.007 | |
| 中唇middle | 21 | 39.6% | 37 | 54.4% | ||||
| 厚唇thick | 24 | 45.3% | 13 | 19.1% | ||||
| 指数Index | 类型(分类范围)Types(Classification scope) | 男Male | 女Female | 卡方值Chi square value | p | |||
|---|---|---|---|---|---|---|---|---|
| n | % | n | % | |||||
| 头长宽指数Length-breadth index of head, ia | 长头型 Dolichocephaly (71.0-75.9) | 0 | 0.0% | 1 | 1.5% | 2.884 | 0.577 | |
| 中头型 Mesocephaly (76.0-80.9) | 13 | 24.5% | 10 | 14.7% | ||||
| 圆头型 Brachycephaly (81.0-85.4) | 22 | 41.5% | 30 | 44.1% | ||||
| 特圆头型 Hyperbrachycephaly (85.5-90.9) | 15 | 28.3% | 24 | 35.3% | ||||
| 超圆头型 Ultrabrachycephaly (≥91.0) | 3 | 5.7% | 3 | 4.4% | ||||
| 头长高指数Length-height index of head, ib | 低头型 Chamaecephalic (≤57.6) | 1 | 1.9% | 0 | 0.0% | 3.257 | 0.196 | |
| 正头型 Orthocephalic (57.7-62.5) | 8 | 15.1% | 5 | 7.4% | ||||
| 高头型 Hypsicephalic (≥62.6) | 44 | 83.0% | 63 | 92.6% | ||||
| 头宽高指数Breadth-height index of head, ic | 阔头型 Tapeinocephalic (≤78.9) | 26 | 49.1% | 28 | 41.2% | 2.692 | 0.260 | |
| 中头型 Metriocephalic (79.0-84.9) | 24 | 45.3% | 30 | 44.1% | ||||
| 狭头型 Acrocephalic (≥85.0) | 3 | 5.7% | 10 | 14.7% | ||||
| 形态面指数Morphological facial index, if | 超阔面型 Hypereuryprosopy (male≤78.9,female≤76.9) | 28 | 52.8% | 36 | 52.9% | 6.430 | 0.092 | |
| 阔面型 Euryprosopy (male79.0-83.9, female77.0-80.9) | 12 | 22.7% | 20 | 29.4% | ||||
| 中面型 Mesoprosopy (male84.0-87.9,female81.0-84.9) | 13 | 24.5% | 8 | 11.8% | ||||
| 狭面型 Leptoprosopy (male88.0-92.9, female85.0-89.9) | 0 | 0.0% | 4 | 5.9% | ||||
| 鼻指数Nasal index, ij | 狭鼻型 Leptorrhiny (55.0-69.9) | 3 | 5.7% | 5 | 7.4% | 1.544 | 0.672 | |
| 中鼻型 Mesorrhiny (70.0-84.9) | 35 | 66.0% | 43 | 63.2% | ||||
| 阔鼻型 Platyrrhiny (85.0-99.9) | 14 | 26.4% | 20 | 29.4% | ||||
| 超阔鼻型 Hyperplatyrrhiny (100.0-114.9) | 1 | 1.9% | 0 | 0.0% | ||||
| 身高坐高指数Stature-sitting height index, im | 短躯干型 Short trunk (male≤50.9, female≤51.9) | 9 | 17.0% | 12 | 17.6% | 1.933 | 0.380 | |
| 中躯干型 Medium trunk (male51.0-53.0, female52.0-54.0) | 25 | 47.2% | 24 | 35.3% | ||||
| 长躯干型 Long trunk (male≥53.1, female≥54.1) | 19 | 35.8% | 32 | 47.1% | ||||
| 马氏躯干腿长指数Manouvrier's skelic index, it | 短腿型 Brachyskelic (75.0-79.9) | 1 | 1.9% | 7 | 10.3% | 10.665 | 0.058 | |
| 亚短腿型 Subbrachyskelic (80.0-84.9) | 11 | 20.8% | 24 | 35.3% | ||||
| 中腿型 Mesatiskelic (85.0-89.9) | 14 | 26.4% | 14 | 20.6% | ||||
| 亚长腿型 Submakroskelic (90.0-94.9) | 15 | 28.3% | 16 | 23.5% | ||||
| 长腿型 Makroskelic (95.0-99.9) | 12 | 22.6% | 6 | 8.8% | ||||
| 超长腿型 Hypermakroskelic(≥100.0) | 0 | 0.0% | 1 | 1.5% | ||||
| 身高胸围指数 Stature-chest circumference index, io | 窄胸型 Narrow chest(<51) | 9 | 17.0% | 6 | 8.8% | 2.509 | 0.285 | |
| 中胸型 Middle chest(51-56) | 17 | 32.1% | 29 | 42.6% | ||||
| 宽胸型 Wide chest(>56) | 27 | 50.9% | 33 | 48.5% | ||||
| 身高肩宽指数Stature-shoulder breadth index, ip | 中肩型 Mediun shoulder (male22.0-23.0, female21.5-22.5) | 1 | 1.9% | 5 | 7.4% | 1.888 | 0.169 | |
| 宽肩型 Wide shoulder (male≥23.1, female≥22.6) | 52 | 98.1% | 63 | 92.6% | ||||
| 身高骨盆宽指数Stature-crista iliaca index, iq | 窄骨盆型 Narrow crista iliaca (male≤16.4, female≤17.4) | 5 | 9.4% | 1 | 1.5% | 5.579 | 0.061 | |
| 中骨盆型 Medium crista iliaca (male16.5-17.5, female17.5-18.5) | 15 | 28.3% | 14 | 20.6% | ||||
| 宽骨盆型 Wide crista iliaca (male≥17.6, female≥18.6) | 33 | 62.3% | 53 | 77.9% | ||||
| 身高类型Stature type | 很矮 Very short (male≤1499, female≤1399) | 4 | 7.5% | 4 | 5.9% | 6.921 | 0.227 | |
| 矮 Short (male1500-1599, female1400-1489) | 17 | 32.1% | 34 | 50.0% | ||||
| 亚中等 Sub-medium (male1600-1639, female1490-1529) | 17 | 32.1% | 13 | 19.1% | ||||
| 中等 Medium (male1640-1669, female1530-1559) | 8 | 15.1% | 11 | 16.2% | ||||
| 超中等 Ultra-medium (male1670-1699, female1560-1589) | 6 | 11.3% | 3 | 4.4% | ||||
| 高 Tall (male1700-1799, female1590-1679) | 1 | 1.9% | 3 | 4.4% | ||||
表4 中国曼咪人头面部指数、体部指数及身高分型结果
Tab.4 Classification of the indices of head, face, body and stature of Manmi adults
| 指数Index | 类型(分类范围)Types(Classification scope) | 男Male | 女Female | 卡方值Chi square value | p | |||
|---|---|---|---|---|---|---|---|---|
| n | % | n | % | |||||
| 头长宽指数Length-breadth index of head, ia | 长头型 Dolichocephaly (71.0-75.9) | 0 | 0.0% | 1 | 1.5% | 2.884 | 0.577 | |
| 中头型 Mesocephaly (76.0-80.9) | 13 | 24.5% | 10 | 14.7% | ||||
| 圆头型 Brachycephaly (81.0-85.4) | 22 | 41.5% | 30 | 44.1% | ||||
| 特圆头型 Hyperbrachycephaly (85.5-90.9) | 15 | 28.3% | 24 | 35.3% | ||||
| 超圆头型 Ultrabrachycephaly (≥91.0) | 3 | 5.7% | 3 | 4.4% | ||||
| 头长高指数Length-height index of head, ib | 低头型 Chamaecephalic (≤57.6) | 1 | 1.9% | 0 | 0.0% | 3.257 | 0.196 | |
| 正头型 Orthocephalic (57.7-62.5) | 8 | 15.1% | 5 | 7.4% | ||||
| 高头型 Hypsicephalic (≥62.6) | 44 | 83.0% | 63 | 92.6% | ||||
| 头宽高指数Breadth-height index of head, ic | 阔头型 Tapeinocephalic (≤78.9) | 26 | 49.1% | 28 | 41.2% | 2.692 | 0.260 | |
| 中头型 Metriocephalic (79.0-84.9) | 24 | 45.3% | 30 | 44.1% | ||||
| 狭头型 Acrocephalic (≥85.0) | 3 | 5.7% | 10 | 14.7% | ||||
| 形态面指数Morphological facial index, if | 超阔面型 Hypereuryprosopy (male≤78.9,female≤76.9) | 28 | 52.8% | 36 | 52.9% | 6.430 | 0.092 | |
| 阔面型 Euryprosopy (male79.0-83.9, female77.0-80.9) | 12 | 22.7% | 20 | 29.4% | ||||
| 中面型 Mesoprosopy (male84.0-87.9,female81.0-84.9) | 13 | 24.5% | 8 | 11.8% | ||||
| 狭面型 Leptoprosopy (male88.0-92.9, female85.0-89.9) | 0 | 0.0% | 4 | 5.9% | ||||
| 鼻指数Nasal index, ij | 狭鼻型 Leptorrhiny (55.0-69.9) | 3 | 5.7% | 5 | 7.4% | 1.544 | 0.672 | |
| 中鼻型 Mesorrhiny (70.0-84.9) | 35 | 66.0% | 43 | 63.2% | ||||
| 阔鼻型 Platyrrhiny (85.0-99.9) | 14 | 26.4% | 20 | 29.4% | ||||
| 超阔鼻型 Hyperplatyrrhiny (100.0-114.9) | 1 | 1.9% | 0 | 0.0% | ||||
| 身高坐高指数Stature-sitting height index, im | 短躯干型 Short trunk (male≤50.9, female≤51.9) | 9 | 17.0% | 12 | 17.6% | 1.933 | 0.380 | |
| 中躯干型 Medium trunk (male51.0-53.0, female52.0-54.0) | 25 | 47.2% | 24 | 35.3% | ||||
| 长躯干型 Long trunk (male≥53.1, female≥54.1) | 19 | 35.8% | 32 | 47.1% | ||||
| 马氏躯干腿长指数Manouvrier's skelic index, it | 短腿型 Brachyskelic (75.0-79.9) | 1 | 1.9% | 7 | 10.3% | 10.665 | 0.058 | |
| 亚短腿型 Subbrachyskelic (80.0-84.9) | 11 | 20.8% | 24 | 35.3% | ||||
| 中腿型 Mesatiskelic (85.0-89.9) | 14 | 26.4% | 14 | 20.6% | ||||
| 亚长腿型 Submakroskelic (90.0-94.9) | 15 | 28.3% | 16 | 23.5% | ||||
| 长腿型 Makroskelic (95.0-99.9) | 12 | 22.6% | 6 | 8.8% | ||||
| 超长腿型 Hypermakroskelic(≥100.0) | 0 | 0.0% | 1 | 1.5% | ||||
| 身高胸围指数 Stature-chest circumference index, io | 窄胸型 Narrow chest(<51) | 9 | 17.0% | 6 | 8.8% | 2.509 | 0.285 | |
| 中胸型 Middle chest(51-56) | 17 | 32.1% | 29 | 42.6% | ||||
| 宽胸型 Wide chest(>56) | 27 | 50.9% | 33 | 48.5% | ||||
| 身高肩宽指数Stature-shoulder breadth index, ip | 中肩型 Mediun shoulder (male22.0-23.0, female21.5-22.5) | 1 | 1.9% | 5 | 7.4% | 1.888 | 0.169 | |
| 宽肩型 Wide shoulder (male≥23.1, female≥22.6) | 52 | 98.1% | 63 | 92.6% | ||||
| 身高骨盆宽指数Stature-crista iliaca index, iq | 窄骨盆型 Narrow crista iliaca (male≤16.4, female≤17.4) | 5 | 9.4% | 1 | 1.5% | 5.579 | 0.061 | |
| 中骨盆型 Medium crista iliaca (male16.5-17.5, female17.5-18.5) | 15 | 28.3% | 14 | 20.6% | ||||
| 宽骨盆型 Wide crista iliaca (male≥17.6, female≥18.6) | 33 | 62.3% | 53 | 77.9% | ||||
| 身高类型Stature type | 很矮 Very short (male≤1499, female≤1399) | 4 | 7.5% | 4 | 5.9% | 6.921 | 0.227 | |
| 矮 Short (male1500-1599, female1400-1489) | 17 | 32.1% | 34 | 50.0% | ||||
| 亚中等 Sub-medium (male1600-1639, female1490-1529) | 17 | 32.1% | 13 | 19.1% | ||||
| 中等 Medium (male1640-1669, female1530-1559) | 8 | 15.1% | 11 | 16.2% | ||||
| 超中等 Ultra-medium (male1670-1699, female1560-1589) | 6 | 11.3% | 3 | 4.4% | ||||
| 高 Tall (male1700-1799, female1590-1679) | 1 | 1.9% | 3 | 4.4% | ||||
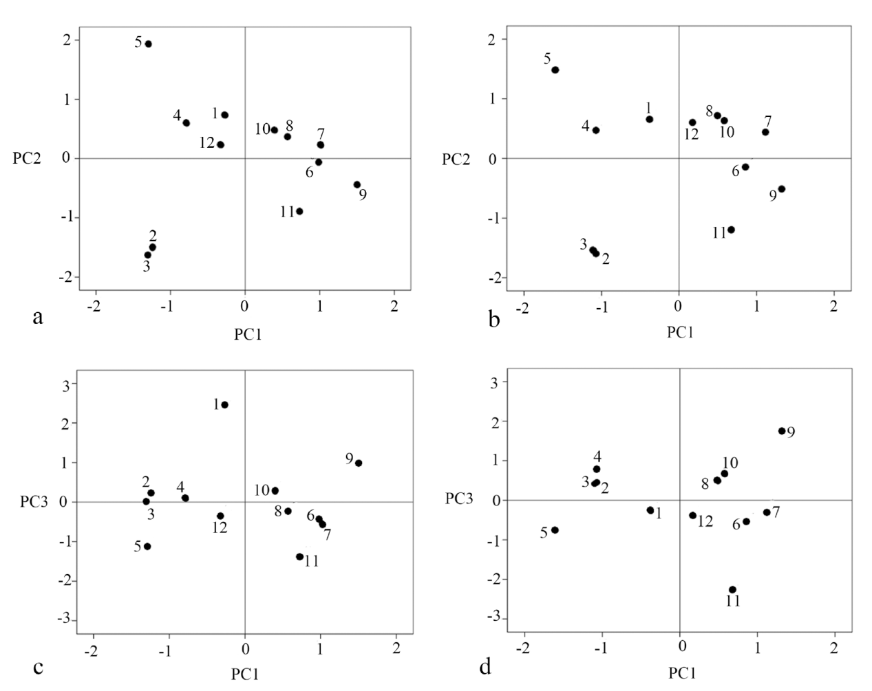
图2 曼咪人与国内11个族群的主成分分析 a & c. 男性Male; b & d. 女性Female; 1.曼咪人Manmi;2.布朗族Blang;3.基诺族Jino;4.佤族Wa;5.德昂族Deang;6.蒙古族Mongol;7.北方汉族Northern Han;8.南方汉族Southern Han;9.藏族Zang;10.彝族Yi;11.维吾尔族Uygur;12.傣族Dai
Fig.2 The principal component analysis of Manmi and 11 other ethnic groups in China
| 族群Ethnic groups | 男Male | 女Female | 族群Ethnic groups | 男Male | 女Female | |
|---|---|---|---|---|---|---|
| 新加坡华人Singaporean Chinese | 16.890 | 17.179 | 俄罗斯人 Russian | 18.804 | 18.715 | |
| 越南人Vietnamese | 17.908 | 14.796 | 伊朗人Iranian | 30.306 | 27.868 | |
| 泰国人Thai | 16.041 | 18.962 | 印度人Indian | 34.135 | 22.926 | |
| 日本人Japanese | 20.571 | 21.238 | 美国黑人Afro-American | 20.149 | 21.676 | |
| 德国人German | 23.004 | 23.940 | 北美白人North American White | 21.453 | 21.293 |
表5 曼咪人与国外10个族群的欧氏距离
Tab. 5 Euclidean distance between the Manmi and 10 foreign ethnic groups
| 族群Ethnic groups | 男Male | 女Female | 族群Ethnic groups | 男Male | 女Female | |
|---|---|---|---|---|---|---|
| 新加坡华人Singaporean Chinese | 16.890 | 17.179 | 俄罗斯人 Russian | 18.804 | 18.715 | |
| 越南人Vietnamese | 17.908 | 14.796 | 伊朗人Iranian | 30.306 | 27.868 | |
| 泰国人Thai | 16.041 | 18.962 | 印度人Indian | 34.135 | 22.926 | |
| 日本人Japanese | 20.571 | 21.238 | 美国黑人Afro-American | 20.149 | 21.676 | |
| 德国人German | 23.004 | 23.940 | 北美白人North American White | 21.453 | 21.293 |
| [1] | 陈国庆. 克蔑语研究[M]. 北京: 民族出版社, 2005 |
| [2] | 李兴军. 文化主体性与创新乡村旅游发展基本理念:基于云南江头曼咪村旅游发展“停滞”现象的调查[J]. 北方民族大学学报, 2020, 3: 56-61 |
| [3] | 陈丽晖, 梁晓慧, 李科. 基于陆稻地方品种农家保护决策行为的支持系统研究:以云南省景洪市江头曼咪寨为例[J]. 云南地理环境研究, 2009, 21(2): 7-15 |
| [4] | 宇克莉, 杜慧敏, 贾亚兰, 等. 布朗族的体质特征[J]. 解剖学杂志, 2017, 40(5): 574-579+602 |
| [5] | 包金萍, 郑连斌, 宇克莉, 等. 基诺族体质特征及35年来体质的变化[J]. 人类学学报, 2021, 40(2): 261-271 |
| [6] | 李咏兰, 郑连斌. 中国蒙古族体质人类学研究[M]. 北京: 科学出版社, 2018 |
| [7] | 郑连斌, 李咏兰, 席焕久, 等. 中国汉族体质人类学研究[M]. 北京: 科学出版社, 2017 |
| [8] | 李咏兰, 宇克莉, 张兴华, 等. 藏族的体质类型和人种学特征[J]. 人类学学报, 2022, 41(4): 698-711 |
| [9] | 宇克莉, 董文静, 李咏兰, 等. 四川凉山彝族的人体测量学[J]. 人类学学报, 2018, 37(3): 478-483 |
| [10] | 宇克莉, 李咏兰, 张兴华, 等. 维吾尔族体质类型:来自喀什的资料[J]. 中国科学:生命科学, 2020, 50(9): 983-995 |
| [11] | 宇克莉, 郑连斌, 李咏兰. 西双版纳傣族的人种学特点:来自人体测量学的数据[J]. 人类学学报, 2017, 36(4): 553-560 |
| [12] | 席焕久, 陈昭. 人体测量方法[M]. 北京: 科学出版社, 2010 |
| [13] | 金力, 席焕久, 郑连斌. 中华民族体质表型调查报告[M]. 北京: 科学出版社, 2024 |
| [14] |
Farkas LG, Katic MJ, Forrest CR, et al. International Anthropometric Study of Facial Morphology in Various Ethnic Groups/Races[J]. Journal of Craniofacial Surgery, 2005, 16(4): 615-646
doi: 10.1097/01.scs.0000171847.58031.9e pmid: 16077306 |
| [15] | 李祎, 赵雯婷, 李丹, 等. EDARV370A对新疆维吾尔族人群面部及耳朵形态的效应[J]. 遗传, 2018, 40(11): 1024-1034 |
| [16] | Zhang M, Wu S, Du S, et al. Genetic variants underlying differences in facial morphology in East Asian and European populations[J]. Nature Genet, 2022, 54: 403-411 |
| [17] | 杜抱朴, 殷钰喆, 谭伊, 等. 中国现代人群两性身高差异分布及其影响因素[J]. 人类学学报, 2023, 42(2): 191-200 |
| [18] | 刘祥君, 张兴华, 席焕久, 等. 中国汉族乡村成年人的身高与体质量的地理性分布[J]. 人类学学报, 2018, 37(3): 484-495 |
| [19] | 赵钟鸣, 沈建华, 胡梅影, 等. 双生子的身高等形态指标的遗传度及身高的影响因素和预测的分析[J]. 中国优生与遗传杂志, 2007, 11: 110-113 |
| [20] | Marouli E, Graff M, Medina-Gomez C, et al. Rare and low-frequency coding variants alter human adult height[J]. Nature, 2017, 542(7640): 186-190 |
| [21] |
Li Q, Chen J, Faux P, et al. Automatic landmarking identifies new loci associated with face morphology and implicates Neanderthal introgression in human nasal shape[J]. Commun Biol, 2023, 6(1):481
doi: 10.1038/s42003-023-04838-7 pmid: 37156940 |
| [22] | Bonfante B, Faux P, Navarro N, et al. A GWAS in Latin Americans identifies novel face shape loci, implicating VPS13B and a Denisovan introgressed region in facial variation[J]. Sci Adv, 2021, 7(6): eabc6160 |
| [23] | Kun E, Javan EM, Smith O, et al. The genetic architecture and evolution of the human skeletal form[J]. Science, 2023, 381(6655): eadf8009 |
| [24] |
Will M, Krapp M, Stock JT, et al. Different environmental variables predict body and brain size evolution in Homo[J]. Nat Commun, 2021, 12: 4116
doi: 10.1038/s41467-021-24290-7 pmid: 34238930 |
| [25] | Serrat MA, King D, Lovejoy CO. Temperature regulates limb length in homeotherms by directly modulating cartilage growth[J]. Proceedings of the National Academy of Sciences, 2008, 105(49): 19348-19353 |
| [26] |
Katzmarzyk PT, Leonard WR. Climatic influences on human body size and proportions: ecological adaptations and secular trends[J]. Am J Phys Anthropol. 1998, 106(4): 483-503
doi: 10.1002/(SICI)1096-8644(199808)106:4<483::AID-AJPA4>3.0.CO;2-K pmid: 9712477 |
| [27] |
杜抱朴, 杜靖. 从头面部测量性状分析中国现代人群体质类型及其成因[J]. 解剖学报, 2019, 50(6): 805-815
doi: 10.16098/j.issn.0529-1356.2019.06.019 |
| [28] | 马立广, 曹彦荣, 徐玖瑾, 等. 中国102个人群的身高与地理环境相关性研究[J]. 人类学学报, 2008, 27(3): 223-231 |
| [29] |
向小雪, 郑连斌, 宋晴阳, 等. 中国14个未识别群体的体部特征[J]. 解剖学报, 2020, 51(5): 802-808
doi: 10.16098/j.issn.0529-1356.2020.05.027 |
| [30] |
Wells JCK. Ecogeographical associations between climate and human body composition: Analyses based on anthropometry and skinfolds[J]. American Journal of Physical Anthropology, 2012, 147(2): 169-186
doi: 10.1002/ajpa.21591 pmid: 22212891 |
| [31] | 字冉, 孔震, 朱原钦. 1959—2018年西双版纳热带雨林地区气候特征分析[J]. 农业灾害研究, 2019, 9(6): 61-66+114 |
| [32] | 李咏兰, 郑连斌. 中国人群的体部指数[J]. 人类学学报, 2022, 41(5): 848-861 |
| [33] | 李咏兰, 张兴华, 孙泽阳, 等. 中国人的头面部形态特征[J]. 人类学学报, 2022, 41(3): 450-462 |
| [1] | 王旭, 万腾淑, 刘雪敏, 李孟思, 翟家淇, 赵春旺. 河南汉族儿童头面部的形态特征[J]. 人类学学报, 2024, 43(05): 813-827. |
| [2] | 郑连斌. 中国活体测量研究的回顾[J]. 人类学学报, 2024, 43(04): 529-535. |
| [3] | 吕婧祎, 肖瑶, 宇克莉, 程智, 聂浩波, 高新颖, 姚玥彤, 包金萍, 郑连斌, 张兴华. 中国黄衣佤族的体质特征[J]. 人类学学报, 2024, 43(04): 549-560. |
| [4] | 宇克莉, 张兴华, 程智, 郑连斌. 中国不同人群的头面部特征及其差异[J]. 人类学学报, 2024, 43(04): 574-585. |
| [5] | 李欣, 姜帅, 黄婷, 钟华, 温有锋. 内蒙古与新疆达斡尔族头面部特征比较[J]. 人类学学报, 2024, 43(04): 586-596. |
| [6] | 李咏兰, 于会新, 张兴华, 宇克莉, 包金萍, 郑连斌. 中国不同地理分区人群的头面部特征[J]. 人类学学报, 2023, 42(06): 793-806. |
| [7] | 张咸鹏, 温有锋, 李文慧, 李欣, 曲泉颖, 徐国昌. 中国阿尔泰语系人群头面部的表型特征[J]. 人类学学报, 2023, 42(03): 342-358. |
| [8] | 李海军, 翁敏洁, 段琬琪, 刘力铭. 人类口唇部形态变异的研究进展[J]. 人类学学报, 2023, 42(01): 137-148. |
| [9] | 李咏兰, 于会新, 郑连斌. 四十年来中国人活体测量研究的历程[J]. 人类学学报, 2023, 42(01): 149-160. |
| [10] | 李文琴, 覃大保, 熊健, 张惠娟, 黄大元. 腊尔山区苗族学生头面部形态特征[J]. 人类学学报, 2022, 41(05): 862-874. |
| [11] | 李咏兰, 张兴华, 孙泽阳, 宇克莉, 包金萍, 郑连斌. 中国人的头面部形态特征[J]. 人类学学报, 2022, 41(03): 450-462. |
| [12] | 于会新, 李咏兰, 郑连斌. 中国壮侗语族人群的肌肉分布及其与年龄的关系[J]. 人类学学报, 2021, 40(06): 1012-1022. |
| [13] | 孙泽阳, 郑连斌, 宇克莉, 张兴华. 孟高棉语族未识别民族的体质特征[J]. 人类学学报, 2021, 40(05): 811-823. |
| [14] | 宇克莉, 向小雪, 李咏兰, 张洪明, 杜慧敏. 中国夏尔巴人的体质特征研究[J]. 人类学学报, 2021, 40(05): 801-810. |
| [15] | 张兴华, 宇克莉, 郑连斌. 中国14个特殊旁系族群的头面部特征比较[J]. 人类学学报, 2021, 40(02): 226-238. |
| 阅读次数 | ||||||
|
全文 |
|
|||||
|
摘要 |
|
|||||
京ICP证05002819号-3